ODLUKA O ADEKVATNOSTI KAPITALA BANKE("Sl. glasnik RS", br. 103/2016, 103/2018, 88/2019, 67/2020, 98/2020, 137/2020, 59/2021, 67/2022, 137/2022, 48/2023, 110/2023, 102/2024, 41/2025, 70/2025, 101/2025 i 104/2025 - ispr.) |
OSNOVNE ODREDBE
1. Ovom odlukom propisuju se:
1) elementi i oblici kapitala, način izračunavanja kapitala i adekvatnosti kapitala banke, kao i uslovi i način dobijanja saglasnosti za izračunavanje kapitala i adekvatnosti kapitala banke;
2) kriterijumi za određivanje pokazatelja kapitala banke koji su veći od propisanih, uslovi i način izračunavanja rizične aktive banke, uključujući i uslove za dobijanje saglasnosti za korišćenje pojedinih pristupa za izračunavanje te aktive, kao i uslovi i način davanja saglasnosti za podobnost kreditnih rejtinga koje dodeljuje agencija za rejting.
Ovom odlukom bliže se uređuju izloženosti koje se uključuju u obračun pokazatelja stepena zaduženosti (leveridž) i način izračunavanja tog pokazatelja.
2. Pojedini pojmovi, u smislu ove odluke, imaju sledeće značenje:
1) izloženost je pozicija bilansne aktive ili vanbilansna stavka;
2) prilagođavanje za kreditni rizik je zbir specifičnih i opštih prilagođavanja za kreditni rizik, odnosno zbir svih iznosa za koje je osnovni akcijski kapital banke umanjen da bi se prikazali gubici koji su isključivo povezani sa kreditnim rizikom i koji su priznati u bilansu uspeha banke u skladu s međunarodnim standardima finansijskog izveštavanja, odnosno međunarodnim računovodstvenim standardima (u daljem tekstu: MSFI/MRS), bez obzira na to da li su oni rezultat obezvređenja, prilagođavanja vrednosti ili rezervisanja za gubitke po vanbilansnim stavkama;
3) opšta prilagođavanja za kreditni rizik uključuju deo iznosa prilagođavanja za kreditni rizik koji je neograničeno, u potpunosti i u svakom trenutku raspoloživ za pokriće gubitaka po osnovu kreditnog rizika koji još uvek nisu nastali i koji se odnosi na gubitke po osnovu kreditnog rizika za grupu izloženosti za koju banka trenutno nema dokaza da je gubitak nastao, odnosno uključuju sledeće gubitke:
- gubitke priznate za pokriće prosečno većih gubitaka na nivou portfolija koji su zabeleženi tokom poslednjih godina iako trenutno ne postoji dokaz o realizaciji događaja koji bi doveli do tog nivoa gubitaka koji je ostvaren u prošlosti,
- gubitke priznate za grupu izloženosti za koju banka nema dokaza o pogoršanju kreditne sposobnosti, a u slučaju kojih je, na osnovu prošlog iskustva, određeni stepen neplaćanja statistički moguć;
4) specifična prilagođavanja za kreditni rizik uključuju deo iznosa prilagođavanja za kreditni rizik koji se odnosi na sledeće gubitke:
- gubitke za instrumente merene po fer vrednosti koji predstavljaju obezvređenje po osnovu kreditnog rizika u skladu sa MSFI/MRS,
- gubitke nastale kao rezultat tekućih ili prošlih događaja koji utiču na pojedinačno značajnu izloženost ili izloženosti koje nisu pojedinačno značajne a procenjuju se na pojedinačnoj ili grupnoj osnovi,
- gubitke za koje istorijsko iskustvo i trenutno dostupni podaci ukazuju na to da je gubitak nastao, ali banka još nije upoznata s tim koja pojedinačna izloženost je pretrpela te gubitke;
5) javna administrativna tela su pravna lica u javnom sektoru koja su pod nadzorom organa javne vlasti i koja nisu osnovana radi sticanja dobiti;
6) međunarodna razvojna banka je pravno lice čiji su većinski vlasnici iz najmanje tri države i čija je osnovna delatnost obezbeđenje sredstava za finansiranje ekonomskog razvoja svih država članica ili samo izabrane grupe država;
7) mala i srednja preduzeća su privredna društva koja se, u skladu sa zakonom kojim se uređuje računovodstvo, svrstavaju u mikro, mala ili srednja pravna lica;
8) agencija za rejting je pravno lice čija je pretežna delatnost dodeljivanje kreditnih rejtinga pravnim licima i/ili finansijskim instrumentima;
9) podobna agencija za rejting je agencija za rejting koja se nalazi se na listi koju objavljuje Narodna banka Srbije;
10) izabrana agencija za rejting je podobna agencija za rejting čije je kreditne rejtinge određena banka izabrala da koristi za utvrđivanje pondera kreditnog rizika za pojedinačne klase izloženosti;
11) mapiranje kreditnih rejtinga označava proces raspoređivanja pojedinačnih kreditnih rejtinga podobne agencije za rejting u nivoe kreditnog kvaliteta;
12) zahtevani kreditni rejting jeste kreditni rejting koji je agencija za rejting dodelila na osnovu sopstvene procene, a na izričit zahtev klijenta;
13) stambena nepokretnost je kuća, stan i delovi stambene zgrade koji su namenjeni stanovanju, garaža, odnosno garažno mesto zajedno sa stanom, kao i zemljište s građevinskom dozvolom za izgradnju kuće, s tim što se vikendice ne smatraju stambenom nepokretnošću;
14) tržišna vrednost nepokretnosti označava procenjeni novčani iznos za koji nepokretnost, na dan utvrđivanja njene vrednosti, može biti prodata, pod uslovom da kupac i prodavac postupaju dobrovoljno, informisano, oprezno i bez prinude, pri čemu ova vrednost mora biti transparentno i jasno dokumentovana i mora je utvrditi ovlašćeni procenjivač;
15) ovlašćeni procenjivač je lice koje je, u skladu sa zakonom kojim se uređuje profesija procenitelja vrednosti nepokretnosti, ovlašćeno da vrši procenu nepokretnosti, kao i organ koji je, u skladu sa zakonom kojim se uređuju poreski postupak i poreska administracija, nadležan za vođenje poreskog postupka, pri čemu ovo lice ne može biti lice povezano s dužnikom na način utvrđen Zakonom o bankama i ne može biti uključeno u proces odobravanja plasmana ili prodaju nepokretnosti;
16) špekulativno finansiranje poslova sa nepokretnostima je kreditiranje sticanja ili unapređenja zemljišta ili izgradnje na zemljištu koje je u vezi s nepokretnošću ili sticanja/unapređenja nepokretnosti, s namerom preprodaje radi sticanja dobiti;
17) finansiranje trgovine je finansiranje razmene robe i usluga putem finansijskih instrumenata i usluga (uključujući i garancije i jemstva) sa fiksnim rokom dospeća, po pravilu kraćim od jedne godine, bez mogućnosti automatskog obnavljanja;
18) pokrivene obveznice su dužničke hartije od vrednosti čije je izdavanje uređeno posebnim zakonom, a koje ispunjavaju sledeće uslove:
- da je njihov izdavalac banka, odnosno pravno lice van Republike Srbije čija je pretežna delatnost primanje depozita i odobravanje kredita za svoj račun i koje je pod nadzorom nadležnog organa radi zaštite prava vlasnika ovih obveznica,
- da su obezbeđene imovinom koja pruža dovoljno pokriće za izmirenje obaveza po ovim obveznicama u celokupnom periodu do njihovog dospeća i da se sredstva od prodaje tih obveznica plasiraju u tu imovinu,
- da u slučaju stečaja ili likvidacije izdavaoca obveznica vlasnici obveznica, u skladu s tim zakonom, imaju razlučno pravo u odnosu na imovinu koja služi kao obezbeđenje;
19) pristup zasnovan na internom rejtingu (internal ratings-based approach) (u daljem tekstu: IRB pristup) jeste pristup u kome banka radi izračunavanja kapitalnih zahteva za kreditni rizik primenjuje interne rejting sisteme;
20) osnovni IRB pristup (foundation IRB approach) (u daljem tekstu: FIRB pristup) jeste vrsta IRB pristupa u kome banka primenjuje sopstvene procene verovatnoće neizmirenja obaveza (PD parametar) i propisane procene gubitka usled nastanka neizmirenja obaveza (LGD parametar), faktora konverzije i efektivne ročnosti (M parametar);
21) napredni IRB pristup (advanced IRB approach) (u daljem tekstu: AIRB pristup) jeste vrsta IRB pristupa u kome banka primenjuje sopstvene procene verovatnoće neizmirenja obaveza (PD parametar), sopstvene procene gubitka usled nastanka neizmirenja obaveza (LGD parametar) i faktora konverzije i, ako je primenljivo, sopstvene procene efektivne ročnosti (M parametar);
22) verovatnoća nastupanja statusa neizmirenja obaveza (probability of default) (u daljem tekstu: PD parametar) jeste verovatnoća da će druga ugovorna strana ući u status neizmirenja obaveza u periodu od godinu dana od dana vršenja procene;
23) gubitak usled nastupanja statusa neizmirenja obaveza (loss given default) (u daljem tekstu: LGD parametar) označava odnos iznosa gubitka ostvarenog usled nastupanja statusa neizmirenja obaveza druge ugovorne strane i iznosa izloženosti prema toj strani u trenutku u kom je ovaj status nastupio, pri čemu se pod gubitkom podrazumeva ekonomski gubitak utvrđen uz uzimanje u obzir vremenske vrednosti novca (odnosno uključujući i znatne efekte svođenja na sadašnju vrednost - diskontovanja), kao i znatne direktne i indirektne troškove u vezi s naplatom potraživanja;
24) očekivani gubitak za kreditni rizik (expected loss) (u daljem tekstu: EL parametar) označava odnos između iznosa izloženosti za koji se očekuje da neće biti naplaćen zbog mogućeg nastupanja statusa neizmirenja obaveza druge ugovorne strane ili zbog smanjenja vrednosti kupljenog potraživanja u periodu od godinu dana i iznosa izloženosti u trenutku nastupanja ovog statusa;
25) faktor konverzije označava odnos neiskorišćenog iznosa vanbilansne obaveze za koji se očekuje da će biti iskorišćen u trenutku nastupanja statusa neizmirenja obaveza i trenutno neiskorišćenog iznosa vanbilansne obaveze, pri čemu je iznos vanbilansne obaveze jednak odobrenom limitu koji je poznat dužniku, osim kad je iznos limita koji nije poznat dužniku veći;
26) efektivna ročnost (maturity) (u daljem tekstu: M parametar) označava najduži mogući preostali period u kome se očekuje da dužnik izmiri svoju obavezu;
27) tehnika ublažavanja kreditnog rizika označava korišćenje instrumenata kreditne zaštite radi smanjenja kreditnog rizika kome je banka izložena po osnovu jedne ili više izloženosti;
28) instrumenti materijalne kreditne zaštite su instrumenti čijim korišćenjem banka smanjuje kreditni rizik kome je izložena, i to po osnovu prava da, u slučaju neizmirenja obaveza dužnika banke ili nastanka drugog ugovorenog kreditnog događaja koji se odnosi na tog dužnika:
- unovči ili ostvari prenos, prisvajanje ili zadržavanje određene imovine, ili
- smanji iznos izloženosti za iznos potraživanja prema banci ili izloženost zameni iznosom razlike između iznosa ove izloženosti i iznosa potraživanja prema banci;
29) instrumenti nematerijalne kreditne zaštite su instrumenti čijim korišćenjem banka smanjuje kreditni rizik kome je izložena, a to smanjenje nastaje po osnovu obaveze trećeg lica da izvrši plaćanje određenog iznosa banci u slučaju neizmirenja obaveza dužnika banke ili nastanka drugog ugovorenog kreditnog događaja koji se odnosi na tog dužnika;
30) odnosna izloženost je pozicija bilansne aktive ili vanbilansna stavka za koju je pribavljena kreditna zaštita;
31) kreditni događaj je ugovorom određen događaj ili okolnosti čijim nastupanjem banka stiče pravo korišćenja instrumenata kreditne zaštite;
32) transakcija s pravom dodatnog obezbeđenja (capital market-driven transaction) jeste transakcija kod koje banka ima pravo da, tokom trajanja ugovora, od dužnika, založnog dužnika ili drugog lica koje je dalo sredstvo obezbeđenja zahteva dodatna sredstva obezbeđenja najmanje na dnevnom nivou ako se vrednost postojećeg sredstva obezbeđenja (margina) tokom trajanja ugovora smanji;
33) transakcija bez prava dodatnog obezbeđenja (secured lending transaction) jeste transakcija kod koje banka nema pravo iz odredbe pod 32) ove tačke;
34) kreditni derivat je izvedeni finansijski instrument, tj. ugovor kojim se pružalac kreditne zaštite obavezuje da, u slučaju nastupanja statusa neizmirenja obaveza dužnika ili drugog ugovorenog kreditnog događaja, korisniku te zaštite isplati jedan od sledećih iznosa:
- iznos smanjenja vrednosti referentne obaveze u odnosu na njenu inicijalnu vrednost (cash settlement variable),
- iznos celokupne vrednosti referentne obaveze u zamenu za prenos te obaveze ili drugog ekvivalentnog finansijskog instrumenta (deliverable obligation),
- ugovoreni fiksni iznos (binary payout);
35) referentna obaveza je obaveza koja se koristi za utvrđivanje vrednosti novčane obaveze pružaoca zaštite po kreditnom derivatu ili obaveza koja se prenosi na pružaoca zaštite po tom derivatu;
36) CDS derivat (Credit Default Swap) jeste vrsta kreditnog derivata kojim se pružalac kreditne zaštite obavezuje da će korisniku te zaštite izmiriti gubitak u slučaju neizmirenja obaveza dužnika ili nekog drugog ugovorenog kreditnog događaja, za šta mu korisnik kreditne zaštite plaća odgovarajuću naknadu;
37) TRS derivat (Total Return Swap) jeste vrsta kreditnog derivata kojim korisnik kreditne zaštite sve novčane tokove po odnosnoj izloženosti prenosi pružaocu te zaštite, za šta mu pružalac kreditne zaštite plaća odgovarajuću naknadu obračunatu na osnovu referentne kamatne stope uvećane za određenu maržu, pri čemu:
- ako je vrednost ove izloženosti na dan dospeća TRS derivata veća od njene vrednosti u trenutku zaključivanja ugovora - korisnik kreditne zaštite isplaćuje pružaocu te zaštite razliku u vrednosti te izloženosti,
- ako je vrednost ove izloženosti na dan dospeća TRS derivata manja od njene vrednosti u trenutku zaključivanja ugovora - pružalac kreditne zaštite isplaćuje korisniku te zaštite razliku u vrednosti te izloženosti,
- ako nastupi status neizmirenja obaveza dužnika ili nekog drugog ugovorenog kreditnog događaja - ugovor se raskida, a gubitak snosi pružalac kreditne zaštite;
38) faktor volatilnosti (haircut) označava korektivni faktor koji odražava volatilnost cena ili deviznog kursa i koji se koristi za prilagođavanje vrednosti izloženosti ili vrednosti sredstva obezbeđenja;
39) CLN derivat (Credit Linked Note) jeste vrsta kreditnog derivata sa ugrađenim CDS derivatom čije dospeće je po pravilu jednako dospeću odnosne imovine a koji korisniku kreditne zaštite omogućava prenos rizika povezanog sa odnosnom imovinom na pružaoca kreditne zaštite, pri čemu taj pružalac prima uvećanu redovnu kuponsku isplatu, a po dospeću instrumenta i njegovu vrednost, osim u slučaju da pre tog dospeća instrumenta nastupi ugovoreni kreditni događaj na odnosnoj imovini;
40) grupni kreditni derivat (basket credit derivative) jeste vrsta kreditnog derivata kojim se na pružaoca kreditne zaštite prenosi kreditni rizik za više od jedne izloženosti, odnosno grupe izloženosti;
41) kreditni derivat sa prvim neizmirenjem obaveze (first-to-default credit derivative) jeste vrsta grupnog kreditnog derivata kod kojeg se pružalac kreditne zaštite obavezuje da će korisniku te zaštite izmiriti gubitak u slučaju nastupanja statusa neizmirenja obaveza bilo koje od izloženosti obuhvaćenih ugovorom koji je osnov ovog derivata, usled kojeg taj ugovor prestaje da važi;
42) kreditni derivat sa n-tim neizmirenjem obaveze (nth-to-default credit derivative) jeste vrsta grupnog kreditnog derivata kod kojeg se pružalac kreditne zaštite obavezuje da će korisniku te zaštite izmiriti gubitak u slučaju nastupanja statusa neizmirenja obaveze n-te izloženosti iz grupe koja je obuhvaćena tim ugovorom;
43) sekjuritizacija predstavlja jednu ili više transakcija kojima se prenosi kreditni rizik po osnovu jedne izloženosti ili skupa izloženosti, pri čemu je taj rizik podeljen u tranše, a transakcija, odnosno transakcije imaju sledeće karakteristike:
- plaćanja u vezi s transakcijom ili transakcijama zavise od naplata po osnovu izloženosti ili skupa izloženosti,
- podređenost tranše određuje raspodelu gubitaka u toku trajanja transakcije ili skupa transakcija;
44) resekjuritizacija je sekjuritizacija kod koje je najmanje jedna od izloženosti sekjuritizovana pozicija;
45) tradicionalna sekjuritizacija je sekjuritizacija u kojoj banka inicijator prenosi sekjuritizovane izloženosti na društvo za sekjuritizaciju, na osnovu čega to društvo izdaje hartije od vrednosti obezbeđene imovinom koje se prodaju investitorima, a po kojima banka inicijator nema obavezu plaćanja;
46) sintetička sekjuritizacija je sekjuritizacija u kojoj banka inicijator ne prenosi sekjuritizovane izloženosti, već prenosi kreditni rizik po osnovu tih izloženosti, njihovim grupisanjem u tranše, koristeći kreditne derivate ili garancije;
47) inicijator je:
- pravno lice koje je samostalno ili preko povezanih lica, direktno ili indirektno, strana u ugovoru na osnovu kojeg su nastale obaveze ili potencijalne obaveze dužnika ili potencijalnog dužnika a koje su dovele do izloženosti koja je sekjuritizovana, ili
- pravno lice koje kupuje izloženosti od trećih lica za svoj račun i nakon toga vrši njihovu sekjuritizaciju;
48) društvo za sekjuritizaciju (securitisation special-purpose entity) je pravno lice koje nije banka i koje je osnovano za obavljanje poslova jedne ili više sekjuritizacija, koje obavlja isključivo poslove koji se odnose na sekjuritizaciju, čija organizaciona struktura omogućava razdvajanje obaveza tog društva od obaveza banke inicijatora i čiji vlasnici ili druga lica sa odgovarajućim pravima u tom društvu mogu da otuđe ili opterete ta prava bez ograničenja;
49) sponzor je banka koja uspostavlja program komercijalnih zapisa obezbeđenih imovinom ili drugi program sekjuritizacije putem kojeg kupuje izloženosti od trećih lica i koja upravlja tim programima;
50) investitor je vlasnik hartija od vrednosti, odnosno lice koje je preuzelo kreditni rizik po osnovu sekjuritizovanih izloženosti, osim banke inicijatora, sponzora i servisera;
51) serviser je pravno lice koje na dnevnoj osnovi upravlja skupom kupljenih potraživanja ili odnosnim izloženostima za račun investitora i drugih poverilaca u sekjuritizaciji;
52) sekjuritizovane izloženosti su izloženosti koje su predmet sekjuritizacije;
53) sekjuritizovana pozicija je izloženost, odnosno skup izloženosti koji je nastao na osnovu sekjuritizacije (npr. hartije od vrednosti koje je izdalo društvo za sekjuritizaciju, okvirne linije za likvidnost, transakcije po osnovu kamatnih i valutnih finansijskih derivata ili kreditnih derivata);
54) resekjuritizovana pozicija je izloženost, odnosno skup izloženosti koji je nastao na osnovu resekjuritizacije;
55) pozicija prvog gubitka je sekjuritizovana pozicija koja je poslednja u redosledu naplate potraživanja u određenoj sekjuritizaciji, odnosno sekjuritizovana pozicija koja je podređena svim ostalim sekjuritizovanim pozicijama u toj sekjuritizaciji i koja prva snosi gubitke koji nastaju po osnovu sekjuritizovanih izloženosti, čime pruža zaštitu poziciji drugog gubitka i, kada je primenljivo, drugim sekjuritizovanim pozicijama s pravom prvenstva naplate;
56) središnja sekjuritizovana pozicija (mezzanine securitisation position) je sekjuritizovana pozicija:
- na koju se primenjuje ponder rizika niži od 1.250%,
- koja nije prva u redosledu naplate potraživanja u određenoj sekjuritizaciji,
- koja je u redosledu naplate potraživanja podređena svim sekjuritizovanim pozicijama u toj sekjuritizaciji kojima, u skladu sa standardizovanim pristupom iz glave IV odeljak 4. pododeljak 4. deo pod a) ove odluke, odgovara nivo kreditnog kvaliteta 1, odnosno u skladu sa IRB pristupom iz glave IV odeljak 4. pododeljak 4. deo pod b) ove odluke, nivo kreditnog kvaliteta 1 ili 2;
57) okvirna linija za likvidnost je sekjuritizovana pozicija po osnovu ugovorne obaveze o obezbeđenju sredstava za blagovremenu isplatu investitora;
58) pozicija sa rejtingom je sekjuritizovana pozicija kojoj je dodeljen rejting podobne agencije za rejting;
59) pozicija bez rejtinga je sekjuritizovana pozicija kojoj nije dodeljen rejting podobne agencije za rejting;
60) tranša je ugovorom ustanovljen segment kreditnog rizika koji je povezan sa jednom ili više izloženosti, pri čemu pozicija u tom segmentu podrazumeva kreditni rizik koji se razlikuje od kreditnog rizika pozicije istog iznosa u bilo kom drugom takvom segmentu, ne uzimajući u obzir efekte kreditne zaštite koju treća strana direktno pruža vlasnicima pozicija u tom ili drugim segmentima;
61) trgovanje zasnovano na korelacijama (correlation trading) je strategija trgovanja zasnovana na praćenju prosečne povezanosti (korelacije) instrumenata;
62) poboljšanje kreditnog kvaliteta je ugovorna odredba kojom se poboljšava kreditni kvalitet sekjuritizovane pozicije u odnosu na kvalitet koji bi ta pozicija imala da nije obezbeđeno ovo poboljšanje, uključujući poboljšanja koja proizlaze iz postojanja više podređenih tranši u sekjuritizaciji i druge vrste kreditne zaštite;
63) opcija otkupa (clean-up call option) je ugovorna opcija koja omogućava banci inicijatoru da otkupi ili poništi sekjuritizovane pozicije pre nego što su izmirene sve obaveze po osnovu sekjuritizovanih izloženosti a iznos preostalih izloženosti padne ispod ugovorenog nivoa;
64) KIRB predstavlja zbir 8% iznosa rizikom ponderisanih sekjuritizovanih izloženosti, pod pretpostavkom da one nisu sekjuritizovane, i iznosa očekivanih gubitaka po osnovu tih izloženosti izračunatih korišćenjem IRB pristupa;
65) program komercijalnih zapisa obezbeđenih imovinom (asset-backed commercial paper) (u daljem tekstu: ABCP program) jeste program sekjuritizacije u kojem se hartije od vrednosti najčešće emituju u formi komercijalnih zapisa sa inicijalnim rokom dospeća do godinu dana;
66) revolving izloženost je izloženost kod koje je ugovoren limit a čiji se iskorišćeni iznos može menjati na osnovu odluke dužnika da odobrena sredstva koristi ili otplaćuje;
67) revolving sekjuritizacija je sekjuritizacija čija se struktura menja usled dodavanja ili isključivanja izloženosti iz skupa sekjuritizovanih izloženosti, bez obzira na to da li dolazi do promene iznosa izloženosti;
68) odredba o prevremenoj otplati (early amortisation provision) je ugovorna klauzula u sekjuritizaciji revolving izloženosti ili revolving sekjuritizaciji, koja predviđa da se, u slučaju nastupanja definisanog događaja, pozicije investitora obavezno otplaćuju pre roka dospeća emitovane hartije od vrednosti;
69) rizik izmirenja/isporuke je mogućnost nastanka negativnih efekata na finansijski rezultat i kapital banke po osnovu neizmirenih transakcija ili usled neizvršavanja obaveze druge ugovorne strane po transakcijama slobodne isporuke na ugovoreni datum izmirenja/isporuke (due delivery date);
70) neizmirena transakcija jeste transakcija u vezi s hartijama od vrednosti, stranim valutama ili robom (izuzev transakcija po osnovu repo i reverse repo ugovora i ugovora o davanju i uzimanju u zajam hartija od vrednosti ili robe) koja se izmiruje prema principu "istovremena isporuka i plaćanje" (delivery versus payment), a koja nije realizovana na ugovoreni datum zbog kašnjenja druge ugovorne strane u izmirivanju obaveze;
71) slobodna isporuka je transakcija u vezi s hartijama od vrednosti, stranim valutama ili robom (izuzev transakcija po osnovu repo i reverse repo ugovora i ugovora o davanju i uzimanju u zajam hartija od vrednosti ili robe) kod koje postoji neusklađenost trenutka plaćanja i isporuke, odnosno koja se ne izmiruje prema principu "istovremena isporuka i plaćanje", tako da jedna ugovorna strana može izvršiti plaćanje/isporuku pre nego što druga ugovorna strana izvrši svoju obavezu;
72) rizik druge ugovorne strane (counterparty risk) jeste rizik od neizmirenja obaveze druge ugovorne strane u transakciji pre konačnog poravnanja novčanih tokova transakcije, odnosno izmirenja novčanih obaveza po toj transakciji;
73) repo ugovor je ugovor kojim banka prodaje hartije od vrednosti ili robu uz obavezu njihovog ponovnog otkupa, odnosno otkupa hartija od vrednosti ili robe sa istim karakteristikama po unapred utvrđenoj ceni i na unapred, odnosno naknadno utvrđen budući datum koji određuje banka, a reverse repo ugovor je ugovor kojim banka kupuje hartije od vrednosti ili robu uz obavezu njihove ponovne prodaje, odnosno prodaje hartija od vrednosti ili robe sa istim karakteristikama po unapred utvrđenoj ceni i na unapred, odnosno naknadno utvrđen budući datum koji odredi prodavac - pri čemu i repo i reverse repo ugovor treba da ispune sledeće uslove:
- da banka, odnosno druga ugovorna strana prenese vlasništvo na hartijama od vrednosti ili robi koji su predmet tog ugovora,
- da banka hartije od vrednosti ili robu koji su predmet tog ugovora može preneti samo jednoj ugovornoj strani;
74) repo transakcija je transakcija uređena repo ili reverse repo ugovorom;
75) jednostavni repo ugovor je repo ili reverse repo ugovor sa jednim odnosnim instrumentom ili grupom sličnih instrumenata, za razliku od ugovora koji se odnose na više kompleksnih instrumenata (npr. na skup imovine);
76) ugovor o davanju u zajam hartija od vrednosti ili robe je ugovor kojim banka pozajmljuje hartije od vrednosti ili robu drugoj ugovornoj strani uz odgovarajuće sredstvo obezbeđenja i uz obavezu te ugovorne strane da ove hartije ili robu vrati na tačno utvrđen datum ili na zahtev banke;
77) ugovor o uzimanju u zajam hartija od vrednosti ili robe je ugovor kojim druga ugovorna strana pozajmljuje hartije od vrednosti ili robu banci uz odgovarajuće sredstvo obezbeđenja i uz obavezu banke da ove hartije ili robu vrati na tačno utvrđeni datum ili na zahtev te ugovorne strane;
78) transakcija finansiranja hartijama od vrednosti je transakcija kod koje se hartije od vrednosti koriste za pozajmljivanje novčanih sredstava i obrnuto (repo transakcije, reverse repo transakcije, transakcije davanja ili uzimanja u zajam hartija od vrednosti drugoj ugovornoj strani i dr.);
79) OTC finansijski derivat je finansijski derivat kojim se trguje na vanberzanskom tržištu;
80) roba označava materijalne proizvode kojima se trguje na organizovanom tržištu (npr. poljoprivredni proizvodi, minerali - uključujući i naftu, plemeniti metali - isključujući zlato), kao i finansijske derivate koji se odnose na te proizvode;
81) finansiranje robe označava poziciju u knjizi trgovanja koja proizlazi iz poslova terminske prodaje robe, pri čemu su troškovi finansiranja robe unapred poznati i ne menjaju se do datuma terminske prodaje;
82) transakcija s dugim rokom izmirenja (long settlement transaction) jeste transakcija u kojoj se jedna ugovorna strana obavezuje da će hartije od vrednosti, robu ili određeni iznos u stranoj valuti preneti, odnosno isporučiti za novčani iznos, druge finansijske instrumente ili robu, pri čemu je ugovorom određeni period između datuma trgovanja i datuma izmirenja, odnosno isporuke duži od perioda koji predstavlja tržišni standard za datu transakciju ili duži od pet radnih dana od datuma kad je transakcija ugovorena - zavisno od toga koji je period kraći;
83) transakcija kreditiranja trgovine hartijama od vrednosti (margin lending transaction) jeste transakcija u kojoj banka odobrava kredit za kupovinu, prodaju, prenos ili trgovanje hartijama od vrednosti;
84) standardizovani sporazum o netiranju (master netting agreement) jeste ugovor kojim se uređuju prebijanje međusobnih potraživanja i obaveza ugovornih strana nastalih po osnovu više pojedinačnih pravnih poslova (transakcija) i uslovi pod kojima se to prebijanje vrši kad su predmeti ovih pravnih poslova različiti, kao i to da neizvršenje plaćanja jedne ugovorne strane po bilo kojoj transakciji koja je predmet ovog ugovora daje drugoj ugovornoj strani pravo da raskine taj ugovor;
85) skup za netiranje (netting set) jeste grupa transakcija s jednom ugovornom stranom koje su predmet dvostranih sporazuma o netiranju, koji ispunjava uslove propisane glavom IV odeljak 3. i odeljak 5. pododeljak 6. ove odluke, pri čemu se svaka transakcija koja nije predmet ovih sporazuma smatra posebnim skupom za netiranje, a kod korišćenja metoda internog modela svi skupovi za netiranje s jednom ugovornom stranom mogu se tretirati kao jedan skup za netiranje ako su pri proceni EE vrednosti predviđene negativne neto tržišne vrednosti jednake nuli;
86) rizična pozicija je vrednost dodeljena pojedinačnoj transakciji u skladu sa standardizovanim metodom iz glave IV odeljka 5. pododeljka 4. ove odluke;
87) skup za zaštitu (hedging set) jeste grupa rizičnih pozicija po osnovu transakcija iz jednog skupa za netiranje za koje se, pri određivanju vrednosti izloženosti primenom standardizovanog metoda iz glave IV odeljak 5. pododeljak 4. ove odluke, koristi samo njihov neto iznos;
88) sporazum o margini (margin agreement) jeste poseban ugovor ili ugovorna odredba u skladu s kojom jedna ugovorna strana ima pravo da od druge ugovorne strane zahteva dodatno sredstvo obezbeđenja ako njena izloženost prema toj ugovornoj strani prelazi utvrđeni limit;
89) prag margine (margin threshold) jeste najveći mogući iznos izloženosti prema drugoj ugovornoj strani do kog prva ugovorna strana nema pravo da zahteva dodatno sredstvo obezbeđenja;
90) period rizika margine (margin period of risk) jeste period od poslednjeg dostavljanja sredstva obezbeđenja za transakcije iz skupa za netiranje po osnovu kojih druga ugovorna strana nije izmirila obaveze do trenutka kad je pozicija prema toj ugovornoj strani zatvorena i na taj način ponovo uspostavljena zaštita od tržišnog rizika koji proizlazi iz te transakcije;
91) efektivno dospeće skupa za netiranje, s rokom dospeća dužim od godinu dana, a radi primene metoda internog modela, predstavlja odnos zbira očekivanih izloženosti u toku trajanja transakcija iz skupa za netiranje diskontovanih nerizičnom stopom prinosa i zbira očekivanih izloženosti u toku jedne godine iz skupa za netiranje diskontovanih nerizičnom stopom prinosa, pri čemu ovo dospeće može biti korigovano tako da odražava rizik obnavljanja (rollover risk) na taj način da se očekivana izloženost zameni efektivnom očekivanom izloženošću za period procene koji je kraći od godinu dana;
92) ugovor o netiranju različitih kategorija proizvoda (contractual cross-product netting agreement) jeste ugovor između banke i druge ugovorne strane po osnovu kojeg nastaje jedna obaveza, odnosno potraživanje (usled netiranja obuhvaćenih transakcija), a koji obuhvata sve odnosne standardizovane sporazume o netiranju i transakcije koje se odnose na različite kategorije proizvoda uključenih u taj ugovor, pri čemu se pod različitim kategorijama proizvoda podrazumevaju repo transakcije, transakcije davanja ili uzimanja u zajam hartija od vrednosti ili robe, transakcije kreditiranja trgovine hartijama od vrednosti i finansijski derivati iz Priloga 1 ove odluke;
93) tekuća tržišna vrednost, a radi primene standardizovanog metoda iz glave IV odeljak 5. ove odluke, jeste neto tržišna vrednost grupe transakcija iz jednog skupa za netiranje za čije se izračunavanje koriste i pozitivne i negativne tržišne vrednosti transakcija iz tog skupa;
94) raspodela tržišnih vrednosti transakcija označava procenu raspodele verovatnoće neto tržišnih vrednosti transakcija iz skupa za netiranje na određeni datum u budućnosti, zasnovanu na tržišnim vrednostima tih transakcija koje su se realizovale do datuma procene, pri čemu period između ova dva datuma predstavlja period procene;
95) raspodela izloženosti označava procenu raspodele verovatnoće tržišnih vrednosti transakcija ili izloženosti, izvedenu tako da predviđene negativne neto tržišne vrednosti budu jednake nuli;
96) raspodela neosetljiva na rizike označava raspodelu tržišnih vrednosti transakcija ili izloženosti u budućem periodu koja se izračunava na osnovu pretpostavljenih, tj. izvedenih tržišnih vrednosti (npr. izvedena volatilnost nekog finansijskog instrumenta je volatilnost izračunata na osnovu tržišne cene tog instrumenta, korišćenjem određenog modela za vrednovanje);
97) stvarna raspodela označava raspodelu tržišnih vrednosti transakcija ili izloženosti u budućem periodu, izračunatu primenom istorijskih ili realizovanih vrednosti (npr. istorijska volatilnost nekog finansijskog instrumenta je volatilnost izračunata na osnovu istorijskih cena ili promena stopa);
98) tekuća izloženost označava pozitivnu vrednost transakcije ili grupe transakcija iz skupa za netiranje (ako je ova vrednost negativna, onda je tekuća izloženost jednaka nuli), koja bi predstavljala gubitak u slučaju neizmirenja obaveza druge ugovorne strane pod pretpostavkom da se, u slučaju stečaja te ugovorne strane, ova vrednost ne može nadoknaditi;
99) vrhunac izloženosti (peak exposure) jeste najviši procenat raspodele izloženosti na bilo koji određeni datum u budućnosti pre datuma dospeća transakcije s najdužim ugovorenim rokom dospeća u skupu za netiranje;
100) očekivana izloženost (u daljem tekstu: EE vrednost) jeste prosek raspodele izloženosti na bilo koji određeni datum u budućnosti pre datuma dospeća transakcije s najdužim ugovorenim rokom dospeća u skupu za netiranje;
101) efektivna očekivana izloženost (u daljem tekstu: EEE vrednost) na određeni datum je najveća EE vrednost na taj datum ili najveća EE vrednost na bilo koji dan pre tog datuma, zavisno od toga koji je iznos veći;
102) očekivana pozitivna izloženost (expected positive exposure) (u daljem tekstu: EPE vrednost) jeste ponderisani prosek EE vrednosti u određenom periodu (ponderi su učešća pojedinačnih EE vrednosti u zbiru svih pojedinačnih EE vrednosti u tom periodu), a pri izračunavanju minimalnog kapitalnog zahteva koristi se prosek tokom prve godine ili - ako sve transakcije u skupu za netiranje imaju rok dospeća kraći od godinu dana - prosek u periodu do dospeća transakcije koja ima najduži rok dospeća u skupu za netiranje;
103) efektivna očekivana pozitivna izloženost (u daljem tekstu: efektivna EPE vrednost) jeste ponderisani prosek EEE vrednosti u određenom periodu (ponderi su učešća pojedinačnih EEE vrednosti u zbiru svih pojedinačnih EEE vrednosti u tom periodu, a pri izračunavanju minimalnog kapitalnog zahteva koristi se prosek tokom prve godine ili - ako sve transakcije u skupu za netiranje imaju rok dospeća kraći od godinu dana - prosek u periodu do dospeća transakcije koja ima najduži rok dospeća u skupu za netiranje;
104) prilagođavanje kreditne izloženosti (credit valuation adjustment) (u daljem tekstu: CVA) jeste iznos prilagođavanja izloženosti po osnovu grupe transakcija s drugom ugovornom stranom do iznosa njihove srednje tržišne vrednosti (mid-market valuation), pri čemu to prilagođavanje odražava tržišnu vrednost kreditnog rizika ove ugovorne strane za banku, ali ne i tržišnu vrednost kreditnog rizika banke za tu ugovornu stranu;
105) novčana strana transakcije u slučaju transakcija sa OTC derivatima koje imaju linearni profil rizika jeste deo transakcije koji se izmiruje u novcu, a u slučaju transakcija s dve ovakve strane, novčana strana transakcije predstavlja ugovoreni bruto iznos, uključujući i hipotetički iznos transakcije;
106) rizik obnavljanja (rollover risk) je rizik koji nastaje kad je EPE vrednost potcenjena, pod pretpostavkom da će se buduće transakcije s drugom ugovornom stranom kontinuirano obnavljati, pri čemu dodatna izloženost koja proizlazi iz takvih budućih transakcija nije uključena u obračun EPE vrednosti;
107) opšti korelacijski rizik je rizik koji nastaje kad je PD parametar druge ugovorne strane u pozitivnoj korelaciji sa opštim faktorima tržišnog rizika;
108) specifični korelacijski rizik je rizik koji nastaje kad je izloženost prema drugoj ugovornoj strani u pozitivnoj korelaciji s PD parametrom te ugovorne strane, koja proizlazi iz prirode transakcija s tom ugovornom stranom, a banka je izložena ovom riziku ako se očekuje da buduća izloženost prema drugoj ugovornoj strani bude visoka kad je PD parametar te ugovorne strane takođe visok;
109) centralni tržišni učesnik (u daljem tekstu: CCP lice) jeste pravno lice koje, usled položaja koje zauzima prema ugovornim stranama u ugovorima kojima se trguje na jednom ili više finansijskih tržišta, postaje kupac svakom prodavcu i prodavac svakom kupcu;
110) kvalifikovani centralni tržišni učesnik (u daljem tekstu: QCCP lice) je CCP lice koje je dobilo dozvolu za rad ili je priznato u skladu sa odgovarajućim propisima Evropske unije;
111) fond za neizmirenje obaveza je fond koji je ustanovilo CCP lice u skladu sa odgovarajućim propisima Evropske unije;
112) član kliringa je pravno lice koje zaključuje kupoprodajne ugovore sa CCP licem i koje je odgovorno za izvršavanje finansijskih obaveza koje proističu iz tih ugovora;
113) zajedničko upravljanje je upravljanje između banke i lica na osnovu zaključenog ugovora, odredaba statuta ovih lica ili po osnovu učešća većine članova organa upravljanja banke u organima upravljanja tog lica, a koji nisu međusobno povezani po osnovu znatnog ili kontrolnog učešća;
114) rizik prilagođavanja kreditne izloženosti (CVA rizik) je rizik nastanka gubitaka koji proizlaze iz promene iznosa CVA usled promene kreditne marže druge ugovorne strane zbog promene njene kreditne sposobnosti;
115) cenovni rizik po osnovu dužničkih hartija od vrednosti je rizik od promene cena ovih hartija i obuhvata specifični i opšti cenovni rizik;
116) specifični cenovni rizik po osnovu dužničke hartije od vrednosti je rizik od promene cene ove hartije usled činilaca koji se odnose na njenog izdavaoca ili izdavaoca dužničke hartije od vrednosti koja je predmet ugovora (za finansijske derivate);
117) opšti cenovni rizik po osnovu dužničke hartije od vrednosti je rizik od promene cene ove hartije usled promene opšteg nivoa kamatnih stopa;
118) cenovni rizik po osnovu vlasničkih hartija od vrednosti predstavlja rizik od promene cena ovih hartija i obuhvata specifični i opšti cenovni rizik;
119) specifični cenovni rizik po osnovu vlasničkih hartija od vrednosti je rizik od promene cene vlasničke hartije od vrednosti usled činilaca koji se odnose na njenog izdavaoca ili izdavaoca vlasničke hartije od vrednosti koja je predmet ugovora (za finansijske derivate);
120) opšti cenovni rizik po osnovu vlasničkih hartija od vrednosti je rizik od promene cene vlasničke hartije od vrednosti usled promene opšteg nivoa cena tih hartija;
121) devizni rizik je rizik mogućnosti nastanka negativnih efekata na finansijski rezultat i kapital banke usled promene deviznog kursa, a banka mu je izložena po osnovu pozicija koje se vode u bankarskoj knjizi i u knjizi trgovanja;
122) veliko lice u finansijskom sektoru je pravno lice koje je uređeno odgovarajućim propisima kojima se uređuje poslovanje tih lica i nadzor nad tim poslovanjem, a čiji je iznos aktive, obračunat na individualnom ili konsolidovanom nivou, jednak iznosu 8.400.000.000.000 dinara ili je veći od tog iznosa, pri čemu se za utvrđivanje iznosa aktive koriste poslednji dostupni revidirani finansijski izveštaji ili konsolidovani finansijski izveštaji.
POKAZATELJI KAPITALA
3. Banka je dužna da obračunava sledeće pokazatelje:
1) pokazatelj adekvatnosti osnovnog akcijskog kapitala banke, koji predstavlja procentualno izražen odnos osnovnog akcijskog kapitala i rizične aktive banke;
2) pokazatelj adekvatnosti osnovnog kapitala banke, koji predstavlja procentualno izražen odnos osnovnog kapitala i rizične aktive banke;
3) pokazatelj adekvatnosti kapitala banke, koji predstavlja procentualno izražen odnos kapitala i rizične aktive banke.
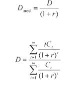
Rizična aktiva iz stava 1. ove tačke predstavlja zbir sledećih iznosa:
- ukupnog iznosa rizikom ponderisanih izloženosti za kreditni rizik, rizik druge ugovorne strane, rizik smanjenja vrednosti kupljenih potraživanja, za sve poslovne aktivnosti banke osim za aktivnosti iz knjige trgovanja, obračunatog na način propisan glavom IV ove odluke i rizik izmirenja/isporuke po osnovu slobodnih isporuka obračunatog na način propisan tačkom 299. ove odluke za sve poslovne aktivnosti banke;
- kapitalnih zahteva za cenovni rizik za aktivnosti iz knjige trgovanja, obračunatih na način propisan glavom VII ove odluke i za velike izloženosti, obračunatih na način propisan odlukom kojom se uređuje upravljanje rizicima banke, pomnoženih recipročnom vrednošću pokazatelja adekvatnosti kapitala iz stava 3. odredba pod 3) ove tačke, odnosno tačke 5. ove odluke;
- kapitalnih zahteva za devizni rizik, obračunatih na način propisan glavom VII ove odluke, za rizik izmirenja/isporuke, obračunatih na način propisan glavom V te odluke, osim rizika izmirenja/isporuke po osnovu slobodnih isporuka, i kapitalnih zahteva za robni rizik, obračunatih na način propisan glavom VII te odluke, za sve poslovne aktivnosti banke, pomnoženih recipročnom vrednošću pokazatelja adekvatnosti kapitala iz stava 3. odredba pod 3) ove tačke, odnosno tačke 5. ove odluke;
- kapitalnog zahteva za rizik prilagođavanja kreditne izloženosti za sve poslovne aktivnosti banke, obračunatog na način propisan glavom VI ove odluke, pomnoženog recipročnom vrednošću pokazatelja adekvatnosti kapitala iz stava 3. odredba pod 3) ove tačke, odnosno tačke 5. ove odluke;
- kapitalnog zahteva za operativni rizik, obračunatog na način propisan glavom VIII ove odluke, za sve poslovne aktivnosti banke, pomnoženog recipročnom vrednošću pokazatelja adekvatnosti kapitala iz stava 3. odredba pod 3) ove tačke, odnosno tačke 5. ove odluke;
- rizikom ponderisanih izloženosti za rizik druge ugovorne strane, obračunatih na način propisan glavom IV ove odluke, za aktivnosti iz knjige trgovanja po osnovu ugovora iz Priloga 1 ove odluke i kreditnih derivata, repo transakcija, ugovora o davanju ili uzimanju u zajam hartija od vrednosti ili robe, transakcija kreditiranja trgovine hartijama od vrednosti i transakcija s dugim rokom izmirenja.
Banka je dužna da pokazatelje iz stava 1. ove tačke održava na nivoima koji nisu niži od:
1) 4,5%, za pokazatelj adekvatnosti osnovnog akcijskog kapitala banke;
2) 6%, za pokazatelj adekvatnosti osnovnog kapitala banke;
3) 8%, za pokazatelj adekvatnosti kapitala banke.
3a. Banka je dužna da izračunava pokazatelj stepena zaduženosti (leveridž) koji predstavlja procentualno izražen odnos između osnovnog kapitala banke i ukupnog iznosa izloženosti banke.
Banka je dužna da pokazatelj iz stava 1. ove tačke održava na nivou koji nije niži od 3%.
Način izračunavanja ukupnog iznosa izloženosti banke iz stava 1. ove tačke Narodna banka Srbije bliže uređuje uputstvom koje donosi Izvršni odbor Narodne banke Srbije.
4. Banka je dužna da u svom poslovanju obezbedi da visina njenog osnovnog akcijskog kapitala ni u jednom trenutku ne bude manja od dinarske protivvrednosti iznosa 10.000.000 evra, prema zvaničnom srednjem kursu Narodne banke Srbije na dan obračuna.
Banka je dužna da, pored ispunjenja uslova iz stava 1. ove tačke, u svakom trenutku održava kapital i na nivou potrebnom za pokriće svih rizika kojima je izložena ili može biti izložena u svom poslovanju, a najmanje u visini potrebnoj za održavanje pokazatelja adekvatnosti kapitala iz tačke 3. stav 3. ove odluke i pokazatelja stepena zaduženosti iz tačke 3a stav 2. ove odluke, odnosno uvećanih pokazatelja - ako joj je Narodna banka Srbije, u skladu s tač. 5. i 5a ove odluke, odredila pokazatelje veće od propisanih.
5. Narodna banka Srbije može banci odrediti pokazatelje adekvatnosti kapitala veće od onih koji su propisani u tački 3. stav 3. ove odluke ako kontrolom boniteta i zakonitosti poslovanja banke, odnosno u okviru procesa supervizorske procene poslovanja banke utvrdi da je to potrebno radi stabilnog i sigurnog poslovanja banke, odnosno ispunjenja njenih obaveza prema poveriocima.
Povećanje pokazatelja adekvatnosti kapitala banke, kao i iznos tih povećanja, Narodna banka Srbije određuje rešenjem na osnovu:
- pojedinačnih procena poslovnog modela, modela finansiranja i ukupnog rizičnog profila banke,
- procene da li je banka obezbedila da u svakom trenutku održava nivo i strukturu kapitala koji joj omogućavaju pokriće svih rizika kojima je izložena ili može biti izložena u svom poslovanju po osnovu poslovnog modela, modela finansiranja i ukupnog rizičnog profila banke,
- ocene načina na koji su rizici i slabosti poslovnog modela, modela finansiranja i ukupnog rizičnog profila banke, koji su identifikovani u procesu kontrole, direktno ili indirektno, pokriveni dodatnim zahtevima za kapitalom utvrđenim procenom procesa interne procene adekvatnosti kapitala banke,
- ocene efekata drugih naloga i mera izrečenih banci u vezi sa rizicima i slabostima poslovnog modela, modela finansiranja i ukupnog rizičnog profila banke identifikovanim u procesu kontrole.
Pored održavanja pokazatelja adekvatnosti kapitala utvrđenog na način iz stava 2. ove tačke, banka je dužna da održava pokazatelje adekvatnosti kapitala iz ovog stava uvećane na način koji joj omogućava pokriće zahteva za kombinovanim zaštitnim slojem kapitala u skladu sa glavom IX ove odluke.
5a. Narodna banka Srbije može rešenjem banci odrediti i pokazatelj stepena zaduženosti veći od onog koji je propisan u tački 3a stav 2. ove odluke ako kontrolom boniteta i zakonitosti poslovanja banke, odnosno u okviru procesa supervizorske procene poslovanja banke utvrdi da je to potrebno radi stabilnog i sigurnog poslovanja banke, odnosno radi ispunjenja njenih obaveza prema poveriocima.
KAPITAL BANKE
6. Kapital banke čini zbir osnovnog kapitala i dopunskog kapitala, pri čemu osnovni kapital banke čini zbir osnovnog akcijskog kapitala i dodatnog osnovnog kapitala.
OSNOVNI AKCIJSKI KAPITAL
Elementi osnovnog akcijskog kapitala
7. Osnovni akcijski kapital banke čini zbir sledećih elemenata korigovan za regulatorna prilagođavanja iz tač. 11. i 12. ove odluke i umanjen za odbitne stavke iz tačke 13. te odluke:
1) akcija i drugih instrumenata kapitala koji ispunjavaju uslove iz tačke 8. ove odluke (u daljem tekstu: instrumenti osnovnog akcijskog kapitala);
2) pripadajuće emisione premije uz instrumente osnovnog akcijskog kapitala, tj. iznosa uplaćenog iznad nominalne vrednosti tih instrumenata;
3) dobiti banke;
4) revalorizacionih rezervi i ostalih nerealizovanih dobitaka;
5) rezervi iz dobiti i ostalih rezervi banke, osim rezervi iz odredbe pod 6) ovog stava;
6) rezervi za opšte bankarske rizike.
Elementi iz stava 1. odredbe 3) do 6) ove tačke uključuju se u osnovni akcijski kapital samo ako banka može da ih koristi bezuslovno, u celosti i bez odlaganja za pokriće rizika ili gubitaka čim do njih dođe.
8. Instrumenti osnovnog akcijskog kapitala uključuju se u obračun osnovnog akcijskog kapitala banke ako su ispunjeni sledeći uslovi:
1) instrumente je neposredno izdala banka;
2) instrumenti su uplaćeni i banka nije neposredno ili posredno finansirala njihovu kupovinu;
3) instrumenti se iskazuju kao kapital u skladu sa odlukama Narodne banke Srbije kojima se uređuju Kontni okvir za banke i sadržina računa u Kontnom okviru za banke, odnosno obrasci i sadržina pozicija u obrascima finansijskih izveštaja za banke, kao i za potrebe utvrđivanja stečajnog bilansa banke, u skladu sa zakonom kojim se uređuju stečaj i likvidacija banaka i društava za osiguranje;
4) instrumenti nemaju određen rok dospeća;
5) ukupna nominalna vrednost, odnosno glavnica instrumenata se ne može smanjiti niti otplatiti, osim u slučaju otpisa i konverzije kapitala ili primene instrumenta restrukturiranja, u skladu sa zakonom kojim se uređuju banke, stečaja ili likvidacije banke u skladu sa zakonom kojim se uređuju stečaj i likvidacija banaka i društava za osiguranje ili u slučaju smanjenja vrednosti instrumenata osnovnog akcijskog kapitala na osnovu odluke banke, uz prethodnu saglasnost Narodne banke Srbije, u skladu s tačkom 32. ove odluke;
6) odredbe unutrašnjih akata banke i odluka o izdavanju instrumenata ne sadrže izričitu ili implicitnu mogućnost smanjenja nominalne vrednosti tih instrumenata, odnosno otplate glavnice, osim u slučaju otpisa i konverzije kapitala ili primene instrumenta restrukturiranja u skladu sa zakonom kojim se uređuju banke, odnosno u slučaju stečaja ili likvidacije banke u skladu sa zakonom kojim se uređuju stečaj i likvidacija banaka, a banka ni na koji drugi način nije ukazala na ovu mogućnost pre ili u momentu izdavanja instrumenata;
7) ispunjeni su sledeći uslovi u vezi sa raspodelom dobiti po osnovu instrumenata:
- ne postoji preferencijalni tretman instrumenata osnovnog akcijskog kapitala u vezi sa redosledom isplate, niti su odredbama unutrašnjih akata banke i odlukom o izdavanju instrumenata predviđena preferencijalna prava na isplatu u okviru raspodele dobiti po osnovu ovih instrumenata, s tim što se preferencijalni tretman, odnosno preferencijalna prava ne odnose na mogućnost viših isplata u okviru raspodela kod onih instrumenata osnovnog akcijskog kapitala koji nose manje prava glasa ili su bez prava glasa;
- raspodela imaocima instrumenata može da se vrši samo iz sredstava raspoloživih za te namene;
- odredbama unutrašnjih akata banke i odlukom o izdavanju instrumenata nije predviđen maksimalan iznos isplate u okviru raspodele ili, ako se radi o instrumentima na osnovu kojih se može isplaćivati uvećana dividenda, iznos raspodele po osnovu te dividende ne dovodi do nesrazmernog opterećenja kapitala banke;
- iznos isplate u okviru raspodele se ne utvrđuje na osnovu iznosa za koji su instrumenti kupljeni prilikom izdavanja;
- odredbe unutrašnjih akata banke i odluka o izdavanju instrumenata ne sadrže obavezu banke da vrši raspodelu njihovim imaocima, niti je banka na drugi način dužna da tu raspodelu izvrši;
- nevršenje raspodele ne dovodi do nastupanja statusa neizmirenja obaveza banke;
- odustanak od raspodele ne prouzrokuje nikakve posledice za banku;
8) u poređenju sa ostalim instrumentima kapitala banke, ovi instrumenti se prvi i u srazmerno najvećem učešću koriste za pokriće gubitaka banke, a svaki instrument se za pokriće gubitaka koristi u istoj meri kao i drugi instrumenti osnovnog akcijskog kapitala, i to bez obzira na mogućnost otpisa glavnice instrumenata dodatnog osnovnog kapitala i dopunskog kapitala banke;
9) u slučaju stečaja ili likvidacije banke imaoci ovih instrumenata se svrstavaju u niži isplatni red u odnosu na sve ostale poverioce banke i imaoce drugih instrumenata kapitala i daju pravo njihovim imaocima na učešće u raspodeli viška deobne mase srazmerno broju (vrednosti) izdatih instrumenata pri čemu visina tog učešća nije fiksirana ili unapred određena;
10) instrumenti osnovnog akcijskog kapitala nisu obezbeđeni, niti su za njih banka, njeno podređeno društvo, matično društvo banke i njegova podređena društva, član bankarske grupe kojoj banka pripada ili lice povezano sa ovim licima izdali garanciju kojom se poboljšava redosled naplate potraživanja po osnovu tih instrumenata;
11) na instrumente osnovnog akcijskog kapitala se ne primenjuje nijedan sporazum kojim se poboljšava redosled naplate potraživanja po osnovu tih instrumenata u slučaju stečaja ili likvidacije.
Slučajeve posrednog, odnosno neposrednog finansiranja iz stava 1. odredba pod 2) ove tačke, kada se smatra da postoji preferencijalni tretman iz odredbe pod 7) alineja prva te tačke, kao i kada iznos raspodele po osnovu uvećane dividende ne dovodi do nesrazmernog opterećenja kapitala banke u smislu alineje treće iste odredbe, Narodna banka Srbije propisuje uputstvom.
9. Ako instrumenti osnovnog akcijskog kapitala banke prestanu da ispunjavaju uslove iz tačke 8. ove odluke, banka je dužna da te instrumente, kao i emisionu premiju koja se odnosi na te instrumente, odmah isključi iz obračuna osnovnog akcijskog kapitala, i da o tome bez odlaganja obavesti Narodnu banku Srbije.
10. Dobit banke iz tačke 7. stav 1. odredba pod 3) ove odluke koja se uključuje u osnovni akcijski kapital čini dobit iz ranijih godina koja nije opterećena nikakvim budućim obavezama, a za koju je skupština banke donela odluku da će biti raspoređena u osnovni akcijski kapital.
Banka može, u skladu s tačkom 7. stav 1. odredba pod 3) ove odluke, u osnovni akcijski kapital da uključi dobit tekuće godine ili dobit iz prethodne godine za koju skupština banke još nije donela odluku da će biti raspoređena u osnovni akcijski kapital - uz prethodnu saglasnost Narodne banke Srbije.
Narodna banka Srbije daje saglasnost iz stava 2. ove tačke ako na osnovu dostavljene dokumentacije utvrdi da su ispunjeni sledeći uslovi:
- ovaj iznos dobiti je umanjen za projektovan iznos poreza na dobit, obaveza za dividende i svih drugih obaveza iz dobiti (druga učešća u raspodeli dobiti, sve obaveze ili okolnosti koje su nastale tokom izveštajnog perioda i za koje je verovatno da će dovesti do smanjenja dobiti banke, a u vezi sa kojima je Narodna banka Srbije utvrdila da nisu izvršena sva potrebna prilagođavanja vrednosti, kao što su dodatna prilagođavanja vrednosti iz tačke 12. stav 5. ove odluke ili rezervisanja) koje se mogu predvideti u vreme uključivanja dobiti u osnovni akcijski kapital,
- da je spoljni revizor ovlašćen za reviziju finansijskih izveštaja banke potvrdio da je taj iznos dobiti utvrđen u skladu sa MSFI/MRS i zakonom kojim se uređuje računovodstvo.
Način obračuna dobiti tekuće ili prethodne godine, izračunavanja projektovanog iznosa obaveza za dividende i drugih obaveza iz dobiti za koji se umanjuje iznos dobiti tekuće godine ili dobit iz prethodne godine, Narodna banka Srbije propisuje uputstvom.
11. Prilikom obračuna vrednosti elemenata kapitala, banka je dužna da iz vrednosti tih elemenata utvrđene u skladu sa MSFI/MRS isključi iznos povećanja kapitala koje je rezultat sekjuritizacije izloženosti, a naročito:
1) povećanje kapitala povezano sa budućim prihodom po osnovu marže na osnovu kog banka ostvaruje dobitak od prodaje;
2) neto dobit koja proističe iz kapitalizacije budućeg prihoda od sekjuritizovanih izloženosti koje obezbeđuju poboljšanje kreditnog kvaliteta sekjuritizovanih pozicija, kada je banka inicijator sekjuritizacije.
Dobitak od prodaje iz stava 1. odredba pod 1) ove tačke je svaki priznati dobitak od prodaje za banku koji utiče na povećanje bilo kog elementa kapitala, a povezan je sa budućim prihodom po osnovu marže koji nastaje po osnovu prodaje sekjuritizovanih izloženosti kada one prestanu da se priznaju u bilansu banke u okviru sekjuritizacije.
Priznati dobitak od prodaje iz stava 2. ove tačke određuje se kao razlika između sledećih iznosa:
- neto vrednosti primljene imovine, uključujući svaku novu stečenu imovinu umanjenu za svaku drugu datu imovinu ili preuzetu obavezu i
- knjigovodstvene vrednosti sekjuritizovanih izloženosti ili dela sekjuritizovanih izloženosti koje su prestale da se priznaju u bilansu banke.
12. Banka u elemente kapitala ne uključuje:
1) fer vrednost rezervi u vezi sa dobicima ili gubicima po osnovu instrumenata zaštite od rizika novčanog toka za finansijske instrumente koji se ne vrednuju po fer vrednosti, uključujući i projektovane novčane tokove;
2) dobitke ili gubitke po osnovu obaveza banke vrednovanih po fer vrednosti koji su posledica promene kreditne sposobnosti banke;
3) dobitke ili gubitke koji proizlaze iz kreditnog rizika banke po osnovu obaveza po derivatima vrednovanim po fer vrednosti, pri čemu banka ne može ove dobitke ili gubitke da netira s onima koji proizlaze iz kreditnog rizika druge ugovorne strane.
Izuzetno od stava 1. odredba pod 2) ove tačke, banka može u obračun kapitala uključiti dobitke ili gubitke po osnovu obaveza banke vrednovanih po fer vrednosti koji su posledica promene njene kreditne sposobnosti, ako se radi o obavezama banke po osnovu pokrivenih obveznica i ako su ispunjeni sledeći uslovi:
1) promene u vrednosti imovine i obaveza banke nastaju usled istih promena u kreditnoj sposobnosti banke,
2) postoji visok stepen korelacije između vrednosti pokrivenih obveznica i vrednosti imovine banke,
3) moguće je otplatiti hipotekarni kredit otkupom pokrivenih obveznica kojima se ovaj kredit finansira, po tržišnoj ili nominalnoj vrednosti.
Način utvrđivanja postojanja visokog stepena korelacije između vrednosti pokrivenih obveznica i vrednosti imovine banke u smislu stava 2. odredba pod 2) ove tačke Narodna banka Srbije propisuje uputstvom.
Nerealizovani dobici ili gubici po osnovu imovine ili obaveza vrednovanih po fer vrednosti, osim dobitaka ili gubitaka iz stava 1. ove tačke, uključuju se u obračun kapitala.
Prilikom obračuna kapitala banke, zahtevi iz tač. 315. do 318. ove odluke primenjuju se na svu imovinu banke koja se vrednuje po fer vrednosti, a banka je dužna da od osnovnog akcijskog kapitala odbije iznos svih neophodnih dodatnih prilagođavanja vrednosti utvrđen u skladu s tim tačkama.
Odbitne stavke od osnovnog akcijskog kapitala
13. Odbitne stavke od osnovnog akcijskog kapitala su:
1) gubitak tekuće godine i ranijih godina, kao i nerealizovani gubici;
2) nematerijalna ulaganja, uključujući gudvil (goodwill), umanjena za iznos odloženih poreskih obaveza koje bi prestale da postoje u slučaju obezvređenja ili prestanka priznavanja nematerijalnih ulaganja u skladu sa MSFI/MRS;
3) odložena poreska sredstva koja zavise od buduće profitabilnosti banke, u skladu s propisima;
4) negativan iznos dobijen obračunom u skladu s tačkom 134. ove odluke - za banke koje su dobile saglasnost Narodne banke Srbije za primenu IRB pristupa;
5) imovina u penzijskom fondu sa definisanim naknadama u bilansu stanja banke;
6) direktna, indirektna i sintetička ulaganja banke u sopstvene instrumente osnovnog akcijskog kapitala, uključujući i sopstvene instrumente osnovnog akcijskog kapitala koje je banka dužna ili može biti dužna da otkupi na osnovu ugovorne obaveze;
7) direktna, indirektna i sintetička ulaganja u instrumente osnovnog akcijskog kapitala lica u finansijskom sektoru koja imaju uzajamna ulaganja u banci, a koja su izvršena radi prikazivanja većeg iznosa kapitala banke;
8) primenljivi iznos direktnih, indirektnih i sintetičkih ulaganja banke u instrumente osnovnog akcijskog kapitala lica u finansijskom sektoru u kojem banka nema značajno ulaganje, u skladu s tač. 19. i 20. ove odluke;
9) primenljivi iznos direktnih, indirektnih i sintetičkih ulaganja banke u instrumente osnovnog akcijskog kapitala lica u finansijskom sektoru u kojem banka ima značajno ulaganje, u skladu s tačkom 19. ove odluke;
10) iznos za koji odbitne stavke od dodatnog osnovnog kapitala banke premašuju iznos dodatnog osnovnog kapitala banke;
11) iznos izloženosti koje ispunjavaju uslove za primenu pondera rizika od 1.250%, a koje banka odluči da odbije od osnovnog akcijskog kapitala umesto da primeni taj ponder i to:
- učešća u licima koja nisu lica u finansijskom sektoru u iznosu preko 10% kapitala tih lica, odnosno učešća koja omogućavaju efektivno vršenje znatnog uticaja na upravljanje pravnim licem ili na poslovnu politiku tog pravog lica, u skladu sa stavom 6. ove tačke,
- sekjuritizovane pozicije, u skladu s tačkom 201. stav 1. odredba pod 2), tačkom 202. stav 1. odredba pod 2) i tačkom 234. ove odluke,
- slobodne isporuke, ako druga ugovorna strana u roku od četiri radna dana od ugovorenog datuma isporuke/plaćanja nije izmirila svoju obavezu, u skladu s tačkom 299. ove odluke,
- izloženosti iz grupe za koje banka ne može da utvrdi ponder rizika primenom IRB pristupa, u skladu s tačkom 121. ove odluke,
- izloženosti po osnovu vlasničkih ulaganja prema pristupu internih modela, u skladu s tačkom 127. ove odluke;
12) iznos poreza u vezi sa elementima osnovnog akcijskog kapitala koji se može predvideti u vreme obračuna kapitala, osim ako je banka prethodno korigovala iznos elemenata osnovnog akcijskog kapitala u iznosu u kojem ti porezi smanjuju iznos do kojeg se elementi osnovnog akcijskog kapitala mogu koristiti za pokriće rizika ili gubitaka;
13) bruto iznos potraživanja od dužnika - fizičkog lica (osim poljoprivrednika i preduzetnika) po osnovu odobrenih potrošačkih kredita, gotovinskih kredita ili ostalih kredita koji se iskazuju na računima 102, 107 i 108 u skladu sa odlukom kojom se propisuju Kontni okvir i sadržina računa u Kontnom okviru za banke kod kojih je stepen kreditne zaduženosti tog dužnika pre odobrenja kredita bio veći od procenta utvrđenog u skladu sa odlukom kojom se uređuje klasifikacija bilansne aktive i vanbilansnih stavki banke ili će taj procenat biti veći usled odobrenja kredita, pri čemu se ova odbitna stavka primenjuje bez obzira na to da li je nakon odobrenja kredita stepen kreditne zaduženosti dužnika postao niži od tog procenta;
14) bruto iznos potraživanja od dužnika - fizičkog lica (osim poljoprivrednika i preduzetnika) po osnovu odobrenih potrošačkih kredita, gotovinskih kredita ili ostalih kredita, izuzev kredita iz odredbe pod 15) ovog stava, koji se iskazuju na računima 102, 107 i 108 u skladu sa odlukom iz odredbe pod 13) ovog stava i čija je ugovorena ročnost:
- duža od 2920 dana - ako su ti krediti odobreni u periodu od 1. januara do 31. decembra 2019. godine,
- duža od 2555 dana - ako su ti krediti odobreni u periodu od 1. januara do 31. decembra 2020. godine,
- duža od 2190 dana - ako su ti krediti odobreni počev od 1. januara 2021. godine;
15) bruto iznos potraživanja od dužnika - fizičkog lica (osim poljoprivrednika i preduzetnika) po osnovu potrošačkih kredita odobrenih za kupovinu motornih vozila koji se iskazuju na računu 102 u skladu sa odlukom iz odredbe pod 13) ovog stava a čija je ugovorena ročnost duža od 2920 dana - ako su ti krediti odobreni počev od 1. januara 2019. godine;
16) iznos rezerve za procenjene gubitke obračunate u skladu s propisima Narodne banke Srbije, ako je tim propisima utvrđena obaveza izdvajanja ove rezerve;
17) ukupan iznos izloženosti u dinarima indeksiranih deviznom klauzulom i u stranoj valuti iz tačke 13a. stav 1. ove odluke za koji je prekoračen procenat iz tog stava, odnosno ukupan iznos izloženosti u dinarima indeksiranih deviznom klauzulom i u stranoj valuti iz stava 2. te tačke za koji je prekoračen procenat iz tog stava.
Za potrebe obračuna osnovnog akcijskog kapitala tokom godine banka je dužna da utvrđuje dobitak/gubitak na kraju svakog obračunskog perioda i da sve gubitke oduzima od osnovnog akcijskog kapitala kako oni nastaju, u skladu sa stavom 1. odredba pod 1) ove tačke.
Stav 2. ove tačke se primenjuje i pri utvrđivanju odbitne stavke od osnovnog akcijskog kapitala u vidu nerealizovanih gubitaka.
U smislu ove odluke, značajno ulaganje banke u lice u finansijskom sektoru postoji ako je ispunjen bilo koji od sledećih uslova:
1) banka ima više od 10% instrumenata osnovnog akcijskog kapitala koje je izdalo to lice;
2) ovo lice smatra se licem povezanim sa bankom u smislu zakona kojim se uređuju banke i banka ima ulaganje u instrumente osnovnog akcijskog kapitala tog lica;
3) banka ima ulaganje u instrumente osnovnog akcijskog kapitala tog lica, pri čemu to lice nije uključeno u konsolidaciju za potrebe kontrole Narodne banke Srbije na konsolidovanoj osnovi, ali jeste uključeno u konsolidaciju u skladu sa zakonom kojim se uređuje računovodstvo.
U obračun ulaganja iz stava 1. odredbe pod 8) i 9) ove tačke ne ulaze izloženosti koje nastaju po osnovu pokroviteljstva emisije hartija od vrednosti koje se drže tokom pet radnih dana ili kraće.
Ako banka učešća iz odredbe pod 11) alineja prva ove tačke ne oduzme od osnovnog akcijskog kapitala, dužna je da izloženostima po osnovu tih učešća dodeli ponder rizika od 1.250%.
Ponder iz stava 6. ove tačke primenjuje se na veći od sledeća dva iznosa:
- ukupan iznos za koji pojedinačna učešća iz odredbe pod 11) alineja prva ove tačke prelaze 15% podobnog kapitala banke ili
- ukupan iznos za koji ta učešća prelaze 60% podobnog kapitala banke.
Pod podobnim kapitalom banke, u smislu ove tačke, podrazumeva se zbir osnovnog kapitala banke bez primene odbitne stavke iz stava 1. odredba pod 11) alineja prva ove tačke i dopunskog kapitala banke u iznosu do najviše jedne trećine njenog osnovnog kapitala.
Način obračuna odbitnih stavki iz stava 1. odredbe pod 5), odredaba 6) do 9) i odredbe pod 12) ove tačke, Narodna banka Srbije propisuje uputstvom.
Odbitna stavka iz stava 1. odredba pod 13) ove tačke ne primenjuje se na iznos potraživanja od dužnika - fizičkog lica (osim poljoprivrednika i preduzetnika) po osnovu odobrenih kredita male vrednosti, čije je značenje utvrđeno odlukom kojom se uređuje klasifikacija bilansne aktive i vanbilansnih stavki banke.
13a. Odbitna stavka iz tačke 13. stav 1. odredba pod 17) ove odluke primenjuje se ako zbir izloženosti banke po osnovu plasmana u dinarima indeksiranih deviznom klauzulom i plasmana u stranoj valuti - odobrenih počev od 1. jula 2023. godine dužnicima iz nefinansijskog i državnog sektora i izloženosti banke po osnovu dužničkih hartija od vrednosti izraženih u dinarima s deviznom klauzulom i u stranoj valuti prelazi 50% zbira iznosa izloženosti banke po osnovu plasmana u dinarima (uključujući i plasmane indeksirane deviznom klauzulom) i plasmana u stranoj valuti - odobrenih počev od 1. jula 2023. godine tim dužnicima i iznosa izloženosti banke po osnovu dužničkih hartija od vrednosti izraženih u dinarima (uključujući i hartije od vrednosti u dinarima s deviznom klauzulom) i u stranoj valuti.
Izuzetno od stava 1. ove tačke, odbitna stavka iz tog stava primenjuje se ako zbir izloženosti banke po osnovu plasmana u dinarima indeksiranih deviznom klauzulom i plasmana u stranoj valuti - odobrenih počev od 1. jula 2023. godine dužnicima iz nefinansijskog i državnog sektora i izloženosti banke po osnovu dužničkih hartija od vrednosti izraženih u dinarima s deviznom klauzulom i u stranoj valuti prelazi sledeće iznose:
1) 71% zbira iznosa izloženosti banke po osnovu plasmana u dinarima (uključujući i plasmane indeksirane deviznom klauzulom) i plasmana u stranoj valuti - odobrenih počev od 1. jula 2023. godine dužnicima iz ovog stava i iznosa izloženosti banke po osnovu dužničkih hartija od vrednosti izraženih u dinarima (uključujući i hartije od vrednosti u dinarima s deviznom klauzulom) i u stranoj valuti - u periodu od 1. januara do 31. decembra 2025. godine;
2) 64% zbira iznosa izloženosti banke po osnovu plasmana u dinarima (uključujući i plasmane indeksirane deviznom klauzulom) i plasmana u stranoj valuti - odobrenih počev od 1. jula 2023. godine dužnicima iz ovog stava i iznosa izloženosti banke po osnovu dužničkih hartija od vrednosti izraženih u dinarima (uključujući i hartije od vrednosti u dinarima s deviznom klauzulom) i u stranoj valuti - u periodu od 1. januara do 31. decembra 2026. godine;
3) 57% zbira iznosa izloženosti banke po osnovu plasmana u dinarima (uključujući i plasmane indeksirane deviznom klauzulom) i plasmana u stranoj valuti - odobrenih počev od 1. jula 2023. godine dužnicima iz ovog stava i iznosa izloženosti banke po osnovu dužničkih hartija od vrednosti izraženih u dinarima (uključujući i hartije od vrednosti u dinarima s deviznom klauzulom) i u stranoj valuti - u periodu od 1. januara do 31. decembra 2027. godine.
Plasmani u dinarima indeksirani deviznom klauzulom iz st. 1. i 2. ove tačke obuhvataju:
1) zbir pripadajućih delova stanja na računima 100, 103, 105, 107 i 108 utvrđenim u skladu sa odlukom kojom se propisuju Kontni okvir i sadržina računa u Kontnom okviru za banke - koji se odnose na kredite odobrene nefinansijskom sektoru, umanjen za pripadajući deo stanja na računu 105 koji se odnosi na investicione kredite odobrene tom sektoru za nabavku osnovnih sredstava;
2) zbir pripadajućih delova stanja na računima 100, 103, 105 i 108 utvrđenim u skladu sa odlukom iz odredbe pod 1) ovog stava koji se odnose na kredite odobrene državnom sektoru, pomnožen faktorom prilagođavanja 0,2;
3) zbir pripadajućih delova stanja na računima 161 i 162 utvrđenim u skladu sa odlukom iz odredbe pod 1) ovog stava koji se odnose na potraživanja prema dužnicima iz nefinansijskog i državnog sektora.
Plasmani u dinarima iz st. 1. i 2. ove tačke obuhvataju:
1) zbir pripadajućih delova stanja na računima 100, 103, 105, 107 i 108 utvrđenim u skladu sa odlukom kojom se propisuju Kontni okvir i sadržina računa u Kontnom okviru za banke - koji se odnose na kredite odobrene nefinansijskom sektoru, umanjen za deo stanja na računu 105 koji se odnosi na investicione kredite odobrene tom sektoru za nabavku osnovnih sredstava;
2) zbir pripadajućih delova stanja na računima 100, 103, 105 i 108 utvrđenim u skladu sa odlukom iz odredbe pod 1) ovog stava koji se odnose na kredite odobrene državnom sektoru, pomnožen faktorom prilagođavanja 0,2;
3) zbir pripadajućih delova stanja na računima 161 i 162 utvrđenim u skladu sa odlukom iz odredbe pod 1) ovog stava koji se odnose na potraživanja prema dužnicima iz nefinansijskog i državnog sektora.
Plasmani u stranoj valuti iz st. 1. i 2. ove tačke obuhvataju:
1) pripadajući deo stanja na računu 200 utvrđenom u skladu sa odlukom kojom se propisuju Kontni okvir i sadržina računa u Kontnom okviru za banke - koji se odnosi na kredite za plaćanje uvoza usluga iz inostranstva odobrene nefinansijskom sektoru;
2) pripadajući deo stanja na računu 200 iz odredbe pod 1) ovog stava koji se odnosi na kredite odobrene državnom sektoru, pomnožen faktorom prilagođavanja 0,2;
3) zbir pripadajućih delova stanja na računima 203 i 207 utvrđenim u skladu sa odlukom iz odredbe pod 1) ovog stava koji se odnose na kredite odobrene nefinansijskom sektoru;
4) pripadajući deo stanja na računu 203 utvrđenom u skladu sa odlukom iz odredbe pod 1) ovog stava koji se odnosi na kredite odobrene državnom sektoru, pomnožen faktorom prilagođavanja 0,2;
5) zbir pripadajućih delova stanja na računima 261 i 262 utvrđenim u skladu sa odlukom iz odredbe pod 1) ovog stava koji se odnose na potraživanja prema dužnicima iz nefinansijskog i državnog sektora.
Nefinansijski sektor iz st. 1. i 2. ove tačke obuhvata javni nefinansijski sektor, sektor privrednih društava, sektor preduzetnika, strana pravna lica (osim banaka), privatna domaćinstva sa zaposlenim licima i registrovane poljoprivredne proizvođače, kao i sektor drugih pravnih lica u skladu sa odlukom kojom se uređuju prikupljanje, obrada i dostavljanje podataka o stanju i strukturi računa iz Kontnog okvira.
Državni sektor iz st. 1. i 2. ove tačke obuhvata sektor opšte države u skladu sa odlukom iz stava 6. ove tačke.
Plasmani iz st. 3. do 5. ove tačke iskazuju se po bruto principu, odnosno pre umanjivanja za ispravke vrednosti.
U plasmane iz st. 3. do 5. ove tačke ne uključuju se:
1) potraživanja restrukturirana u skladu sa odlukom kojom se uređuje klasifikacija bilansne aktive i vanbilansnih stavki banke, ako se restrukturiranje vrši po osnovu plasmana odobrenih pre 1. jula 2023. godine;
2) izloženosti banke po osnovu specijalizovanog kreditiranja iz tačke 74. stav 3. odredbe pod 1) i 2) ove odluke ako te izloženosti imaju karakteristike propisane u stavu 2. te tačke.
Banka umanjuje iznos izloženosti po osnovu plasmana iz st. 3. do 5. ove tačke za iznos obezbeđen prvoklasnim sredstvom obezbeđenja u vidu gotovinskog depozita kod banke, kao i drugim prvoklasnim sredstvom obezbeđenja u smislu odluke kojom se uređuje klasifikacija bilansne aktive i vanbilansnih stavki banke ukoliko je njihov izdavalac lice kojem se u skladu sa ovom odlukom dodeljuje ponder kreditnog rizika 0% - ako su ispunjeni uslovi za njihovu klasifikaciju u kategoriju A u skladu sa odredbama te odluke.
Dužničke hartije od vrednosti izražene u dinarima s deviznom klauzulom iz st. 1. i 2. ove tačke koje ispunjavaju uslove iz stava 14. ove tačke - obuhvataju zbir pripadajućih delova stanja na računima 120, 122 i 124 utvrđenim u skladu sa odlukom iz stava 3. ove tačke.
Dužničke hartije od vrednosti izražene u dinarima iz st. 1. i 2. ove tačke koje ispunjavaju uslove iz stava 14. ove tačke - obuhvataju zbir pripadajućih delova stanja na računima 120, 122 i 124 utvrđenim u skladu sa odlukom iz stava 3. ove tačke.
Dužničke hartije od vrednosti izražene u stranoj valuti iz st. 1. i 2. ove tačke koje ispunjavaju uslove iz stava 14. ove tačke - obuhvataju zbir pripadajućih delova stanja na računima 220, 222 i 224 utvrđenim u skladu sa odlukom iz stava 3. ove tačke.
Dužničke hartije od vrednosti iz st. 11. do 13. ove tačke uključuju se u obračun odbitne stavke iz tačke 13. stav 1. odredba pod 17) ove odluke ako ispunjavaju sledeće uslove:
1) izdavalac je pravno lice iz javnog nefinansijskog sektora ili sektora privrednih društava u smislu odluke iz stava 6. ove tačke;
2) emisiji hartija od vrednosti, odnosno njihovom izdavaocu dodeljen je kreditni rejting podobne agencije za rejting;
3) emisija hartija od vrednosti u nadležni registar Republike Srbije nije upisana pre 1. jula 2023. godine;
4) hartije od vrednosti kotirane su na regulisanom tržištu (berzi) u Republici Srbiji.
13b. Odbitna stavka iz tačke 13. stav 1. odredba pod 14) ove odluke umanjuje se za iznos potraživanja po osnovu kredita za refinansiranje kredita iz te odredbe koji su odobreni do 18. marta 2020. godine, ako su ispunjeni sledeći uslovi:
1) kredit za refinansiranje odobren je u periodu od 19. marta do 31. decembra 2020. godine a ugovorena ročnost tog kredita nije duža od 3285 dana ili je kredit za refinansiranje odobren u periodu od 1. januara do 31. decembra 2021. godine, a ugovorena ročnost tog kredita nije duža od 2920 dana;
2) iznos kredita za refinansiranje nije veći od preostalog neotplaćenog iznosa kredita koji se refinansira.
Odbitna stavka iz tačke 13. stav 1. odredba pod 15) ove odluke umanjuje se za iznos potraživanja po osnovu kredita za refinansiranje potrošačkih kredita iz te odredbe koji su odobreni do 18. marta 2020. godine, pod uslovom da je kredit za refinansiranje odobren u periodu od 19. marta 2020. godine do 31. decembra 2021. godine, da ugovorena ročnost tog kredita nije duža od 3650 dana, kao i da njegov iznos nije veći od preostalog neotplaćenog iznosa kredita koji se refinansira.
Pod kreditom za refinansiranje u smislu st. 1. i 2. ove tačke podrazumeva se novi kredit koji je banka odobrila dužniku radi izmirenja dela ili celog iznosa obaveze koju dužnik ima prema banci po kreditima iz tih stavova.
Na potraživanja po osnovu kredita za refinansiranje koji su odobreni pod uslovima iz st. 1. i 2. ove tačke ne primenjuje se odbitna stavka iz tačke 13. stav 1. odredba pod 13) ove odluke.
U obračun odbitne stavke iz tačke 13. stav 1. odredba pod 14) ove odluke ne uključuje se bruto iznos potraživanja po osnovu kredita odobrenog u periodu od 1. januara 2019. godine do 18. marta 2020. godine kod kojeg je promenjen datum dospeća poslednje rate, čime je ugovorena ročnost tog kredita produžena, ako su ispunjeni sledeći uslovi:
1) promena datuma dospeća poslednje rate ugovorena je u periodu od 19. marta do 31. decembra 2020. godine, a nova ugovorena ročnost nije duža od 3285 dana ili je promena datuma dospeća poslednje rate ugovorena u periodu od 1. januara do 31. decembra 2021. godine, a nova ugovorena ročnost nije duža od 2920 dana;
2) ugovorom o kreditu kod kojeg je promenjen datum dospeća poslednje rate nije odobren dodatni iznos kredita u periodu od 19. marta 2020. godine do konačne otplate po tom ugovoru.
U obračun odbitne stavke iz tačke 13. stav 1. odredba pod 15) ove odluke ne uključuje se bruto iznos potraživanja po osnovu kredita odobrenog u periodu od 1. januara 2019. godine do 18. marta 2020. godine kod kojeg je promenjen datum dospeća poslednje rate, čime je ugovorena ročnost tog kredita produžena, pod uslovom da je promena datuma dospeća poslednje rate ugovorena u periodu od 19. marta 2020. godine do 31. decembra 2021. godine, da nova ugovorena ročnost nije duža od 3650 dana i da ugovorom o kreditu kod kojeg je promenjen datum dospeća poslednje rate nije odobren dodatni iznos kredita u periodu od 19. marta 2020. godine do konačne otplate po tom ugovoru.
Na potraživanja po osnovu kredita koji su odobreni pod uslovima iz st. 5. i 6. ove tačke ne primenjuje se odbitna stavka iz tačke 13. stav 1. odredba pod 13) ove odluke.
Za potrebe obračuna odbitnih stavki iz tačke 13. stav 1. odredbe pod 14) i 15) ove odluke, period u kojem je tekao moratorijum po osnovu odobrenih kredita iz tih odredaba - ne uključuje se u broj dana ugovorene ročnosti za potrebe primene ovih odredaba.
Pod moratorijumom iz stava 8. ove tačke podrazumeva se zastoj u otplati obaveza u skladu sa odredbama odluke kojom su uređene privremene mere za očuvanje stabilnosti finansijskog sistema u Republici Srbiji u uslovima pandemije izazvane COVID-19.
13v. Odbitne stavke iz tačke 13. stav 1. odredbe 13) do 15) ove odluke ne primenjuju se na potraživanje koje je restrukturirano u skladu sa odlukom kojom se uređuje klasifikacija bilansne aktive i vanbilansnih stavki banke, ako su ispunjeni sledeći uslovi:
1) potraživanje iz ove tačke nastalo je po osnovu odobrenih kredita iz tačke 13. stav 1. odredbe 13) do 15) ove odluke na koje nije primenjena odbitna stavka iz tih odredaba;
2) restrukturiranje se sprovodi na osnovu ponude banke, u skladu s njenim unutrašnjim aktima, odnosno na osnovu obrazloženog zahteva dužnika nakon kojeg je banka ocenila da postoje činjenice i posebne okolnosti koje su uticale na pogoršanje finansijskog položaja dužnika i time na mogućnost da on uredno izmiruje svoje obaveze prema banci;
3) restrukturiranjem se ne uvećava preostali neotplaćeni iznos kredita;
4) nakon restrukturiranja ugovorena ročnost nije duža od 3285 dana za kredite iz tačke 13. stav 1. odredba pod 14) ove odluke, odnosno nije duža od 4015 dana za kredite iz odredbe pod 15) tog stava;
5) potraživanje nije prethodno restrukturirano u skladu sa odredbama ove tačke.
Uslovi otplate potraživanja ugovoreni odobravanjem restrukturiranja iz stava 1. ove tačke ne mogu biti nepovoljniji za dužnika u odnosu na prvobitno, odnosno ranije ugovorene uslove.
14. Iznos odloženih poreskih sredstava iz tačke 13. stav 1. odredba pod 3) ove odluke može se umanjiti za iznos povezanih odloženih poreskih obaveza banke samo ako banka ima pravo da u skladu s propisima izvrši prebijanje tekućih poreskih sredstava s tekućim poreskim obavezama i ako se odložena poreska sredstva i odložene poreske obaveze odnose na poreze koje su nametnule iste poreske vlasti u vezi s istim poreskim obveznikom.
Povezane odložene poreske obaveze banke iz stava 1. ove tačke ne obuhvataju odložene poreske obaveze koje smanjuju iznos nematerijalnih ulaganja i imovine u penzijskom fondu iz tačke 13. stav 1. odredbe pod 2) i 5) ove odluke.
Umanjenje iz stava 1. ove tačke vrši se tako što se odložena poreska sredstva formirana u toku godine koja zavise od buduće profitabilnosti banke i proizlaze iz privremenih razlika, a ne odbijaju se od osnovnog akcijskog kapitala u skladu s tačkom 21. ove odluke, odnosno sva ostala odložena poreska sredstva koja zavise od buduće profitabilnosti, umanje za iznos povezanih odloženih poreskih obaveza iz tog stava srazmerno učešću ovih sredstava u ukupnim odloženim poreskim sredstvima koja zavise od buduće profitabilnosti.
15. Izuzetno od tačke 13. stav 1. odredba pod 3) ove odluke, sledeće stavke se ne odbijaju od kapitala, već se uključuju u obračun rizikom ponderisanih izloženosti u skladu sa glavom IV odeljak 1, odnosno odeljak 2. ove odluke:
1) iznos više plaćenog poreza banke za tekuću godinu;
2) gubici utvrđeni u poreskom bilansu banke za tekuću godinu koji su preneti na prethodne godine, po osnovu kojih proističe potraživanje prema nadležnom poreskom telu, ako je to primenljivo u skladu s poreskim propisima.
Odloženim poreskim sredstvima koja ne zavise od buduće profitabilnosti banke smatraju se odložena poreska sredstva koja proističu iz privremenih razlika ako su ispunjeni sledeći uslovi:
1) automatski, obavezno i bez odlaganja se zamenjuju poreskim kreditom u slučaju da banka iskaže gubitak u usvojenim finansijskim izveštajima, odnosno u slučaju likvidacije ili stečaja banke;
2) banka ima pravo da u skladu sa merodavnim poreskim zakonodavstvom izvrši prebijanje poreskog kredita iz odredbe pod 1) ovog stava sa bilo kojom poreskom obavezom banke ili bilo kog drugog privrednog društva koje je uključeno u istu konsolidaciju za poreske svrhe u skladu sa tim zakonodavstvom ili bilo kog drugog lica koje je uključeno u konsolidaciju za potrebe kontrole bankarske grupe na konsolidovanoj osnovi koju vrši Narodna banka Srbije;
3) kada je iznos poreskog kredita iz odredbe pod 2) ovog stava veći od poreskih obaveza iz te tačke, taj višak se bez odlaganja zamenjuje direktnim potraživanjem od Republike Srbije.
Banka odloženim poreskim sredstvima koja ispunjavaju uslove iz stava 2. ove tačke dodeljuje ponder rizika od 100%.
16. Iznos koji se odbija u skladu s tačkom 13. stav 1. odredba pod 4) ove odluke ne može se umanjiti za iznos povećanja odloženih poreskih sredstava koja zavise od buduće profitabilnosti banke ili drugih dodatnih poreskih efekata do kojih bi moglo doći ako bi relevantna rezervisanja dostigla nivo očekivanih gubitaka iz Glave IV Odeljak 2. pododeljak 6. ove odluke.
17. Za potrebe tačke 13. stav 1. odredba pod 5) ove odluke, iznos imovine u penzijskom fondu sa definisanim naknadama koji se odbija od osnovnog akcijskog kapitala banke umanjuje se za:
1) iznos bilo kojih povezanih odloženih poreskih obaveza koje bi prestale da postoje kada bi imovina bila obezvređena ili kada bi prestala da se priznaje u skladu sa MSFI/MRS;
2) iznos imovine u penzijskom fondu sa definisanim naknadama koju banka može neograničeno da koristi.
Imovinu iz stava 1. odredba pod 2) ove tačke, banka uključuje u obračun rizikom ponderisanih izloženosti u skladu sa glavom IV odeljak 1, odnosno odeljak 2. ove odluke.
18. Za potrebe tačke 13. stav 1. odredba pod 6) ove odluke, banka je dužna da ulaganja u sopstvene instrumente osnovnog akcijskog kapitala obračunava na osnovu bruto dugih pozicija, uz sledeće izuzetke:
1) banka može da obračunava iznos ulaganja u sopstvene instrumente osnovnog akcijskog kapitala na osnovu neto duge pozicije ako su duge i kratke pozicije u istoj odnosnoj izloženosti, a po osnovu kratkih pozicija banka nije izložena riziku druge ugovorne strane, pri čemu su i duge i kratke pozicije raspoređene u knjigu trgovanja ili su i duge i kratke pozicije raspoređene u bankarsku knjigu;
2) u slučaju ulaganja u sopstvene instrumente osnovnog akcijskog kapitala uključene u berzanske indekse, iznos koji je potrebno oduzeti od osnovnog akcijskog kapitala izračunava se na osnovu odnosne izloženosti u sopstvenim instrumentima osnovnog akcijskog kapitala u tim indeksima;
3) banke mogu da netiraju bruto duge pozicije u sopstvenim instrumentima osnovnog akcijskog kapitala koji su uključeni u berzanske indekse, sa kratkim pozicijama u sopstvenim instrumentima osnovnog akcijskog kapitala u tim indeksima uključujući i situacije kada je banka po osnovu tih kratkih pozicija izložena riziku druge ugovorne strane, ako su i duge i kratke pozicije u istim odnosnim indeksima i raspoređene u knjigu trgovanja ili su i duge i kratke pozicije raspoređene u bankarsku knjigu.
19. Za potrebe tačke 13. stav 1. odredbe pod 7), 8) i 9) ove odluke, ulaganja u instrumente osnovnog akcijskog kapitala i druge instrumente kapitala lica u finansijskom sektoru obračunavaju se na osnovu bruto dugih pozicija.
Za potrebe stava 1. ove tačke, ulaganja u elemente osnovnog kapitala društava za osiguranje smatraju se ulaganjima u instrumente osnovnog akcijskog kapitala.
Izuzetno od stava 1. ove tačke, banka može da ulaganja iz tačke 13. stav 1. odredbe pod 8) i 9) ove odluke obračunava na osnovu neto duge pozicije u istoj odnosnoj izloženosti ako se rok dospeća kratkih pozicija poklapa sa rokom dospeća dugih pozicija ili je preostali rok dospeća kratke pozicije najmanje godinu dana, pri čemu su i duge i kratke pozicije raspoređene u knjigu trgovanja ili su i duge i kratke pozicije raspoređene u bankarsku knjigu.
Rok dospeća kratkih pozicija poklapa sa rokom dospeća dugih pozicija u smislu stava 3. ove tačke i ako banka ima ugovorno pravo da na određeni datum u budućnosti proda dugu poziciju koja je predmet zaštite drugoj ugovornoj strani koja obezbeđuje zaštitu, a ta strana ima obavezu da od banke na taj datum kupi tu dugu poziciju.
Kod ulaganja u instrumente iz stava 1. ove tačke koji su uključeni u berzanske indekse, iznos koji je potrebno oduzeti od osnovnog akcijskog kapitala izračunava se na osnovu odnosne izloženosti u instrumentima kapitala lica u finansijskom sektoru u tim indeksima.
Ukupan iznos bruto dugih pozicija iz stava 1. ove tačke može se umanjiti za deo kratke pozicije u indeksu koji se odnosi na iste odnosne izloženosti koje su predmet zaštite, a koja služi za zaštitu te duge pozicije, pod uslovom da banka obe pozicije vrednuje po fer vrednosti, da dugu poziciju koja je predmet zaštite i kratku poziciju u indeksu koja služi za zaštitu te duge pozicije drži u knjizi trgovanja ili ih obe drži u bankarskoj knjizi, kao i da kratke pozicije ispunjavaju uslove za delotvornu zaštitu u skladu sa njenim unutrašnjim aktima kojima se uređuje sistem unutrašnjih kontrola.
20. Iznos odbitne stavke iz tačke 13. stav 1. odredba pod 8) ove odluke dobija se tako što se iznos za koji direktna, indirektna i sintetička ulaganja banke u instrumente osnovnog akcijskog kapitala, dodatnog osnovnog kapitala i dopunskog kapitala lica u finansijskom sektoru u kojima banka nema značajno ulaganje prelaze 10% prilagođenog osnovnog akcijskog kapitala banke - pomnoži sa procentualno izraženim odnosom direktnih, indirektnih i sintetičkih ulaganja banke u instrumente osnovnog akcijskog kapitala lica u finansijskom sektoru u kojima banka nema značajno ulaganje i ukupnih direktnih, indirektnih i sintetičkih ulaganja u instrumente kapitala tih lica. Iz navedenog obračuna isključuju se izloženosti koje nastaju po osnovu pokroviteljstva emisije hartija od vrednosti koje se drže tokom pet radnih dana ili kraće.
Iznos prilagođenog osnovnog akcijskog kapitala banke iz stava 1. ove tačke dobija se kada se zbir elemenata iz tačke 7. ove odluke prilagodi za iznos regulatornih prilagođavanja iz tač. 11. i 12. ove odluke, kada se svi ostali nerealizovani dobici ili gubici po osnovu imovine i obaveza merenih po fer vrednosti, osim onih navedenih u tim tačkama, uključe u obračun osnovnog akcijskog kapitala i kada se od osnovnog akcijskog kapitala oduzmu odbitne stavke iz tačke 13. stav 1. odredbe 1) do 7), odredba 11) alineja od druge do pete i odredbe 12) do 17) ove odluke, osim iznosa koji se od osnovnog akcijskog kapitala oduzima po osnovu odloženih poreskih sredstava koji zavisi od buduće profitabilnosti i proističe iz privremenih razlika, uzimajući u obzir pravila iz tačke 19. ove odluke.
Banka iznos koji se odbija u skladu sa stavom 1. ove tačke raspoređuje na sve instrumente osnovnog akcijskog kapitala u koje je uložila, množenjem tog iznosa sa učešćem iznosa svakog instrumenta osnovnog akcijskog kapitala koji banka drži u zbirnom iznosu direktnih, indirektnih i sintetičkih ulaganja banke u instrumente osnovnog akcijskog kapitala lica u finansijskom sektoru u kojima banka nema značajno ulaganje.
Banka iznos ulaganja u instrumente osnovnog akcijskog kapitala lica u finansijskom sektoru u kojima banka nema značajno ulaganje koji je jednak ili manji od 10% prilagođenog osnovnog akcijskog kapitala banke, iz stava 2. ove tačke, ne odbija od osnovnog akcijskog kapitala, već mu dodeljuje odgovarajući ponder rizika.
Banka utvrđuje iznos svakog instrumenta osnovnog akcijskog kapitala kojem se dodeljuje ponder rizika, u skladu sa stavom 4. ove tačke, množenjem iznosa ulaganja kojima se dodeljuje ponder rizika iz stava 4. ove tačke sa učešćem iznosa svakog instrumenta osnovnog akcijskog kapitala koji banka drži u zbirnom iznosu direktnih, indirektnih i sintetičkih ulaganja banke u instrumente osnovnog akcijskog kapitala lica u finansijskom sektoru u kojima banka nema značajno ulaganje.
21. Prilikom utvrđivanja odbitnih stavki iz tačke 13. stav 1. odredbe pod 3) i 9) ove odluke, banka nije dužna da od osnovnog akcijskog kapitala odbija iznos stavki iz odredbe pod 1) i 2) ovog stava, koji je u zbiru jednak ili manji od iznosa limita iz stava 3. ove tačke:
1) odložena poreska sredstava koja zavise od buduće profitabilnosti i proističu iz privremenih razlika u iznosu koji je manji ili jednak od 10% osnovnog akcijskog kapitala banke iz stava 2. ove tačke;
2) ako banka ima značajno ulaganje u lice u finansijskom sektoru, direktna, indirektna i sintetička ulaganja banke u instrumente osnovnog akcijskog kapitala tih lica u iznosu koji je manji ili jednak od 10% osnovnog akcijskog kapitala banke iz stava 2. ove tačke.
Iznos osnovnog akcijskog kapitala banke iz stava 1. ove tačke dobija se kada se zbir elemenata iz tačke 7. ove odluke prilagodi za iznos regulatornih prilagođavanja iz tač. 11. i 12. ove odluke, kada se svi ostali nerealizovani dobici ili gubici po osnovu imovine i obaveza merenih po fer vrednosti, osim onih navedenih u tim tačkama, uključe u obračun osnovnog akcijskog kapitala i kada se od osnovnog akcijskog kapitala oduzmu odbitne stavke iz tačke 13. stav 1. odredbe 1) do 8), odredba 11) alineja od druge do pete i odredbe 12) do 17) ove odluke, osim iznosa koji se od osnovnog akcijskog kapitala oduzima po osnovu odloženih poreskih sredstava koji zavisi od buduće profitabilnosti i proističe iz privremenih razlika.
Iznos limita iz stava 1. ove tačke izračunava se tako što se iznos stavki osnovnog akcijskog kapitala koji preostane nakon umanjenja za regulatorna prilagođavanja i odbitne stavke u skladu s tač. 11. do 13. ove odluke u potpunosti i bez primene limita iz ove tačke, pomnoži sa 17,65%.
Za potrebe primene ove tačke, banka utvrđuje procenat odloženih poreskih sredstava u ukupnom iznosu stavki za koje ne postoji obaveza da se odbijaju kao količnik iznosa iz odredaba pod 1) i 2) ovog stava:
1) iznos odloženih poreskih sredstava koji zavisi od buduće profitabilnosti i proističe iz privremenih razlika, a u zbiru je jednak ili manji od 10% elemenata osnovnog akcijskog kapitala banke;
2) zbira iznosa iz odredbe pod 1) ovog stava i iznosa direktnih, indirektnih i sintetičkih ulaganja banke u instrumente kapitala lica u finansijskom sektoru u kojima banka ima značajno ulaganje koja su u zbiru manja ili jednaka od 10% elemenata osnovnog akcijskog kapitala banke.
Procenat značajnih ulaganja u ukupnom iznosu stavki za koje ne postoji obaveza da se odbijaju, u skladu sa stavom 1. ove tačke, iznosi jedan umanjen za procenat iz stava 4. ove tačke.
Banka iznosu stavki koje se ne odbijaju u skladu sa stavom 1. ove tačke dodeljuje ponder rizika 250%.
DODATNI OSNOVNI KAPITAL
Elementi dodatnog osnovnog kapitala
22. Dodatni osnovni kapital banke čini zbir sledećih elemenata umanjen za odbitne stavke iz tačke 26. ove odluke:
1) akcija i drugih instrumenata kapitala koji ispunjavaju uslove iz tačke 23. ove odluke (u daljem tekstu: instrumenti dodatnog osnovnog kapitala);
2) pripadajuće emisione premije uz instrumente iz odredbe pod 1) ovog stava, tj. iznosa uplaćenog iznad nominalne vrednosti tih instrumenata.
Instrumenti iz stava 1. odredba pod 1) ove tačke koje banka uključi u obračun dodatnog osnovnog kapitala ne mogu se istovremeno uključiti u obračun osnovnog akcijskog kapitala ili dopunskog kapitala banke.
23. Instrumenti dodatnog osnovnog kapitala uključuju se u obračun dodatnog osnovnog kapitala ako ispunjavaju sledeće uslove:
1) instrumenti su uplaćeni i banka nije neposredno ili posredno finansirala njihovu kupovinu;
2) instrumente nisu kupili banka niti njeno podređeno društvo u smislu zakona kojim se uređuje poslovanje banaka;
3) u slučaju stečaja banke, pravo vlasnika instrumenata na učešće u raspodeli stečajne mase podređeno je pravu imalaca instrumenata dopunskog kapitala banke;
4) instrumenti nisu obezbeđeni, niti su za njih banka, njeno podređeno društvo, matično društvo banke i njegova podređena društva, član bankarske grupe kojoj banka pripada ili drugo lice povezano sa ovim licima izdali garanciju kojom se poboljšava redosled naplate potraživanja po osnovu instrumenata;
5) na instrumente se ne primenjuje nijedan sporazum kojim se poboljšava redosled naplate potraživanja po osnovu instrumenata u slučaju stečaja ili likvidacije banke;
6) instrumenti nemaju određen rok dospeća, a odredbe unutrašnjih akata banke i odluka o izdavanju tih instrumenata ne sadrže podsticaje da ih banka otkupi;
7) ako instrumenti sadrže opciju otkupa, ta opcija se može aktivirati samo na osnovu diskrecione odluke izdavaoca;
8) nominalna vrednost, odnosno glavnica instrumenta se može smanjiti, instrumenti se mogu otkupiti ili otplatiti samo uz prethodnu saglasnost Narodne banke Srbije, u skladu s tačkom 32. ove odluke, i to ne pre isteka pet godina od dana izdavanja, osim ako su ispunjeni uslovi iz stava 7. te tačke;
9) odredbe unutrašnjih akata banke i odluka o izdavanju tih instrumenata ne sadrže izričitu ili implicitnu mogućnost smanjenja nominalne vrednosti, odnosno glavnice, otkupa ili otplate instrumenata i banka ne ističe tu mogućnost ni na koji drugi način pre izdavanja instrumenata, osim u slučaju primene mera otpisa i konverzije kapitala ili instrumenta restrukturiranja u skladu sa zakonom kojim se uređuju banke, odnosno u slučaju stečaja ili likvidacije banke ili na osnovu odluke banke iz odredbe pod 8) ovog stava uz prethodnu saglasnost Narodne banke Srbije;
10) banka ni na koji način ne ukazuje na to da će Narodna banka Srbije dati saglasnost na smanjenje nominalne vrednosti, odnosno glavnice, otkup ili otplatu instrumenata;
11) ispunjeni su sledeći uslovi u vezi sa raspodelom po osnovu instrumenata:
- raspodela imaocima instrumenata može da se vrši samo iz sredstava raspoloživih za te namene,
- visina raspodele ne zavisi od kreditne sposobnosti banke ili njenog matičnog društva,
- odredbe unutrašnjih akata banke i odluka o izdavanju tih instrumenata daju diskreciono pravo banci da u svakom trenutku odustane od raspodele na neograničeno vreme i bez naknadnih obaveza u vezi s tom raspodelom, te da sredstva koja nije raspodelila koristi bez ograničenja za izmirenje svojih obaveza,
- nevršenje raspodele ne dovodi do nastupanja statusa neizmirenja obaveza banke,
- odustanak od raspodele ne prouzrokuje nikakve posledice za banku;
12) instrumenti nisu od značaja za utvrđivanje visine imovine i obaveza banke u postupku utvrđivanja ispunjenosti uslova za pokretanje postupka stečaja nad bankom;
13) odredbe unutrašnjih akata banke i odluka o izdavanju tih instrumenata propisuju da će se nominalna vrednost, odnosno glavnica instrumenata privremeno ili trajno, delimično ili u celosti otpisati ili će se instrumenti konvertovati u instrumente osnovnog akcijskog kapitala, po nastupanju aktivirajućeg događaja;
14) odredbe unutrašnjih akata banke i odluka o izdavanju tih instrumenata ne sadrže pravila koja mogu otežati dokapitalizaciju banke, što uključuje odredbe kojima se od banke zahteva da plati nadoknadu postojećim imaocima instrumenata kapitala u slučaju da izda novi instrument kapitala;
15) ako instrumente nije izdala direktno banka, izdavalac mora biti lice koje je zajedno sa bankom uključeno u konsolidaciju za potrebe kontrole bankarske grupe na konsolidovanoj osnovi koju vrši Narodna banka Srbije, a sredstva po osnovu izdavanja instrumenata moraju biti dostupna banci odmah i bez ograničenja u smislu ispunjenosti uslova iz ovog stava.
Smatraće se da uslovi iz stava 1. odredbe pod 11) alineja peta i odredbe pod 14) ove tačke nisu ispunjeni, između ostalog, ako odredbe unutrašnjih akata banke i odluka o izdavanju instrumenata propisuju jednu od sledećih obaveza banke:
1) da raspodelu po osnovu ovih instrumenata izvrši ako vrši raspodelu po osnovu instrumenata istog ili nižeg redosleda naplate, uključujući i instrumente osnovnog akcijskog kapitala banke;
2) da otkaže raspodelu po osnovu instrumenata osnovnog akcijskog kapitala, drugih instrumenata dodatnog osnovnog kapitala ili dopunskog kapitala ako ne vrši i raspodelu po osnovu ovih instrumenata dodatnog osnovnog kapitala;
3) da isplatu kamate ili dividende zameni isplatom u nekom drugom obliku.
Način sprovođenja stava 1. odredbe pod 1), 6) i 15) ove tačke Narodna banka Srbije propisuje uputstvom.
24. Smatra se da je do aktivirajućeg događaja iz tačke 23. stav 1. odredba pod 13) ove odluke došlo ako pokazatelj adekvatnosti osnovnog akcijskog kapitala banke iz tačke 3. stav 1. odredba pod 1) ove odluke padne ispod nivoa od 5,125% rizične aktive, odnosno višeg nivoa utvrđenog od strane banke i predviđenog u odredbama unutrašnjih akata banke i odlukom o izdavanju tih instrumenata, pri čemu je banka dužna da bez odlaganja utvrdi da je došlo do aktivirajućeg događaja kada nastaje neopoziva obaveza banke da izvrši otpis nominalne vrednosti, odnosno glavnice instrumenata dodatnog osnovnog kapitala ili njihovu konverziju u instrumente osnovnog akcijskog kapitala.
Banka može da, pored događaja iz stava 1. ove tačke, odredi i druge događaje kao aktivirajuće događaje iz tačke 23. stav 1. odredba pod 13) ove odluke.
Po nastupanju aktivirajućeg događaja, banka instrumente dodatnog osnovnog kapitala otpisuje ili konvertuje u instrumente osnovnog akcijskog kapitala u iznosu potrebnom za ponovno uspostavljanje pokazatelja adekvatnosti osnovnog akcijskog kapitala banke na nivou od 5,125%, ili u ukupnom iznosu nominalne vrednosti, odnosno glavnice tih instrumenata, u zavisnosti od toga koji je iznos manji.
Kada je odredbama unutrašnjih akata banke i odlukom o izdavanju instrumenata dodatnog osnovnog kapitala predviđeno njihovo konvertovanje u instrumente osnovnog akcijskog kapitala banke po nastupanju aktivirajućeg događaja, banka je dužna da u tim odredbama bliže utvrdi stopu po kojoj se ta konverzija vrši i ograničenje iznosa dozvoljene konverzije ili raspon u kojem se ti instrumenti konvertuju u instrumente osnovnog akcijskog kapitala.
Kada je odredbama unutrašnjih akata banke i odlukom o izdavanju tih instrumenata predviđen otpis njihove nominalne vrednosti, odnosno glavnice po nastupanju aktivirajućeg događaja, tim otpisom smanjuju se i iznos raspodele koja se vrše po osnovu ovog instrumenta, iznos koji banka plaća u slučaju njegovog otkupa, kao i potraživanje imaoca instrumenta prilikom primene mera otpisa i konverzije kapitala ili instrumenata restrukturiranja u smislu zakona kojim se uređuju banke, odnosno stečaja ili likvidacije banke.
Za potrebe sprovođenja otpisa ili konverzije instrumenta dodatnog osnovnog kapitala usled nastupanja aktivirajućeg događaja, banka može izdati samo instrumente koji se mogu uključiti u obračun njenog osnovnog akcijskog kapitala.
Iznos instrumenata dodatnog osnovnog kapitala koji se može uključiti u obračun tog kapitala ograničen je na minimalni iznos elemenata osnovnog akcijskog kapitala koji bi nastali da je nominalna vrednost, odnosno glavnica instrumenata dodatnog osnovnog kapitala u potpunosti otpisana ili konvertovana u instrumente osnovnog akcijskog kapitala.
Po nastupanju aktivirajućeg događaja, banka je dužna da o tom događaju odmah obavesti Narodnu banku Srbije i imaoce instrumenata dodatnog osnovnog kapitala, kao i da utvrdi iznos otpisa ili konverzije ovih instrumenata u instrumente osnovnog akcijskog kapitala i da taj postupak sprovede bez odlaganja, a najkasnije u roku od mesec dana od dana nastupanja tog događaja. Narodna banka Srbije može skratiti ovaj rok ako proceni da je iznos koji je potrebno otpisati ili konvertovati sa sigurnošću utvrđen ili da je otpis ili konverziju potrebno izvršiti u kraćem roku.
Banka koja izdaje instrumente dodatnog osnovnog kapitala koji se mogu konvertovati u instrumente osnovnog akcijskog kapitala dužna je da broj instrumenata osnovnog akcijskog kapitala čije je izdavanje odobreno održava na nivou koji bi bio potreban za efikasno sprovođenje konverzije svih konvertibilnih instrumenata dodatnog osnovnog kapitala u slučaju aktivirajućeg događaja, kao i da sva odobrenja potrebna za sprovođenje te konverzije pribavi najkasnije do dana izdavanja tih instrumenata i da njima raspolaže u svakom trenutku.
Način sprovođenja odredaba odluke koje se odnose na otpis glavnice instrumenata dodatnog osnovnog kapitala po nastupanju aktivirajućeg događaja Narodna banka Srbije propisuje uputstvom.
25. Ako instrumenti dodatnog osnovnog kapitala banke prestanu da ispunjavaju uslove iz tačke 23. ove odluke, banka je dužna da te instrumente, kao i emisionu premiju koja se odnosi na te instrumente bez odlaganja isključi iz obračuna dodatnog osnovnog kapitala.
Odbitne stavke od dodatnog osnovnog kapitala banke
26. Odbitne stavke od dodatnog osnovnog kapitala banke su:
1) direktna, indirektna i sintetička ulaganja banke u sopstvene instrumente dodatnog osnovnog kapitala, uključujući instrumente koje je banka dužna da otkupi na osnovu postojeće ugovorne obaveze;
2) direktna, indirektna i sintetička ulaganja banke u instrumente dodatnog osnovnog kapitala lica u finansijskom sektoru koja imaju uzajamna ulaganja u banci koja su izvršena radi prikazivanja većeg iznosa kapitala banke;
3) primenljivi iznos direktnih, indirektnih i sintetičkih ulaganja banke u instrumente dodatnog osnovnog kapitala lica u finansijskom sektoru u kojima banka nema značajno ulaganje;
4) direktna, indirektna i sintetička ulaganja banke u instrumente dodatnog osnovnog kapitala lica u finansijskom sektoru u kojima banka ima značajno ulaganje, isključujući pozicije po osnovu vršenja pokroviteljstva emisije hartija od vrednosti koje se drže pet radnih dana ili kraće;
5) iznos za koji odbitne stavke od dopunskog kapitala banke premašuju iznos dopunskog kapitala banke;
6) iznos svih poreza u vezi sa elementima dodatnog osnovnog kapitala koji se može predvideti u vreme obračuna kapitala, osim ako je banka prethodno korigovala iznos tih elemenata - u iznosu u kojem ti porezi umanjuju iznos do kojeg se elementi dodatnog osnovnog kapitala banke mogu koristiti za pokriće rizika ili gubitaka.
Odbitne stavke iz stava 1. odredbe 1) do 4) ove tačke banka obračunava shodnom primenom tač. 18. do 20. ove odluke na ulaganja u instrumente dodatnog osnovnog kapitala.
Način izračunavanja odbitnih stavki iz stava 1. odredbe 1) do 4) i odredbe pod 6) ove tačke, Narodna banka Srbije propisuje uputstvom.
DOPUNSKI KAPITAL
27. Dopunski kapital banke čini zbir sledećih elemenata, umanjen za odbitne stavke iz tačke 30. ove odluke:
1) akcija i drugih instrumenata dopunskog kapitala (u daljem tekstu: instrumenti dopunskog kapitala) i obaveza po subordiniranim kreditima i zajmovima (u daljem tekstu: subordinirane obaveze), koji ispunjavaju uslove iz tačke 28. ove odluke;
2) pripadajuće emisione premije uz instrumente iz odredbe pod 1) ovog stava, tj. iznosa uplaćenog iznad nominalne vrednosti tih instrumenata;
3) opštih prilagođavanja za kreditni rizik koja nisu umanjena za poreske efekte, u visini od najviše 1,25% iznosa rizikom ponderisanih izloženosti za kreditni rizik - za banke koje taj iznos obračunavaju primenom standardizovanog pristupa u skladu sa Odeljkom 1. Glave IV ove odluke;
4) pozitivan iznos dobijen obračunom u skladu s tačkom 134. ove odluke koji nije umanjen za poreske efekte, u visini od najviše 0.6% iznosa rizikom ponderisanih izloženosti za kreditni rizik - za banke koje taj iznos obračunavaju primenom IRB pristupa uz prethodnu saglasnost Narodne banke Srbije, u skladu sa Odeljkom 2. Glave IV ove odluke.
Instrumenti iz stava 1. odredba pod 1) ove tačke koje banka uključi u obračun dopunskog kapitala ne mogu se istovremeno uključiti u obračun osnovnog akcijskog kapitala ili dodatnog osnovnog kapitala banke.
28. Instrumenti dopunskog kapitala banke i subordinirane obaveze uključuju se u obračun dopunskog kapitala banke ako ispunjavaju sledeće uslove:
1) instrumenti su izdati i uplaćeni u celosti, odnosno subordinirane obaveze su uplaćene u celosti;
2) instrumenti nisu kupljeni od strane banke ili njenog podređenog društva, odnosno poverilac po osnovu subordinirane obaveze nije banka ili podređeno društvo banke;
3) banka nije neposredno ili posredno finansirala kupovinu instrumenata niti subordiniranu obavezu;
4) potraživanja po osnovu nominalne vrednosti, odnosno glavnice instrumenata, odnosno potraživanja po osnovu glavnice subordiniranih obaveza u celosti su podređena potraživanjima svih nesubordiniranih poverilaca, u skladu sa odredbama unutrašnjih akata banke i odluke o izdavanju tih instrumenata, odnosno odredaba drugih akata kojima se uređuju subordinirane obaveze;
5) instrumenti, odnosno subordinirane obaveze nisu obezbeđeni niti su za njih banka, njeno podređeno društvo, matično društvo banke i njegova podređena društva, član bankarske grupe kojoj banka pripada ili drugo lice povezano sa ovim licima izdali garanciju kojom se poboljšava redosled naplate potraživanja po osnovu ovih instrumenata, odnosno obaveza;
6) na instrumente, odnosno subordinirane obaveze se ne primenjuje nijedan sporazum kojim se poboljšava redosled naplate potraživanja po osnovu ovih instrumenata, odnosno obaveza;
7) instrumenti, odnosno subordinirane obaveze imaju ugovoreni prvobitni rok dospeća od najmanje pet godina;
8) odredbe unutrašnjih akata banke i odluke o izdavanju tih instrumenata, odnosno odredbe drugih akata kojima se uređuju subordinirane obaveze ne sadrže podsticaj da ih banka otkupi ili otplati glavnicu pre njihovog roka dospeća;
9) ako instrumenti, odnosno subordinirane obaveze sadrže opciju za otkup ili prevremenu otplatu, ta opcija se može izvršiti isključivo na osnovu diskrecione odluke izdavaoca, odnosno dužnika;
10) nominalna vrednost, odnosno glavnica instrumenata, odnosno glavnica subordinirane obaveze, može da se smanji ili prevremeno otplati i instrumenti mogu da se otkupe ili otplate samo uz prethodnu saglasnost Narodne banke Srbije, u skladu s tačkom 32. ove odluke i to najranije pet godina od dana izdavanja, odnosno uplate, osim ako su ispunjeni uslovi iz stava 7. te tačke;
11) odredbe unutrašnjih akata banke i odluke o izdavanju tih instrumenata, odnosno odredbe drugih akata kojima se uređuju subordinirane obaveze ne sadrže izričitu ili implicitnu mogućnost smanjenja, otkupa ili otplate ovih instrumenata, odnosno ovih obaveza, osim u slučaju otpisa i konverzije kapitala ili primene instrumenta restrukturiranja u skladu sa zakonom kojim se uređuju banke, odnosno u slučaju stečaja ili likvidacije banke, a banka ne ističe tu mogućnost ni na koji drugi način;
12) odredbe unutrašnjih akata banke i odluka o izdavanju tih instrumenata, odnosno odredbe drugih akata kojima se uređuju subordinirane obaveze, njihovim imaocima, odnosno poveriocima ne daju pravo da ubrzaju buduće isplate kamate, odnosno glavnice;
13) iznos kamate, odnosno dividende koji se plaća po instrumentima, odnosno subordiniranim obavezama ne zavisi od kreditne sposobnosti banke ili njenog matičnog društva;
14) ako instrumente nije izdala, odnosno subordiniranu obavezu nije odobrila direktno banka, izdavalac, odnosno primalac sredstava mora biti lice koje je zajedno sa bankom uključeno u konsolidaciju za potrebe kontrole bankarske grupe na konsolidovanoj osnovi koju vrši Narodna banka Srbije, a sredstva po ovim osnovima moraju biti dostupna banci odmah i bez ograničenja, na način propisan u ovom stavu.
Iznos u kojem se instrumenti dopunskog kapitala, odnosno subordinirane obaveze uključuju u obračun dopunskog kapitala banke tokom poslednjih pet godina pre roka njihovog dospeća dobija se tako što se količnik njihove nominalne vrednosti, odnosno glavnice, na prvi dan poslednjeg petogodišnjeg perioda pre roka dospeća i broja kalendarskih dana u tom periodu pomnoži sa brojem preostalih kalendarskih dana do dospeća instrumenata ili subordiniranih obaveza, na dan vršenja obračuna.
Način sprovođenja stava 1. ove tačke Narodna banka Srbije propisuje uputstvom.
29. Ako instrumenti dopunskog kapitala banke, odnosno subordinirane obaveze prestanu da ispunjavaju uslove iz tačke 28. ove odluke, banka je dužna da te instrumente, odnosno obaveze, kao i emisionu premiju koja se odnosi na te instrumente bez odlaganja isključi iz obračuna dopunskog kapitala.
Odbitne stavke od dopunskog kapitala
30. Odbitne stavke od dopunskog kapitala su:
1) direktna, indirektna i sintetička ulaganja banke u sopstvene instrumente dopunskog kapitala i subordinirane obaveze, uključujući instrumente koje je banka dužna da otkupi na osnovu postojeće ugovorne obaveze;
2) direktna, indirektna i sintetička ulaganja banke u instrumente dopunskog kapitala i subordinirane obaveze lica u finansijskom sektoru koja imaju uzajamna ulaganja u banci koja su izvršena radi prikazivanja većeg iznosa kapitala banke;
3) primenljivi iznos direktnih, indirektnih i sintetičkih ulaganja u instrumente dopunskog kapitala i subordinirane obaveze lica u finansijskom sektoru u kojima banka nema značajno ulaganje;
4) direktna, indirektna i sintetička ulaganja banke u instrumente dopunskog kapitala i subordinirane obaveze lica u finansijskom sektoru u kojima banka ima značajno ulaganje, isključujući pozicije po osnovu vršenja pokroviteljstva emisije hartija od vrednosti koje se drže pet radnih dana ili kraće.
Odbitne stavke iz stava 1. ove tačke banka obračunava shodnom primenom tačke tač. 18. do 20. ove odluke na ulaganja u instrumente dopunskog kapitala i subordinirane obaveze iz tog stava.
Način obračuna odbitnih stavki iz stava 1. ove tačke, Narodna banka Srbije propisuje uputstvom.
UKLJUČENJE I ISKLJUČENJE INSTRUMENATA KAPITALA
31. Banka je dužna da podnese zahtev za dobijanje prethodne saglasnosti Narodne banke Srbije ako namerava da uključi u obračun osnovnog akcijskog kapitala, dodatnog osnovnog kapitala, odnosno dopunskog kapitala elemente kapitala iz tačke 7. stav 1. odredba pod 1), tačke 22. stav 1. odredba pod 1) i tačke 27. stav 1. odredba pod 1) ove odluke, uz koji dostavlja sledeću dokumentaciju:
1) dokumentaciju u vezi sa izdavanjem ovih elemenata, kao i drugu dokumentaciju kojom se dokazuje ispunjenost uslova iz tačke 8. stav 1, tačke 23. stav 1, odnosno tačke 28. stav 1. ove odluke;
2) prikaz ispunjenosti uslova iz tačke 8. stav 1, tačke 23. stav 1, odnosno tačke 28. stav 1. ove odluke, s pozivanjem na odgovarajuću dokumentaciju;
3) opis računovodstvenog tretmana ovih elemenata;
4) obračun iznosa kapitala i kapitalnih zahteva poslednjeg dana u mesecu koji prethodi podnošenju zahteva iz ovog stava, bez uključivanja ovih elemenata u taj obračun;
5) projekciju obračuna iznosa kapitala i kapitalnih zahteva za naredne tri godine, nakon uključivanja ovih elemenata u obračun.
O zahtevu iz stava 1. ove tačke Narodna banka Srbije odlučuje u roku od 60 dana od dana prijema urednog zahteva.
Ako elementi kapitala iz stava 1. ove tačke daju banci diskreciono pravo da raspodelu po osnovu tih elemenata izvrši u obliku koji ne podrazumeva isplatu novčanih sredstava ili izdavanje drugih instrumenata kapitala, pored ispunjenosti uslova iz tačke 8. stav 1, tačke 23. stav 1, odnosno tačke 28. stav 1. ove odluke, Narodna banka Srbije ceni i da li to diskreciono pravo, odnosno oblik u kojem se raspodela vrši negativno utiču na mogućnost banke da otkaže isplate po osnovu ovih elemenata, odnosno na kvalitet ovih elemenata i njihovu podobnost za pokriće gubitaka banke.
Elemente iz stava 1. ove tačke koji diskreciono pravo iz stava 3. ove tačke daju nekom drugom licu, banka ne može da uključi u obračun kapitala.
Banka može da koristi tržišni indeks koji je široko zastupljen kao jedan od osnova za određivanje nivoa raspodela po instrumentima dodatnog osnovnog kapitala i dopunskog kapitala.
Banka ne može koristiti indeks iz stava 5. ove tačke ako je ona odnosni subjekt u tom indeksu, osim ako smatra da kretanja u tom indeksu nisu značajnije povezana sa kreditnom sposobnošću banke ili njenog matičnog društva, o čemu je banka dužna da obavesti Narodnu banku Srbije.
Banka je dužna da u dokumentima kojima se bliže opisuju instrumenti kapitala i na svojoj internet prezentaciji objavi koje tržišne indekse koristi za potrebe iz stava 5. ove tačke.
Način primene tržišnog indeksa koji je široko zastupljen iz stava 5. ove tačke Narodna banka Srbije propisuje uputstvom.
Banka je dužna da, u slučaju promene uslova iz tačke 8. stav 1, tačke 23. stav 1, odnosno tačke 28. stav 1. ove odluke, o tome bez odlaganja obavesti Narodnu banku Srbije i dostavi joj odgovarajuću dokumentaciju o tim promenama.
Izuzetno od stava 1. ove tačke, ako namerava da u obračun osnovnog akcijskog kapitala uključi elemente iz tačke 7. stav 1. odredbe 4) do 6) i element iz tačke 10. stav 1. ove odluke, banka je dužna da dostavi obaveštenje Narodnoj banci Srbije najkasnije 30 dana pre dana ovog uključivanja u obračun kapitala, uz koje dostavlja sledeću dokumentaciju;
1) odluku skupštine banke o uključivanju tog elementa u obračun osnovnog akcijskog kapitala;
2) opis računovodstvenog tretmana ovog elementa;
3) obračun iznosa kapitala i kapitalnih zahteva poslednjeg dana u mesecu koji prethodi danu dostavljanja obaveštenja iz ovog stava, bez uključivanja ovih elemenata u obračun;
4) projekciju obračuna iznosa kapitala i kapitalnih zahteva za naredne tri godine, nakon uključivanja ovih elemenata u obračun.
32. Banka je dužna da podnese zahtev za dobijanje prethodne saglasnosti Narodne banke Srbije ako namerava da smanji vrednost elemenata osnovnog akcijskog kapitala iz tačke 7. stav 1. ove odluke ili ako namerava da smanji vrednost, izvrši otkup ili otplatu instrumenata dodatnog osnovnog kapitala ili instrumenata dopunskog kapitala i subordiniranih obaveza koje ulaze u obračun tog kapitala iz tačke 22. stav 1. i tačke 27. stav 1. ove odluke pre ugovorenog datuma njihovog dospeća.
Odredbe ove tačke ne primenjuju se na sticanje sopstvenih akcija banke u skladu sa zakonom kojim se uređuju banke.
Uz zahtev za dobijanje prethodne saglasnosti Narodne banke Srbije iz stava 1. ove tačke, banka je dužna da dostavi sledeću dokumentaciju:
1) informacije o konkretnim aktivnostima koje namerava da sprovede i o razlozima za njihovo sprovođenje;
2) projekciju obračuna iznosa kapitala, elemenata kapitala i kapitalnih zahteva, uključujući i zaštitnih slojeva kapitala, za naredne tri godine nakon sprovođenja tih aktivnosti, uključujući i projekciju tog obračuna pre njihovog sprovođenja i njihovom uticaju na regulatorne zahteve;
3) procenu rizika kojima je banka izložena ili može biti izložena, kao i da li je nivo njenog kapitala dovoljan za pokriće tih rizika, izvršenu u skladu s odlukom kojom se propisuje upravljanje rizicima, uključujući i rezultate dobijene po osnovu poslednjeg stres testiranja, sprovedenog u skladu s tom odlukom, koji bi ukazali na potencijalne gubitke u različitim scenarijima;
4) sve druge informacije koje Narodna banka Srbije oceni relevantnim za potrebe davanja odobrenja iz stava 1. ove tačke.
Banka je dužna da zahtev iz stava 1. ove tačke Narodnoj banci Srbije dostavi najmanje tri meseca pre nego što imaoce instrumenata osnovnog akcijskog kapitala, instrumenata dodatnog osnovnog kapitala ili instrumenata dopunskog kapitala i poverioce po subordiniranim obavezama koje ulaze u obračun tog kapitala obavesti o nameri sprovođenja aktivnosti na koje se taj zahtev odnosi, s tim što ih ne može obavestiti pre nego što dobije prethodnu saglasnost Narodne banke Srbije na sprovođenje tih aktivnosti. Banka može podneti zahtev iz stava 1. ove tačke i u roku kraćem od tri meseca, ako Narodna banka Srbije oceni da je to opravdano okolnostima u konkretnom slučaju.
O zahtevu iz stava 1. ove tačke Narodna banka Srbije odlučuje u roku od 60 dana od dana prijema urednog zahteva.
Narodna banka Srbije daće banci prethodnu saglasnost iz stava 1. ove tačke pod uslovom da:
1) pre ili istovremeno sa sprovođenjem aktivnosti iz stava 1. ove tačke, banka zamenjuje instrumente odnosno elemente iz tog stava instrumentima istog ili boljeg kvaliteta, pod uslovima koji omogućuju održanje sposobnosti banke da ostvaruje dobit, uzimajući u obzir i profitabilnost banke u uslovima stresa, i koji, gde je to primenljivo, banci ne nameću veće troškove od troškova elemenata, odnosno instrumenata koji se zamenjuju, ili
2) nakon sprovođenja aktivnosti iz stava 1. ove tačke, iznos kapitala banke i pokazatelji iz tač. 3. i 3a ove odluke ostanu iznad propisanog nivoa, uključujući zaštitne slojeve kapitala, odnosno iznad uvećanih pokazatelja određenih u skladu s tač. 5. i 5a ove odluke.
Narodna banka Srbije će dati saglasnost iz stava 1. ove tačke za smanjenje vrednosti, otkup ili otplatu instrumenata dodatnog osnovnog kapitala ili instrumenata dopunskog kapitala i subordiniranih obaveza koje ulaze u obračun tog kapitala u prvih pet godina od datuma izdavanja, odnosno uplate, samo ako je pored uslova iz stava 6. ove tačke ispunjen i jedan od sledećih uslova:
1) postoji velika verovatnoća da će doći do promene regulatornog tretmana tih instrumenata, odnosno obaveza, koja nije mogla da se predvidi u vreme njihovog izdavanja, odnosno nastanka, a zbog koje će ovi instrumenti, odnosno obaveze, verovatno biti isključeni iz obračuna kapitala ili će moći da budu uključeni samo u obračun oblika kapitala nižeg kvaliteta;
2) došlo je do promene poreskog tretmana tih instrumenata, odnosno obaveza, pri čemu je ta promena materijalno značajna i nije mogla da se predvidi u vreme izdavanja ovih instrumenata, odnosno nastanka obaveza.
RIZIKOM PONDERISANE IZLOŽENOSTI ZA KREDITNI RIZIK
33. Banka je dužna da za obračun rizikom ponderisanih izloženosti iz tačke 3. stav 2. alineje prva i šesta ove odluke koristi standardizovani pristup propisan u odeljku 1. ove glave, odnosno IRB pristup propisan u odeljku 2. ove glave, ako je za to dobila saglasnost Narodne banke Srbije, pod uslovima i na način utvrđen u toj saglasnosti.
Za izloženosti prema CCP licima kojima se trguje i izloženosti koje predstavljaju doprinose u fond za neizmirenje obaveza, banka je dužna da za obračun rizikom ponderisanih izloženosti iz stava 1. ove tačke, primenjuje pristup iz odeljka 5. pododeljak 8. ove glave. Za ostale izloženosti prema CCP licima, banka je dužna da primenjuje tretman koji važi za:
- izloženosti prema bankama, ako je reč o izloženostima prema QCCP licima,
- izloženosti prema privrednim društvima, ako CCP lice nije kvalifikovano.
Banka izloženosti prema investicionim društvima, kreditnim institucijama, klirinškim kućama i berzama iz država koje nisu članice Evropske unije u smislu ove tačke, može tretirati kao izloženosti prema bankama samo ako su propisi države porekla tih lica kojima se uređuje njihovo poslovanje, kao i nadzor nad poslovanjem tih lica, usklađeni sa odgovarajućim propisima Evropske unije.
34. Banka za izloženosti na koje primenjuje standardizovani ili FIRB pristup može koristiti instrumente kreditne zaštite u skladu sa odeljkom 3. ove glave pri obračunu rizikom ponderisanih izloženosti iz tačke 3. stav 2. alineje prva i šesta ove odluke ili, ako je to primenljivo, za izračunavanje iznosa očekivanog gubitka za potrebe obračuna kapitala u skladu s tačkom 13. stav 1. odredba pod 4) i tačkom 27. stav 1. odredba pod 4) ove odluke.
Za izloženosti na koje primenjuje AIRB pristup u skladu s tačkom 116. ove odluke, banka može koristiti instrumente kreditne zaštite u skladu sa odeljkom 2. ove glave.
35. Ako za klasu izloženosti u koju bi u skladu s tačkom 38. ove odluke bile raspoređene sekjuritizovane izloženosti primenjuje standardizovani pristup, banka je dužna da iznos rizikom ponderisanih izloženosti za sekjuritizovane pozicije izračunava u skladu s tač. 215. i 216. i tač. 219. do 234. ove odluke, a ako je dobila prethodnu saglasnost Narodne banke Srbije, banka za ove potrebe može da primenjuje pristup interne procene u skladu s tačkom 235. ove odluke.
Ako za klasu izloženosti u koju bi, u skladu s tačkom 73. ove odluke bile raspoređene sekjuritizovane izloženosti banka primenjuje IRB pristup, dužna je da iznos rizikom ponderisanih izloženosti obračunava u skladu s tač. 215. i 216. i tač. 235. do 242. ove odluke.
Banka je dužna da na sve sekjuritizovane izloženosti primenjuje pristup koji primenjuje na veći deo izloženosti koje su sekjuritizovane, osim u slučaju pristupa interne procene u kojem IRB pristup primenjuje samo na deo odnosnih sekjuritizovanih izloženosti.
36. Banka koja primenjuje standardizovani pristup dužna je da na opšte prilagođavanje za kreditni rizik primenjuje tretman iz tačke 27. stav 1. odredba pod 3) ove odluke.
Banka koja primenjuje IRB pristup dužna je da na opšte prilagođavanje za kreditni rizik primenjuje tretman iz tačke 13. stav 1. odredba pod 4), tačke 27. stav 1. odredba pod 4) ove odluke i tačke 134. ove odluke.
Opšta i specifična prilagođavanja za kreditni rizik, u smislu ove tačke, ne obuhvataju rezerve za opšte bankarske rizike.
Banka koja primenjuje IRB pristup, a za deo svojih izloženosti na pojedinačnoj ili na konsolidovanoj osnovi koristi standardizovani pristup u skladu s tač. 81. i 83. ove odluke, dužna je da utvrdi deo opšteg prilagođavanja za kreditni rizik na koji primenjuje tretman propisan za standardizovani pristup i deo na koji primenjuje tretman propisan za IRB pristup na sledeći način:
1) ako banka uključena u konsolidaciju primenjuje isključivo IRB pristup, na opšte prilagođavanje za kreditni rizik primenjuje se tretman iz stava 2. ove tačke;
2) ako banka uključena u konsolidaciju primenjuje isključivo standardizovani pristup na opšte prilagođavanje za kreditni rizik primenjuje se tretman iz stava 1. ove tačke;
3) preostali iznos prilagođavanja za kreditni rizik raspoređuje se proporcionalno na iznos rizikom ponderisanih izloženosti izračunat primenom standardizovanog pristupa i na deo izračunat primenom IRB pristupa.
36a. Iznos rizikom ponderisanih izloženosti za kreditni rizik obračunat na način propisan glavom IV ove odluke po osnovu izloženosti u dinarima prema malom i srednjem preduzeću, odnosno preduzetniku ili poljoprivredniku, množi se faktorom umanjenja koji iznosi 0,7619, ako su ispunjeni sledeći uslovi:
1) izloženost prema malom i srednjem preduzeću, odnosno preduzetniku ili poljoprivredniku raspoređena je u klasu izloženosti prema fizičkim licima, klasu izloženosti prema privrednim društvima, odnosno u klasu izloženosti obezbeđenih hipotekama na nepokretnostima, s tim da se izloženosti prema malom i srednjem preduzeću, odnosno preduzetniku ili poljoprivredniku u statusu neizmirenja obaveza ne uzimaju u obzir;
2) izloženost prema malom i srednjem preduzeću, odnosno preduzetniku ili poljoprivredniku je u dinarima koji nisu indeksirani deviznom klauzulom;
3) ukupan iznos izloženosti banke, matičnog društva i podređenih društava banke prema dužniku - malom i srednjem preduzeću, odnosno preduzetniku ili poljoprivredniku i licima povezanim s dužnikom, uključujući i izloženosti u statusu neizmirenja obaveza, pri čemu se ne uključuju izloženosti ili potencijalne izloženosti potpuno obezbeđene hipotekama na stambenim nepokretnostima - ne prelazi 180.000.000 dinara; banka je dužna da preduzme potrebne aktivnosti radi tačnog utvrđivanja ovog iznosa i da ih na odgovarajući način dokumentuje.
Banka je dužna da izveštava Narodnu banku Srbije o ukupnom iznosu umanjenja izloženosti po osnovu primene faktora iz stava 1. ove tačke u skladu sa odredbama odluke kojom se uređuje izveštavanje o adekvatnosti kapitala banke.
STANDARDIZOVANI PRISTUP
1. Iznos izloženosti, klase izloženosti i izračunavanje iznosa rizikom ponderisanih izloženosti
37. Iznos izloženosti za pozicije bilansne aktive jednak je iznosu bruto knjigovodstvene vrednosti tih pozicija umanjenom za specifična prilagođavanja za kreditni rizik, dodatna prilagođavanja u skladu s tačkom 12. stav 5. i tačkom 36. ove odluke i druga umanjenja kapitala u vezi sa tom pozicijom.
Iznos izloženosti za vanbilansne stavke jednak je iznosu bruto knjigovodstvene vrednosti tih stavki umanjenom za specifična prilagođavanja za kreditni rizik i pomnoženom sledećim faktorima konverzije:
1) 0% - ako je vanbilansna stavka raspoređena u kategoriju niskog rizika;
2) 20% - ako je vanbilansna stavka raspoređena u kategoriju umerenog rizika;
3) 50% - ako je vanbilansna stavka raspoređena u kategoriju srednjeg rizika;
4) 100% - ako je vanbilansna stavka raspoređena u kategoriju visokog rizika.
Vanbilansne stavke raspoređuju se u kategorije rizika na sledeći način:
1) kategorija niskog rizika obuhvata sledeće stavke:
- neiskorišćene preuzete obaveze po osnovu ugovora o kreditu, otkupu finansijskih instrumenata, izdavanju garancija, jemstava ili akcepata, kao i obaveze u vezi sa tenderskim i licitacionim garancijama i garancijama za dobro izvršenje posla, a koje banka može bezuslovno i bez prethodne najave otkazati ili za koje je ugovoreno pravo banke da jednostrano raskine ugovor usled pogoršanja kreditne sposobnosti dužnika, pri čemu se ova obaveza po osnovu ugovora o kreditu za korisnike finansijskih usluga smatra bezuslovno opozivom ako je to predviđeno propisima kojima se uređuje zaštita korisnika finansijskih usluga ili ugovorni uslovi dopuštaju banci da je u potpunosti opozove,
- vanbilansne stavke po kojima ne može doći do plaćanja;
2) kategorija umerenog rizika obuhvata sledeće stavke:
- neiskorišćene preuzete obaveze po osnovu ugovora o kreditu, otkupa finansijskih instrumenata, izdatih garancija, ili akcepata, sa efektivnim ročnošću do godinu dana, osim onih koji ispunjavaju uslove za raspoređivanje u kategoriju niskog rizika,
- dokumentarne akreditive kod kojih roba koja je predmet isporuke predstavlja sredstvo obezbeđenja, kao i druge slične vanbilansne stavke kod kojih postoji mogućnost potpunog namirenja iz sredstava obezbeđenja, a koji su u vezi sa finansiranjem trgovine,
- jemstva i garancije (uključujući tenderske i licitacione garancije, garancije za dobro izvršenje posla, kao i sa njima povezane garancije za povraćaj avansa i garancije za vraćanje garantnog depozita), a koji su u vezi sa finansiranjem trgovine, i druge garancije koje nemaju karakter kreditnog supstituta, pri čemu se pod kreditnim supstitutom podrazumeva svako preuzimanje obaveza koje za banku inicijalno ima isti rizik kao odobravanje kredita,
- neopozive stendbaj akreditive koji nemaju karakter kreditnog supstituta, a koji su u vezi sa finansiranjem trgovine;
3) kategorija srednjeg rizika obuhvata sledeće stavke:
- dokumentarne akreditive, koji su u vezi sa finansiranjem trgovine, osim onih koji ispunjavaju uslove za raspoređivanje u kategoriju umerenog rizika,
- garancija za isporuku robe, carinske garancije i garancije za izmirenje poreskih obaveza,
- neiskorišćene preuzete obaveze po osnovu ugovora o kreditu, otkupu finansijskih instrumenata, izdavanju garancija, jemstva ili akcepata, sa efektivnom ročnošću dužom od godinu dana, osim onih koji ispunjavaju uslove za raspoređivanje u kategoriju niskog rizika,
- preuzete vanbilansne obaveze po osnovu izdavanja kratkoročnih obveznica ili zapisa (Note Issuance Facility - NIF) i revolving obaveze po osnovu pružanja usluga pokroviteljstva emisije srednjoročnih obveznica ili zapisa sa obavezom otkupa (Revolving Underwriting Facility - RUF);
4) kategorija visokog rizika obuhvata sledeće stavke:
- garancije koje imaju karakter kreditnog supstituta (npr. garancije za otplatu kredita),
- kreditne derivate,
- akcepte,
- indosamente na menicama koje nisu indosirane na druge banke,
- transakcije s pravom regresa (npr. faktoring s regresom),
- neopozive stendbaj akreditive koji imaju karakter kreditnih supstituta,
- imovina stečena po osnovu forvard ugovora za kupovinu imovine,
- forvard depozite,
- neuplaćeni deo delimično uplaćenih akcija i drugih hartija od vrednosti,
- repo transakcije,
- ostale vanbilansne stavke visokog rizika.
Banka može, u skladu sa odeljkom 3. ove glave, vršiti prilagođavanje iznosa izloženosti na koju je primenjena materijalna kreditna zaštita.
Ako banka za izračunavanje efekata kreditne zaštite po osnovu sredstava obezbeđenja u obliku finansijske imovine koristi složeni metod dužna je da iznos izloženosti po osnovu hartija od vrednosti ili robe koje su prodate, založene kao sredstvo obezbeđenja ili date u zajam u okviru transakcija po osnovu repo i reverse repo ugovora, transakcija davanja ili uzimanja u zajam hartija od vrednosti ili robe, kao i transakcija kreditiranja trgovine hartijama od vrednosti, uveća za korektivni faktor koji je za odnosne hartije od vrednosti ili robu propisan tač. 174. do 181. ove odluke.
Izuzetno od st. 1. do 5. ove tačke, banka za izračunavanje iznosa izloženosti po osnovu finansijskih derivata iz Priloga 1 ove odluke primenjuje metode propisane u odeljku 5. ove glave, uzimajući u obzir efekte sporazuma o netiranju. Za izračunavanje iznosa izloženosti transakcija po osnovu repo i reverse repo ugovora, transakcija davanja ili uzimanja u zajam hartija od vrednosti ili robe, transakcija kreditiranja trgovine hartijama od vrednosti i transakcija s dugim rokom izmirenja banka može primenjivati odredbe iz odeljka 5. ili iz odeljka 3. ove glave.
38. Banka je dužna da sve izloženosti rasporedi u jednu od sledećih klasa:
1) izloženosti prema državama i centralnim bankama;
2) izloženosti prema teritorijalnim autonomijama i jedinicama lokalne samouprave;
3) izloženosti prema javnim administrativnim telima;
4) izloženosti prema međunarodnim razvojnim bankama;
5) izloženosti prema međunarodnim organizacijama;
6) izloženosti prema bankama;
7) izloženosti prema privrednim društvima;
8) izloženosti prema fizičkim licima;
9) izloženosti obezbeđene hipotekama na nepokretnostima;
10) izloženosti u statusu neizmirenja obaveza;
11) visokorizične izloženosti;
12) izloženosti po osnovu pokrivenih obveznica;
13) izloženosti po osnovu sekjuritizovanih pozicija;
14) izloženosti prema bankama i privrednim društvima sa kratkoročnim kreditnim rejtingom;
15) izloženosti po osnovu ulaganja u otvorene investicione fondove;
16) izloženosti po osnovu vlasničkih ulaganja;
17) ostale izloženosti.
Izuzetno od stava 1. ove tačke, banka nije dužna da u klase izloženosti iz tog stava rasporedi izloženosti koje u skladu sa Glavom III predstavljaju odbitnu stavku od osnovnog akcijskog kapitala, dodatnog osnovnog kapitala ili dopunskog kapitala banke.
Banka je dužna da unutrašnjim aktima bliže utvrdi kriterijume na osnovu kojih izloženosti raspoređuje u klase iz stava 1. ove tačke.
39. Za potrebe izračunavanja iznosa rizikom ponderisanih izloženosti, banka je dužna da pondere rizika primenjuje na sve izloženosti, osim na izloženosti iz tačke 38. stav 2. ove odluke.
Iznos rizikom ponderisanih izloženosti izračunava se tako što se iznos izloženosti množi odgovarajućim ponderom rizika, koji se u skladu sa pododeljkom 2. ovog odeljka, određuje za svaku pojedinačnu izloženost na osnovu klase izloženosti i nivoa njenog kreditnog kvaliteta.
Iznos rizikom ponderisanih izloženosti izračunat u skladu sa stavom 2. ove tačke umanjuje se za iznos odbitne stavke iz tačke 13. stav 1. odredba pod 17) ove odluke.
Nivo kreditnog kvaliteta izloženosti određuje se na osnovu kreditnog rejtinga koji je dodelila agencija za rejting ili agencija za kreditiranje izvoza u skladu s pododeljkom 3. ovog odeljka.
Ako koristi kreditnu zaštitu, banka može da prilagodi ponder rizika u skladu sa odredbama odeljka 3. ove glave.
Banka je dužna da iznos rizikom ponderisanih izloženosti po osnovu sekjuritizovanih pozicija izračunava u skladu sa odeljkom 4. ove glave.
Banka izloženostima za koje u pododeljku 2. ovog odeljka nije utvrđen način izračunavanja iznosa rizikom ponderisanih izloženosti, dodeljuje ponder rizika 100%.
40. Osim izloženosti koje predstavljaju elemente osnovnog akcijskog kapitala, dodatnog osnovnog kapitala ili dopunskog kapitala banke, banka može uz prethodnu saglasnost Narodne banke Srbije izloženostima prema drugoj ugovornoj strani koja je matično ili podređeno društvo te banke, podređeno društvo matičnog društva te banke ili društvo koje je sa tom bankom povezano zajedničkim upravljanjem dodeliti ponder rizika 0% bez obzira na nivo njihovog kreditnog kvaliteta, ako su ispunjeni sledeći uslovi:
1) druga ugovorna strana je banka, investiciono društvo, finansijski holding, mešoviti finansijski holding, finansijska institucija, društvo za upravljanje imovinom ili društvo za dodatne usluge, i na nju se primenjuju odgovarajući propisi kojima se uređuje poslovanje tih lica i nadzor nad tim poslovanjem;
2) banka i druga ugovorna strana su predmet zajedničke konsolidacije koja se sprovodi metodom pune konsolidacije;
3) na banku i na drugu ugovornu stranu primenjuje se isti način procene, merenja i kontrole rizika;
4) banka i druga ugovorna strana osnovane su u Republici Srbiji; i
5) ne postoje prepreke za prenos kapitala ili izmirenje obaveza druge ugovorne strane prema banci.
Pod finansijskom institucijom, u smislu ove odluke, podrazumeva se lice u finansijskom sektoru u smislu zakona kojim se uređuju banke, osim banke, investicionog društva i društva za osiguranje.
Banka koja namerava da izloženostima prema licima iz stava 1. ove tačke dodeljuje ponder rizika iz tog stava, dužna je da Narodnoj banci Srbije podnese zahtev za davanje prethodne saglasnosti za primenu tog pondera i da joj uz taj zahtev dostavi dokumentaciju kojom se dokazuje ispunjenost uslova iz tog stava.
O zahtevu iz stava 2. ove tačke Narodna banka Srbije odlučuje u roku od 30 dana od dana prijema urednog zahteva.
Banka je dužna da, u slučaju promene uslova iz stava 1. ove tačke, o tome bez odlaganja obavesti Narodnu banku Srbije i dostavi joj odgovarajuću dokumentaciju o tim promenama.
a) Izloženosti prema državama i centralnim bankama
41. Banka izloženostima prema državama i centralnim bankama za koje postoji kreditni rejting izabrane agencije za rejting dodeljuje ponder rizika naveden u sledećoj tabeli (Tabela 1), prema rasporedu kreditnih rejtinga u odgovarajući nivo kreditnog kvaliteta:
Tabela 1.
Nivo kreditnog kvaliteta |
1 |
2 |
3 |
4 |
5 |
6 |
Ponder kreditnog rizika |
0% |
20% |
50% |
100% |
100% |
150% |
Banka izloženostima prema Evropskoj centralnoj banci dodeljuje ponder rizika 0%.
Banka izloženostima prema Republici Srbiji, Narodnoj banci Srbije, kao i državama i centralnim bankama država članica Evropske unije, koje su izražene i koje se izmiruju u njihovim nacionalnim valutama, dodeljuje ponder rizika 0%.
Banka izloženostima prema državama i centralnim bankama na koje se ne primenjuju odredbe st. 1. do 3. ove tačke dodeljuje ponder rizika 100%.
Banka može izloženostima prema državama koje nisu članice Evropske unije i centralnim bankama ovih država, i kojima je nadležno regulatorno telo dodelilo ponder rizika niži od onog iz st. 1. i 4. ove tačke, a koje su izražene i izmiruju se u njihovim nacionalnim valutama, dodeliti taj ponder rizika - ako su propisi te države kojima se uređuje poslovanje banaka i nadzor nad tim poslovanjem usklađeni sa odgovarajućim propisima Evropske unije.
b) Izloženosti prema teritorijalnim autonomijama i jedinicama lokalne samouprave
42. Banka izloženostima prema jedinicama lokalne samouprave i teritorijalne autonomije dodeljuje pondere rizika koji su ovom odlukom propisani za izloženosti prema bankama, osim u slučajevima iz st. 2, 4. i 5. ove tačke. Preferencijalni tretman za kratkoročne izloženosti propisan tačkom 47. stav 2. i tačkom 48. stav 2. ove odluke se ne primenjuje na ove izloženosti.
Banka izloženostima prema teritorijalnim autonomijama i jedinicama lokalne samouprave može dodeliti ponder rizika države u kojoj su osnovane, ako ne postoji razlika u rizičnosti ovih izloženosti usled ovlašćenja teritorijalne autonomije ili lokalne samouprave da prikuplja prihode i postojanja posebnog institucionalnog okvira (npr. u vezi sa odgovornošću za dugove teritorijalne autonomije/lokalne samouprave) koji smanjuje rizik od nastupanja statusa neizmirenja obaveza.
Banka izloženostima prema crkvama i verskim zajednicama može dodeliti ponder rizika propisan za izloženosti prema teritorijalnim autonomijama i jedinicama lokalne samouprave, ako imaju status pravnog lica i zakonom im je povereno prikupljanje poreza. U tim slučajevima se ne primenjuju odredbe stava 2. ove tačke, pri čemu se navedene izloženosti ne izuzimaju od primene standardizovanog pristupa iz tačke 83. ove odluke.
Ako nadležno regulatorno telo države koja nije članica Evropske unije, a čiji su propisi kojima se uređuje poslovanje banaka i nadzor nad tim poslovanjem usklađeni sa odgovarajućim propisima Evropske unije, tretira izloženosti prema svojim teritorijalnim autonomijama i jedinicama lokalne samouprave kao izloženosti prema državi jer ne postoji razlika u rizičnosti ovih izloženosti, usled toga što ta teritorijalna autonomija ili lokalna samouprava ima ovlašćenje da prikuplja prihode i postoji poseban institucionalni okvir koji umanjuje rizik od nastupanja statusa neizmirenja obaveza, banka može na isti način da dodeli ponder rizika ovim izloženostima.
Izloženostima prema teritorijalnim autonomijama i jedinicama lokalne samouprave Republike Srbije i država članica Evropske unije, koje su izražene i koje se izmiruju u njihovim nacionalnim valutama, dodeljuje se ponder rizika 20%.
v) Izloženosti prema javnim administrativnim telima
43. Banka izloženostima prema javnim administrativnim telima za koje ne postoji kreditni rejting izabrane agencije za rejting, dodeljuje ponder rizika naveden u sledećoj tabeli (Tabela 2) prema nivou kreditnog kvaliteta države porekla:
Tabela 2.
Nivo kreditnog kvaliteta |
1 |
2 |
3 |
4 |
5 |
6 |
Ponder kreditnog rizika |
20% |
50% |
100% |
100% |
100% |
150% |
Izloženostima prema javnim administrativnim telima dodeljuje se ponder rizika 100% ako država porekla nema kreditni rejting.
Banka izloženostima prema javnim administrativnim telima za koje postoji kreditni rejting izabrane agencije za rejting dodeljuje pondere rizika u skladu s tačkom 48. ove odluke. Preferencijalni tretman za kratkoročne izloženosti propisan tačkom 47. stav 2. i tačkom 48. stav 2. ove odluke se ne primenjuje na ove izloženosti.
Izloženostima prema javnim administrativnim telima sa ugovorenom ročnošću do tri meseca dodeljuje se ponder rizika 20%.
Izuzetno, banka može izloženosti prema javnim administrativnim telima da tretira kao izloženosti prema državi, teritorijalnoj autonomiji ili lokalnoj samoupravi u kojoj je to telo osnovano, ako ih nadležno regulatorno telo te države tretira na isti način, jer ne postoji razlika u rizičnosti ovih izloženosti usled postojanja odgovarajuće garancije/jemstva odnosne države, teritorijalne autonomije ili lokalne samouprave.
Ako nadležno regulatorno telo države koja nije članica Evropske unije, a čiji su propisi kojima se uređuje poslovanje banaka i nadzor nad tim poslovanjem usklađeni sa odgovarajućim propisima Evropske unije, tretira izloženosti prema svojim javnim administrativnim telima na način iz st. 1 do 3. ove tačke, banka može na isti način da dodeli ponder rizika ovim izloženostima. U ostalim slučajevima banka je dužna da na ove izloženosti primenjuje ponder rizika 100%.
g) Izloženosti prema međunarodnim razvojnim bankama
44. Banka izloženostima prema međunarodnim razvojnim bankama, osim izloženostima iz stava 3. ove tačke, dodeljuje pondere rizika koji su ovom odlukom propisani za izloženosti prema bankama. Preferencijalni tretman za kratkoročne izloženosti propisan tačkom 47. stav 2, tačkom 48. stav 2. i tačkom 49. stav 3. ove odluke se ne primenjuje na ove izloženosti.
Pod međunarodnim razvojnim bankama iz stava 1. ove tačke podrazumevaju se i Interamerička investiciona korporacija (IIC), Crnomorska trgovinska i razvojna banka (BSTDB), Banka za ekonomske integracije Centralne Amerike (CABEI) i CAF - Razvojna banka Latinske Amerike (CAF).
Banka dodeljuje ponder rizika 0% izloženostima prema sledećim međunarodnim razvojnim bankama:
- Međunarodnoj banci za obnovu i razvoj (IBRD),
- Međunarodnoj finansijskoj korporaciji (IFC),
- Interameričkoj razvojnoj banci (IADB),
- Azijskoj razvojnoj banci (ADB),
- Afričkoj razvojnoj banci (AFDB),
- Razvojnoj banci Saveta Evrope (CEB),
- Nordijskoj investicionoj banci (NIB),
- Karipskoj razvojnoj banci (CDB),
- Evropskoj banci za obnovu i razvoj (EBRD),
- Evropskoj investicionoj banci (EIB),
- Evropskom investicionom fondu (EIF),
- Multilateralnoj agenciji za garantovanje investicija (MIGA),
- Međunarodnom programu za finansiranje imunizacije (IFFim),
- Islamskoj razvojnoj banci (IcDB).
d) Izloženosti prema međunarodnim organizacijama
45. Banka dodeljuje ponder rizika 0% izloženostima prema sledećim međunarodnim organizacijama:
- Evropskoj uniji (EU),
- Međunarodnom monetarnom fondu (IMF),
- Banci za međunarodna poravnanja (BIS),
- Evropskom fondu za finansijsku stabilnost (EFSF),
- Evropskom stabilizacionom mehanizmu (ESM),
- međunarodnoj finansijskoj instituciji osnovanoj od strane dve ili više članica Evropske unije u cilju obezbeđenja finansiranja i pružanja finansijske pomoći svojim članovima u slučaju njihovih finansijskih teškoća.
46. U klasu izloženosti prema bankama se, pored izloženosti prema bankama sa sedištem u Republici Srbiji, raspoređuju i izloženosti prema:
- pravnim licima sa sedištem van Republike Srbije čija je pretežna delatnost primanje depozita i odobravanje kredita za svoj račun (kreditne institucije),
- pravnim licima čija je pretežna delatnost pružanje investicionih usluga trećim licima i obavljanje investicionih aktivnosti (investiciona društva),
- ostalim licima u finansijskom sektoru koja su od nadležnog regulatornog tela države u kojoj imaju sedište dobila dozvolu za rad i na koja se primenjuju odgovarajući propisi kojima se uređuje poslovanje tih lica i nadzor nad tim poslovanjem uporedivi sa onima koji se primenjuju na banke.
Za potrebe stava 1. alineja druga ove tačke, pod investicionim društvom ne podrazumeva se privredno društvo koja ugovara poslove u vezi sa finansijskim fjučersima i opcijama za svoj račun, isključivo u cilju zaštite od rizika po osnovu pozicija u finansijskim derivatima ili koje ugovara te poslove za račun drugih lica koja su učesnici na finansijskom tržištu ali samo uz garanciju klirinške kuće, kao ni privredno društvo koje je ovlašćeno samo za pružanje usluga investicionog savetovanja i/ili posredovanje kod primanja i prosleđivanja naloga klijenata.
47. Banka izloženostima prema bankama za koje postoji kreditni rejting izabrane agencije za rejting dodeljuje ponder rizika u skladu s tačkom 48. ove odluke. Banka izloženostima prema bankama za koje ne postoji kreditni rejting izabrane agencije za rejting dodeljuje ponder rizika u skladu s tačkom 49. ove odluke.
Banka izloženostima prema bankama čiji preostali rok dospeća nije duži od tri meseca, a koje su izražene i izmiruju se u nacionalnoj valuti dužnika, dodeljuje ponder rizika za jednu kategoriju lošiji od pondera propisanog za izloženosti prema državi u kojoj banka-dužnik ima sedište.
Banka ne može izloženostima iz stava 2. ove tačke dodeliti ponder rizika niži od 20%.
48. Banka izloženostima prema bankama čiji je preostali rok dospeća duži od tri meseca i za koje postoji kreditni rejting izabrane agencije za rejting dodeljuje ponder rizika naveden u sledećoj tabeli (Tabela 3), prema rasporedu kreditnih rejtinga u odgovarajući nivo kreditnog kvaliteta:
Tabela 3.
Nivo kreditnog kvaliteta |
1 |
2 |
3 |
4 |
5 |
6 |
Ponder kreditnog rizika |
20% |
50% |
50% |
100% |
100% |
150% |
Banka izloženostima prema bankama čiji preostali rok dospeća nije duži od tri meseca i za koje postoji kreditni rejting izabrane agencije za rejting dodeljuje ponder rizika naveden u sledećoj tabeli (Tabela 4), prema rasporedu kreditnih rejtinga u odgovarajući nivo kreditnog kvaliteta:
Tabela 4.
Nivo kreditnog kvaliteta |
1 |
2 |
3 |
4 |
5 |
6 |
Ponder kreditnog rizika |
20% |
20% |
20% |
50% |
50% |
150% |
Banka je dužna da dodeljuje ponder rizika za izloženosti prema bankama u skladu sa sledećim pravilima:
- ako ne postoji kratkoročni kreditni rejting izabrane agencije za rejting, banka ponder rizika određuje u skladu sa stavom 2. ove tačke i primenjuje ga na sve izloženosti prema bankama sa preostalim rokom dospeća do tri meseca,
- ako postoji kratkoročni kreditni rejting izabrane agencije za rejting kojem odgovara isti ili povoljniji ponder rizika od pondera propisanog stavom 2. ove tačke, banka na takav način utvrđen ponder rizika može primeniti samo za izloženosti na koje se taj rejting odnosi, dok za ostale izloženosti prema bankama sa preostalim rokom dospeća do tri meseca određuje ponder rizika u skladu sa stavom 2. ove tačke,
- ako postoji kratkoročni kreditni rejting izabrane agencije za rejting kojem odgovara lošiji ponder rizika od pondera propisanog stavom 2. ove tačke, banka je dužna da taj rejting primeni na sve izloženosti prema bankama sa preostalim rokom dospeća do tri meseca kojima nije dodeljen kreditni rejting izabrane agencije za rejting.
49. Banka izloženostima prema bankama za koje ne postoji kreditni rejting izabrane agencije za rejting, dodeljuje ponder rizika naveden u sledećoj tabeli (Tabela 5), prema nivou kreditnog kvaliteta države u kojoj banka-dužnik ima sedište:
Tabela 5.
Nivo kreditnog kvaliteta |
1 |
2 |
3 |
4 |
5 |
6 |
Ponder kreditnog rizika |
20% |
50% |
100% |
100% |
100% |
150% |
Izloženostima prema bankama se dodeljuje ponder rizika 100% ako za izloženosti prema državi u kojoj banka-dužnik ima sedište ne postoji kreditni rejting.
Banka izloženostima prema bankama čija ugovorena efektivna ročnost nije duža od tri meseca, a za koje ne postoji raspoloživi kreditni rejting izabrane agencije za rejting, dodeljuje ponder rizika 20%.
Izuzetno od st. 2. i 3. ove tačke, banka izloženostima prema bankama za koje ne postoji kreditni rejting izabrane agencije za rejting, a koje su u vezi sa finansiranjem trgovine i ispunjavaju uslov iz tačke 109. stav 4. odredba pod 2) ove odluke, dodeljuje ponder rizika 50%. Ako preostali rok dospeća ovakvih izloženosti nije duži od tri meseca, banka dodeljuje ponder rizika 20%.
e) Izloženosti prema privrednim društvima
50. Banka izloženostima prema privrednim društvima za koje postoji kreditni rejting izabrane agencije za rejting dodeljuje ponder rizika naveden u sledećoj tabeli (Tabela 6), prema rasporedu kreditnih rejtinga u odgovarajući nivo kreditnog kvaliteta:
Tabela 6.
Nivo kreditnog kvaliteta |
1 |
2 |
3 |
4 |
5 |
6 |
Ponder kreditnog rizika |
20% |
50% |
100% |
100% |
150% |
150% |
Banka izloženostima prema privrednim društvima za koje ne postoji raspoloživi kreditni rejting izabrane agencije za rejting dodeljuje ponder rizika države u kojoj privredno društvo ima sedište ili ponder rizika 100%, zavisno od toga koji ponder je veći.
ž) Izloženosti prema fizičkim licima
51. Banka izloženostima raspoređenim u klasu izloženosti prema fizičkim licima dodeljuje ponder rizika 75% ako su ispunjeni sledeći uslovi:
- da je izloženost prema fizičkom licu (uključujući poljoprivrednika ili preduzetnika) ili malom i srednjem preduzeću,
- da su izloženosti dovoljno diversifikovane i sa sličnim karakteristikama, usled čega su rizici po osnovu ovih izloženosti značajno smanjeni,
- da ukupna izloženost prema jednom dužniku nije veća od 120.000.000 dinara.
Ukupna izloženost prema jednom dužniku, u smislu stava 1. ove tačke, utvrđuje se kao ukupna izloženost banke i njenog matičnog i podređenih društava banke prema dužniku i licima povezanim s dužnikom, uključujući i izloženosti u statusu neizmirenja obaveza, pri čemu se ne uključuju izloženosti potpuno obezbeđene hipotekama na stambenim nepokretnostima u skladu s tačkom 53. ove odluke, kao ni ulaganja u hartije od vrednosti.
Banka može u klasu izloženosti prema fizičkim licima uključiti i sadašnju vrednost lizing naknada po osnovu ugovora o lizingu ako primalac lizinga pripada klasi fizičkih lica u smislu ove odluke.
Banka izloženosti koje ne ispunjavaju uslove iz st. 1. i 3. ove tačke ne može rasporediti u klasu izloženosti prema fizičkim licima.
z) Izloženosti obezbeđene hipotekama
52. Banka izloženostima ili delovima izloženosti obezbeđenim hipotekama koje ne ispunjavaju uslove iz tačke 53, odnosno tačke 54. ove odluke dodeljuje ponder kreditnog rizika 100%, osim delu izloženosti raspoređenom u drugu klasu izloženosti. Na deo izloženosti koji prelazi iznos obezbeđen hipotekom banka je dužna da primeni ponder rizika koji se dodeljuje neobezbeđenim izloženostima tog dužnika.
Ako je predmet hipoteke nepokretnost koja se nalazi na teritoriji države članice Evropske unije, pri utvrđivanju dela izloženosti koji se tretira kao potpuno obezbeđen hipotekom banka je dužna da za potrebe utvrđivanja odnosa kredita i vrednosti hipoteke koristi procenat utvrđen u odgovarajućem propisu te države kojim se uređuje podobnost nepokretnosti za raspoređivanje u ovu klasu izloženosti. Ako su tim propisom za predmetne nepokretnosti propisani ponderi rizika i uslovi podobnosti različiti od onih definisanih tačkom 53, odnosno tačkom 54. ove odluke, banka je dužna da primenjuje te pondere rizika i uslove za potrebe izračunavanja rizikom ponderisanih izloženosti iz ove klase.
53. Banka izloženostima ili delovima izloženosti potpuno obezbeđenim hipotekom na stambenoj nepokretnosti u kojoj vlasnik stanuje ili je tu nepokretnost dao u zakup na osnovu odgovarajućeg ugovora (ili namerava da u njoj stanuje ili je dâ u zakup) - dodeljuje ponder rizika 35%.
Izloženosti ili delovi izloženosti se smatraju potpuno obezbeđeni hipotekom u smislu ove tačke, ako su ispunjeni sledeći uslovi:
1) vrednost stambene nepokretnosti koja je predmet hipoteke ne zavisi velikim delom od kreditne sposobnosti dužnika, ne uzimajući u obzir makroekonomske faktore koji utiču i na vrednost stambene nepokretnosti i na kreditnu sposobnost dužnika;
2) kreditna sposobnost dužnika ne zavisi velikim delom od vrednosti stambene nepokretnosti koja je predmet hipoteke ili novčanih tokova od njene upotrebe, već od dužnikove sposobnosti da otplati dug iz drugih izvora prihoda, pri čemu je banka u okviru svoje kreditne politike definisala maksimalni odnos vrednosti ovih kredita i izvora prihoda, i pre odobravanja kredita raspolaže relevantnom dokumentacijom u vezi sa ovim izvorima prihoda;
3) uslovi iz tačke 156. i tačke 185. st. 1. i 2. ove odluke;
4) iznos kredita na koji se primenjuje ponder rizika 35% ne prelazi 80% tržišne vrednosti stambene nepokretnosti koja je predmet hipoteke, 90% te vrednosti ako se kredit odobrava u okviru mera podrške države određenim kategorijama fizičkih lica ili fizičkom licu za kupovinu prve stambene nepokretnosti, odnosno 99% te vrednosti ako se kredit odobrava u okviru programa podrške države mladima za kupovinu prve stambene nepokretnosti.
54. Banka izloženostima koje su potpuno obezbeđene hipotekama na poslovnim nepokretnostima, dodeljuje ponder rizika 50%.
Izloženosti ili delovi izloženosti se smatraju potpuno obezbeđeni hipotekom u smislu ove tačke, ako su ispunjeni sledeći uslovi:
1) vrednost poslovne nepokretnosti koja je predmet hipoteke ne zavisi velikim delom od kreditne sposobnosti dužnika, ne uzimajući u obzir makroekonomske faktore koji utiču i na vrednost poslovne nepokretnosti i na kreditnu sposobnost dužnika;
2) uslovi iz tačke 156. i tačke 185. st. 1. i 2. ove odluke;
3) kreditna sposobnost dužnika ne zavisi velikim delom od vrednosti poslovne nepokretnosti koja je predmet hipoteke ili novčanih tokova od njene upotrebe, već od dužnikove sposobnosti da otplati dug iz drugih izvora prihoda;
4) iznos kredita na koji se primenjuje ponder rizika 50% ne prelazi 50% tržišne vrednosti poslovne nepokretnosti koja je predmet hipoteke.
i) Izloženosti u statusu neizmirenja obaveza
55. Banka svim neobezbeđenim izloženostima kod kojih je nastupio status neizmirenja obaveza u skladu s tačkom 93. ove odluke, kao i svim izloženostima prema licima razvrstanim u klasu izloženosti prema fizičkim licima kod kojih je nastupio ovaj status, dodeljuje sledeći ponder rizika:
1) 150% - ako je iznos specifičnih prilagođavanja za kreditni rizik manji od 20% njegove bruto knjigovodstvene vrednosti pre primene ovih prilagođavanja,
2) 100% - ako iznos specifičnih prilagođavanja za kreditni rizik iznosi 20% njegove bruto knjigovodstvene vrednosti pre primene ovih prilagođavanja ili je veći od tog procenta.
Pod neobezbeđenom izloženošću za potrebe iz stava 1. ove tačke podrazumeva se deo izloženosti koji nije obezbeđen podobnim instrumentom kreditne zaštite u skladu sa odeljkom 3. ove glave.
Izuzetno od stava 1. ove tačke, banka u slučaju izloženosti koja se u skladu s tač. 53. i 54. ove odluke smatra potpuno obezbeđena hipotekom na nepokretnošću, a kod koje je nastupio status neizmirenja obaveza, na iznos ove izloženosti umanjen za iznos specifičnih prilagođavanja za kreditni rizik primenjuje ponder rizika 100%.
56. Banka u visokorizične izloženosti (uključujući izloženosti po osnovu ulaganja u otvorene investicione fondove, ako je primenljivo) raspoređuje izloženosti kod kojih se može utvrditi postojanje visokog rizika kao što su:
1) ulaganja u visokoprofitabilne projekte s visokim rizikom;
2) ulaganja u zatvorene investicione fondove;
3) ulaganja u instrumente kapitala lica koja se ne kotiraju na berzi;
4) špekulativno finansiranje poslova sa nepokretnostima.
Banka izloženostima iz stava 1. ove tačke dodeljuje ponder kreditnog rizika 150%.
Pri proceni da li su izloženosti koje nisu navedene u stavu 1. ove tačke visokorizične, banka uzima u obzir sledeće karakteristike:
- postoji visok rizik od gubitka usled nastupanja statusa neizmirenja odnosnog dužnika,
- nije moguće na odgovarajući način proceniti da li izloženost ispunjava uslov iz alineje prve ovog stava.
k) Izloženosti po osnovu pokrivenih obveznica
57. Banka izloženostima po osnovu pokrivenih obveznica za koje postoji kreditni rejting izabrane agencije za rejting dodeljuje ponder rizika naveden u sledećoj tabeli (Tabela 7), prema rasporedu kreditnih rejtinga u odgovarajući nivo kreditnog kvaliteta:
Tabela 7.
Nivo kreditnog kvaliteta |
1 |
2 |
3 |
4 |
5 |
6 |
Ponder kreditnog rizika |
10% |
20% |
20% |
50% |
50% |
100% |
Banka izloženostima po osnovu pokrivenih obveznica za koje ne postoji raspoloživi kreditni rejting izabrane agencije za rejting dodeljuje ponder rizika na osnovu pondera rizika dodeljenog neobezbeđenoj izloženosti s pravom prvenstva naplate banke izdavaoca i to na sledeći način:
1) 10% - ako se izloženosti prema banci izdavaocu dodeljuje ponder rizika 20%;
2) 20% - ako se izloženosti prema banci izdavaocu dodeljuje ponder rizika 50%;
3) 50% - ako se izloženosti prema banci izdavaocu dodeljuje ponder rizika 100%; ili
4) 100% - ako se izloženosti, prema banci izdavaocu dodeljuje ponder rizika 150%.
Na izloženosti po osnovu pokrivenih obveznica može se primeniti preferencijalni tretman iz st. 1. ili 2. ove tačke, ako su obezbeđene sledećim vrstama imovine:
1) potraživanjima od Republike Srbije, Narodne banke Srbije, država članica Evropske unije, njihovih centralnih banaka, teritorijalnim autonomijama, jedinicama lokalne samouprave ili javnim administrativnim telima, kao i potraživanjima obezbeđenim njihovim garancijama;
2) potraživanjima od država koje nisu članice Evropske unije, njihovih centralnih banaka, međunarodnih razvojnih banaka, međunarodnih organizacija, čiji kreditni rejting odgovara nivou kreditnog kvaliteta 1 u skladu sa ovom odlukom, kao i potraživanjima obezbeđenim njihovim garancijama;
3) potraživanjima od teritorijalnih autonomija, jedinica lokalne samouprave ili javnih administrativnih tela država koje nisu članice Evropske unije, čiji se ponder kreditnog rizika, u skladu sa ovom odlukom, određuje na način propisan za izloženosti prema bankama ili prema državama i centralnim bankama u skladu s tačkom 42. st. 1. ili 2, odnosno tačkom 43. st. 1, 3. ili 5. ove odluke, a čiji kreditni rejting odgovara nivou kreditnog kvaliteta 1, kao i potraživanjima obezbeđenim njihovim garancijama;
4) potraživanjima od lica iz odredaba pod 2) i 3) ovog stava čiji kreditni rejting odgovara nivou kreditnog kvaliteta 2 u skladu sa ovom odlukom, pod uslovom da iznos tih potraživanja ne prelazi 20% nominalne vrednosti neizmirenog iznosa izdatih pokrivenih obveznica banke;
5) potraživanjima čiji iznos ne prelazi 15% nominalne vrednosti neizmirenog iznosa izdatih pokrivenih obveznica banke i to od banaka čiji kreditni rejting odgovara nivou kreditnog kvaliteta 1 u skladu sa ovom odlukom, odnosno nivou kreditnog kvaliteta 2 kod potraživanja od banaka sa sedištem u Republici Srbiji ili državama članicama Evropske unije čiji preostali rok dospeća nije duži od 100 dana;
6) potraživanjima obezbeđenim hipotekom na stambenim nepokretnostima do iznosa glavnice na koju je hipoteka upisana (uzimajući u obzir sva prethodna založna prava na nepokretnosti) odnosno 80% vrednosti nepokretnosti na kojoj je uspostavljena hipoteka, zavisno od toga koja je vrednost manja;
7) potraživanjima obezbeđenim tranšama sa pravom prvenstva naplate ili hartijama od vrednosti lica koja vrše sekjuritizaciju izloženosti obezbeđenih stambenim nepokretnostima, a čije je poslovanje uređeno propisima države članice Evropske unije, ako su ispunjeni sledeći uslovi:
- da ovi propisi obezbeđuju da je u svakom trenutku najmanje 90% skupa odnosne imovine čine potraživanja obezbeđena hipotekom na stambenim nepokretnostima u iznosu glavnice ovih tranši ili hartija od vrednosti, odnosno iznosa na koju je upisana hipoteka (uzimajući u obzir sva prethodna založna prava na nepokretnosti) ili 80% vrednosti nepokretnosti na kojoj je uspostavljena hipoteka, zavisno od toga koja je vrednost manja;
- da kreditni rejting ovih tranši ili hartija od vrednosti odgovara nivou kreditnog kvaliteta 1 u skladu sa ovom odlukom,
- da iznos ovih tranši ili hartija od vrednosti ne prelazi 10% nominalne vrednosti neizmirenog iznosa izdatih pokrivenih obveznica banke;
8) potraživanjima obezbeđenim hipotekom na poslovnim nepokretnostima do iznosa glavnice na koju je hipoteka upisana (uzimajući u obzir sva prethodna založna prava na nepokretnosti), odnosno 60% vrednosti nepokretnosti na kojoj je uspostavljena hipoteka, zavisno od toga koja je vrednost manja;
9) potraživanjima obezbeđena tranšama sa pravom prvenstva naplate ili hartijama od vrednosti lica koja vrše sekjuritizaciju izloženosti obezbeđenih poslovnim nepokretnostima, a čije je poslovanje uređeno propisima države članice Evropske unije, ako su ispunjeni sledeći uslovi:
- da ovi propisi obezbeđuju da je u svakom trenutku najmanje 90% skupa odnosne imovine čine potraživanja obezbeđena hipotekom na poslovnim nepokretnostima u iznosu glavnice ovih tranši ili hartija od vrednosti, odnosno iznosa na koju je upisana hipoteka (uzimajući u obzir sva prethodna založna prava na nepokretnosti) ili 60% vrednosti nepokretnosti na kojoj je uspostavljena hipoteka, zavisno od toga koja je vrednost manja,
- da kreditni rejting ovih tranši ili hartija od vrednosti odgovara nivou kreditnog kvaliteta 1 u skladu sa ovom odlukom,
- da iznos ovih tranši ili hartija od vrednosti ne prelazi 10% nominalne vrednosti neizmirenog iznosa izdatih pokrivenih obveznica banke;
10) potraživanjima obezbeđenim hipotekama na brodovima, pod uslovom da iznos glavnice na koju je upisana hipoteka (uzimajući u obzir sva prethodna založna prava na brodu) ne prelazi 60% vrednosti založenog broda.
Izuzetno, limit od 60% vrednosti nepokretnosti na kojoj je uspostavljena hipoteka u smislu stava 3. odredba pod 8) i odredba pod 9) alineja prva, ove tačke može biti prekoračen do 70% te vrednosti, ako ukupna vrednost sredstava obezbeđenja pokrivenih obveznica za najmanje 10% prelazi nominalnu vrednost neizmirenog iznosa date emisije pokrivenih obveznica, ako potraživanja imaoca obveznice ispunjavaju uslove u vezi sa sigurnošću iz odeljka 3. ove glave i imaju pravo prvenstva naplate po osnovu sredstva obezbeđenja.
Izloženosti nastale usled naplate potraživanja po osnovu prenosa ili upravljanja plaćanjima koja su izvršili dužnici predmetnih kredita obezbeđenih hipotekama na nepokretnostima, koji su odnosna imovina tranši s pravom prvenstva naplate ili hartija od vrednosti, ili naplatom iz ovih sredstava obezbeđenja, u smislu stava 3. odredbe pod 5), 7) i 8) ove tačke, ne uključuju se u obračun izračunavanja limita iz ovih odredaba.
Preferencijalni tretman iz st. 1. ili 2. ove tačke može se primeniti i ako su propisima države u kojoj su obveznice izdate uređeno da je odnosna imovina namenjena isključivo za zaštitu imalaca obveznica od gubitka ove obveznice, kao i da se u slučaju pokrivenih obveznica kod kojih je odnosna imovina u obliku nepokretnosti primenjuju uslovi iz tačke 156. ove odluke i pravila vrednovanja iz tačke 185. st. 1. i 2. ove odluke.
Banka dodeljuje ponder rizika iz st. 1. i 2. ove tačke ako može da dokaže da su, pored uslova iz stava 3. ove tačke, ispunjeni i sledeći uslovi:
1) banka dobija informacije o portfoliju odnosne imovine koje uključuju najmanje:
- informacije o vrednosti skupa odnosne imovine i neizmirenom iznosu pokrivenih obveznica,
- geografskoj raspodeli i vrsti imovine iz skupa odnosne imovine,
- visini kredita, kamatnom i deviznom riziku, ročnoj strukturi odnosne imovine i pokrivenih obveznica, kao i učešću kredita koji su u docnji preko 90 dana u skupu odnosne imovine;
2) informacije iz odredbe pod 1) ovog stava se dostavljaju najmanje na polugodišnjem nivou.
l) Izloženosti po osnovu sekjuritizovanih pozicija
58. Banka je dužna da iznos rizikom ponderisanih izloženosti po osnovu sekjurtizovanih pozicija utvrđuje u skladu sa odeljkom 4. ove glave.
lj) Izloženosti prema bankama i privrednim društvima sa kratkoročnim kreditnim rejtingom
59. Banka izloženostima prema bankama i privrednim društvima za koje postoji kratkoročni kreditni rejting izabrane agencije za rejting dodeljuje ponder rizika naveden u sledećoj tabeli (Tabela 8), prema rasporedu kreditnih rejtinga u odgovarajući nivo kreditnog kvaliteta:
Tabela 8.
Nivo kreditnog kvaliteta |
1 |
2 |
3 |
4 |
5 |
6 |
Ponder kreditnog rizika |
20% |
50% |
100% |
150% |
150% |
150% |
m) Izloženosti po osnovu ulaganja u otvorene investicione fondove
60. Banka izloženostima po osnovu ulaganja u otvorene investicione fondove za koje postoji kreditni rejting izabrane agencije za rejting dodeljuje ponder rizika naveden u sledećoj tabeli (Tabela 9), prema rasporedu kreditnih rejtinga u odgovarajući nivo kreditnog kvaliteta:
Tabela 9.
Nivo kreditnog kvaliteta |
1 |
2 |
3 |
4 |
5 |
6 |
Ponder kreditnog rizika |
20% |
50% |
100% |
100% |
150% |
150% |
Banka može izloženostima po osnovu ulaganja u otvorene investicione fondove dodeliti ponder rizika utvrđen na način propisan st. 3. i 4. ove tačke ako su ispunjeni sledeći uslovi:
1) da ovim fondom upravlja privredno društvo nad čijim poslovanjem nadzor vrši:
- nadležno regulatorno telo u Republici Srbiji, odnosno državi članici Evropske unije,
- nadležno regulatorno telo države koja nije članica Evropske unije ako se taj nadzor sprovodi u skladu s propisima Evropske unije i ako Narodna banka Srbije ima odgovarajuću saradnju s tim telom;
2) da investiciona politika i prospekt ovog fonda, odnosno njima odgovarajući akt obavezno sadrže:
- oblike imovine u koje taj fond može ulagati sredstva,
- pojedinačne limite ulaganja tog fonda i način izračunavanja tih limita ako ovaj fond primenjuje limite za svoja ulaganja;
3) da ovaj fond najmanje jednom godišnje objavljuje izveštaj o svom poslovanju koji omogućava procenu imovine i obaveza, prihoda i aktivnosti tog fonda u toku izveštajnog perioda.
Ako je banka upoznata sa strukturom izloženosti po osnovu ulaganja u otvoreni investicioni fond - ukupnoj izloženosti prema tom fondu dodeljuje ponder rizika koji je jednak ponderisanom proseku pondera rizika pojedinačnih izloženosti tog ulaganja dodeljenih u skladu sa ovim pododeljkom. Ako otvoreni investicioni fond ulaže u drugi otvoreni investicioni fond koji ispunjava uslove iz stava 2. ove tačke, banka može kao osnovicu za obračun pondera rizika koristiti strukturu izloženosti tog investicionog fonda.
Ako banka nije upoznata sa strukturom izloženosti koju čini ulaganje u otvoreni investicioni fond - ukupnoj izloženosti prema tom fondu dodeljuje ponder rizika koji je jednak ponderisanom proseku pondera rizika pretpostavljenih izloženosti tog ulaganja dodeljenih u skladu sa ovom odlukom. Pretpostavljene izloženosti određuju se na sledeći način: najpre se uključuju izloženosti na koje se, u skladu sa ovim pododeljkom, primenjuje najveći ponder rizika, i to pod pretpostavkom iskorišćenosti celokupnog limita za ulaganje ovog fonda u te izloženosti određenog investicionom politikom, odnosno zakonom kojim se uređuje poslovanje investicionih fondova, a nakon toga izloženosti na koje se primenjuju niži ponderi rizika prema njihovom opadajućem redosledu i pod pretpostavkom iskorišćenosti celokupnog limita za ulaganje otvorenog investicionog fonda u te izloženosti.
Banka može koristiti pondere rizika za ulaganja u otvorene investicione fondove koje je izračunalo treće lice na način utvrđen u st. 3. i 4. ove tačke pod uslovom da je obračun potvrđen od strane spoljnog revizora i da je to treće lice:
- depozitar fonda, koji je banka ili drugo lice iz finansijskog sektora, ako ovaj fond ulaže isključivo u hartije od vrednosti i deponuje ih kod ovog depozitara,
- društvo za upravljanje ovim fondom za fond za koji nije ispunjen uslov iz prve alineje ovog stava, ako to društvo ispunjava uslove iz stava 2. odredbe pod 1) ove tačke.
Izloženostima u obliku ulaganja u otvorene investicione fondove za koje nisu ispunjeni uslovi za primenu pondera rizika iz st. 1. do 5. ove tačke - banka dodeljuje ponder rizika 100%.
n) Izloženosti po osnovu vlasničkih ulaganja
61. Banka u izloženosti po osnovu vlasničkih ulaganja raspoređuje:
1) izloženosti koje nisu dužničke i sadrže podređeno potraživanje na sredstva od imovine ili dobit izdavaoca;
2) dužničke izloženosti i druge hartije od vrednosti, uloge, finansijske derivate ili druge finansijske instrumente sličnih ekonomskih karakteristika kao izloženosti iz odredbe pod 1) ovog stava.
Izloženostima po osnovu vlasničkih ulaganja banka dodeljuje ponder rizika 100%, osim:
- izloženostima koje, u skladu sa odredbama glave II ove odluke, predstavljaju odbitnu stavku od osnovnog akcijskog kapitala, dodatnog osnovnog kapitala ili dopunskog kapitala banke,
- ulaganjima kojima se u skladu s tačkom 21. ove odluke dodeljuje ponder rizika 250%,
- ulaganjima kojima se u skladu s tačkom 13. stav 6. ove odluke dodeljuje ponder rizika 1.250%,
- ulaganjima koja, u skladu s tačkom 56. ove odluke, predstavljaju visokorizične izloženosti.
Vlasnička ulaganja i ulaganja u elemente kapitala kod kojih su izdavaoci banke smatraju se izloženostima po osnovu vlasničkih ulaganja, osim u slučajevima iz stava 2. alineje prva, druga i četvrta ove tačke.
62. Banka gotovini i gotovinskim ekvivalentima koji se nalaze u njenom trezoru, odnosno blagajnama dodeljuje ponder rizika 0%, a gotovini i gotovinskim ekvivalentima u procesu realizacije - ponder rizika 20%.
Banka zlatu u svojim trezorima ili zlatu koje je deponovano kod drugog lica, kao obezbeđenje za obaveze banke dodeljuje ponder rizika 0%.
Banka osnovnim sredstvima dodeljuje ponder rizika 100%.
Avansnim plaćanjima i obračunatim prihodima za koje ne može da utvrdi drugu ugovornu stranu, banka dodeljuje ponder rizika 100%.
Banka nivo kreditnog kvaliteta za izloženosti po osnovu repo i reverse repo transakcija i forvard ugovora za kupovinu imovine određuje na osnovu imovine koja je predmet transakcije, a ne na osnovu kreditnog rejtinga dužnika.
Ako banka obezbeđuje kreditnu zaštitu za skup izloženosti, pod uslovom da n-to neizmirenje obaveze po tim izloženostima pokreće plaćanje i da ovaj kreditni događaj dovodi do prestanka važenja ugovora, ponderi rizika se određuju na sledeći način:
1) ako za ovaj instrument postoji kreditni rejting izabrane agencije za rejting, banka određuje pondere rizika u skladu sa odeljkom 4. ove glave,
2) ako za ovaj instrument ne postoji kreditni rejting izabrane agencije za rejting, banka određuje pondere rizika sabiranjem pondera rizika svih izloženosti iz skupa (isključujući n-1 izloženosti, odnosno izloženosti koje na pojedinačnoj osnovi imaju najniži rizikom ponderisani iznos), najviše do 1.250%, i njihovim množenjem sa nominalnim iznosom kreditne zaštite po osnovu kreditnog derivata.
Iznos izloženosti po osnovu lizinga jednak je sadašnjoj vrednosti lizing naknade. Ako lice koje nije primalac lizinga ima obavezu plaćanja preostale vrednosti predmeta lizinga (razlike između neamortizovane i tržišne vrednosti predmeta lizinga) i ova obaveza ispunjava uslove iz tač. 149, 162. i 164. ove odluke, može se priznati kao instrument kreditne zaštite u skladu sa odeljkom 3. ove odluke.
Banka je dužna da izloženosti iz stava 8. ove tačke rasporedi u odgovarajuće klase izloženosti u skladu s tačkom 38. ove odluke.
Kada je izloženost u obliku preostale vrednosti predmeta lizinga, iznos rizikom ponderisanih izloženosti se računa na sledeći način:
1/t × 100% × preostala vrednost predmeta lizinga,
pri čemu je t = max (1, broj preostalih godina do dospeća ugovora o lizingu zaokružen na ceo broj).
3. Izbor agencije za rejting i korišćenje kreditnih rejtinga za dodeljivanje pondera kreditnog rizika
a) Izbor agencije za rejting i agencije za kreditiranje izvoza
63. Banka može izabrati jednu ili više agencija za rejting čije će kreditne rejtinge koristiti radi dodeljivanja pondera rizika propisanih u pododeljku 2. ovog odeljka.
Banka koja koristi kreditne rejtinge podobne agencije za rejting ili agencije za kreditiranje izvoza dužna je da bez odlaganja obavesti Narodnu banku Srbije o prestanku korišćenja ovih rejtinga i da to obrazloži, naročito kada je posledica moguće smanjenje kapitalnih zahteva.
Kreditni rejting može se koristiti za određivanje pondera rizika za izloženosti u skladu sa pododeljkom 2. ovog odeljka samo ako je ovaj rejting dodelila ili potvrdila podobna agencija za rejting.
Agencija za rejting smatra se podobnom ako se nalazi na listi registrovanih ili sertifikovanih agencija za rejting koju je objavilo Evropsko telo za hartije od vrednosti i tržišta (European Securities and Markets Authorities - ESMA).
Način utvrđivanja podobnosti agencije za rejting koja se ne nalazi na listi iz stava 4. ove tačke, za potrebe uključivanja na listu podobnih agencija za rejting koju objavljuje, Narodna banka Srbije propisuje uputstvom.
Narodna banka Srbije na svojoj internet prezentaciji objavljuje listu iz stava 4. ove tačke, kao i upućivanje na propis Evropske unije o mapiranju kreditnih rejtinga podobnih agencija za rejting s te liste.
64. Banka može koristiti kreditne procene agencije za kreditiranje izvoza za određivanje nivoa kreditnog kvaliteta izloženosti prema državama i centralnim bankama, i to:
- kreditnu procenu države koju su sporazumno odredile agencije za kreditiranje izvoza, potpisnice Sporazuma Organizacije za ekonomsku saradnju i razvoj (u daljem tekstu: OECD) "Arrangement on Guidelines for Officially Supported Export Credits",
- kreditnu procenu države koju objavljuje pojedinačna agencija za kreditiranje izvoza primenjujući metodologiju OECD-a (kreditna procena raspoređuje se u jednu od osam kategorija najmanjih premija osiguranja izvoza).
Ako banka koristi kreditne procene agencije za kreditiranje izvoza - izloženostima prema državama i centralnim bankama dodeljuje ponder kreditnog rizika naveden u sledećoj tabeli (Tabela 10), prema rasporedu kreditne procene u kategorije najmanjih premija osiguranja izvoza:
Tabela 10.
Kategorije najmanjih premija osiguranja izvoza |
0 |
1 |
2 |
3 |
4 |
5 |
6 |
7 |
Ponder kreditnog rizika |
0% |
0% |
20% |
50% |
100% |
100% |
100% |
150% |
b) Korišćenje kreditnih rejtinga za dodeljivanje pondera kreditnog rizika
65. Banka je dužna da koristi zahtevane kreditne rejtinge izabrane agencije za rejting, a može koristiti i nezahtevane kreditne rejtinge izabrane agencije za rejting ako je to navedeno na listi podobnih agencija za rejting koju objavljuje Narodna banka Srbije.
Banka je dužna da svojim unutrašnjim aktima uredi izbor agencije za rejting i korišćenje kreditnih rejtinga za dodeljivanje pondera rizika u skladu sa ovim odeljkom, pri čemu se pridržava sledećeg:
1) banka je dužna da odredi klase izloženosti za koje će koristiti kreditne rejtinge izabrane agencije za rejting i da ih dosledno i neprekidno koristi za sve izloženosti raspoređene u te klase;
2) banka je dužna da kreditne rejtinge izabrane agencije za rejting dosledno i neprekidno koristi;
3) mogu se koristiti samo kreditni rejtinzi izabranih agencija za rejting koji se odnose na ukupnu izloženost, uključujući i glavnicu i pripadajuće kamate;
4) ako za određenu izloženost postoji samo jedan kreditni rejting koji je dodelila izabrana agencija za rejting, banka je dužna da za utvrđivanje pondera rizika koristi taj rejting;
5) ako za određenu izloženost postoje dva kreditna rejtinga koje su dodelile izabrane agencije za rejting i koji se, prema rasporedu kreditnih rejtinga u nivoe kreditnog kvaliteta, odnose na različite pondere rizika - banka je dužna da koristi onaj koji odgovara većem ponderu rizika;
6) ako za određenu izloženost postoji tri ili više kreditnih rejtinga koje su dodelile izabrane agencije za rejting i koji se, prema rasporedu kreditnih rejtinga u nivoe kreditnog kvaliteta, odnose na različite pondere rizika - banka je dužna da koristi manji od dva najveća pondera rizika, a ako se odnose na isti ponder rizika - banka koristi taj ponder rizika.
v) Korišćenje kreditnih rejtinga dužnika i finansijskih instrumenata
66. Ako postoji kreditni rejting finansijskog instrumenta, banka je dužna da izloženostima po tom osnovu dodeli ponder rizika određen na osnovu tog rejtinga.
Ako ne postoji kreditni rejting za datu izloženost, ali postoji kreditni rejting emisije finansijskih instrumenta kojem data izloženost ne pripada ili kreditni rejting dužnika, ovaj kreditni rejting se primenjuje u sledećim slučajevima:
1) ako mu odgovara veći ponder rizika od pondera rizika za izloženosti za koje ne postoji kreditni rejting - samo ako izloženosti za koje ne postoji kreditni rejting imaju isto ili niže pravo prvenstva naplate u odnosu na ovu emisiju finansijskih instrumenta ili ostale neobezbeđene izloženosti prema dužniku;
2) ako mu odgovara manji ponder rizika od pondera rizika za izloženosti za koje ne postoji kreditni rejting - samo ako izloženosti za koje ne postoji kreditni rejting imaju najmanje isto pravo prvenstva naplate u odnosu na ovu emisiju finansijskih instrumenta ili ostale neobezbeđene izloženosti prema dužniku.
Ako nisu ispunjeni uslovi za primenu st. 1. ili 2. ove tačke smatra se da je izloženost bez rejtinga.
Stavovi 1. do 3. ove tačke ne primenjuju se na izloženosti po osnovu pokrivenih obveznica iz tačke 57. ove odluke.
Banka ne može koristiti kreditni rejting dužnika koji pripada grupi povezanih lica za dodeljivanje pondera rizika izloženostima prema drugim licima iz te grupe.
g) Korišćenje dugoročnih i kratkoročnih kreditnih rejtinga
67. Banka može koristiti kratkoročni kreditni rejting samo za određivanje pondera rizika izloženosti prema bankama ili prema privrednim društvima.
Kratkoročni kreditni rejting može se koristiti samo za određivanje pondera rizika kratkoročnih izloženosti na koje se taj rejting odnosi, odnosno ne može se koristiti za izvođenje pondera rizika drugih izloženosti, osim u sledećim slučajevima:
- ako je kratkoročnoj izloženosti dodeljen kratkoročni kreditni rejting kojem odgovara ponder rizika 150%, banka je dužna da taj ponder rizika dodeli i svim ostalim izloženostima prema istom dužniku za koje ne postoji raspoloživ kreditni rejting, uključujući i dugoročne izloženosti,
- ako je kratkoročnoj izloženosti dodeljen kratkoročni kreditni rejting kojem odgovara ponder rizika 50%, banka je dužna da svim kratkoročnim izloženostima prema istom dužniku za koje ne postoji raspoloživ kreditni rejting dodeli ponder rizika koji nije niži od 100%.
d) Korišćenje kreditnog rejtinga u domaćoj valuti i u stranim valutama
68. Kreditni rejting koji se odnosi na izloženost koja je izražena u domaćoj valuti dužnika banka ne može koristiti za određivanje pondera rizika za druge izloženosti prema istom dužniku koje su izražene u stranoj valuti.
Izuzetno od stava 1. ove tačke, banka može koristiti kreditni rejting koji se odnosi na izloženost koja je izražena u domaćoj valuti dužnika i za određivanje pondera rizika izloženosti izražene u stranoj valuti, ako je ta izloženost nastala po osnovu učešća banke u kreditima koje odobrava međunarodna razvojna banka kojoj se, u skladu s ovom odlukom, dodeljuje ponder rizika 0%.
IRB PRISTUP
1. Saglasnost Narodne banke Srbije za korišćenje IRB pristupa
a) Saglasnost za korišćenje IRB pristupa
69. Banka može da za izračunavanje kreditnim rizikom ponderisanih izloženosti koristi IRB pristup ako je za to dobila prethodnu saglasnost Narodne banke Srbije (u daljem tekstu: prethodna saglasnost za IRB pristup).
Banka podnosi Narodnoj banci Srbije zahtev za dobijanje prethodne saglasnosti za IRB pristup (uključujući i sopstvene procene LGD parametara i faktora konverzije) za svaku klasu izloženosti, rejting sistem i pristup internih modela za izloženosti po osnovu vlasničkih ulaganja, kao i za svaki korišćeni pristup za sopstvenu procenu LGD parametara i faktora konverzije.
Pri podnošenju zahteva za dobijanje saglasnosti iz stava 2. ove tačke, banka je dužna da Narodnoj banci Srbije dostavi odgovarajuće podatke i dokumentaciju kojima dokazuje ispunjenost uslova iz tog stava.
Način sprovođenja odredaba ove tačke koje se odnose na dostavljanje podataka i dokumentacije i njihovu procenu Narodna banka Srbije propisuje uputstvom.
O zahtevu za dobijanje prethodne saglasnosti za IRB pristup iz stava 2. ove tačke Narodna banka Srbije odlučuje u roku od šest meseci od dana prijema urednog zahteva.
Banka je dužna da podnese zahtev za dobijanje prethodne saglasnosti Narodne banke Srbije za:
1) materijalno značajne promene okvira primene rejting sistema ili pristupa internog modela za vlasnička ulaganja za čije korišćenje ima prethodnu saglasnost, pri čemu se pod okvirom primene rejting sistema podrazumevaju sve izloženosti u okviru relevantne klase izloženosti za koje je taj rejting sistem razvijen;
2) materijalno značajne promene rejting sistema ili pristupa internog modela za vlasnička ulaganja za čije korišćenje banka ima prethodnu saglasnost.
O zahtevu za dobijanje prethodne saglasnosti iz stava 5. ove tačke Narodna banka Srbije odlučuje u roku od šest meseci od dana prijema urednog zahteva.
Banka je dužna da obavesti Narodnu banku Srbije o svim promenama rejting sistema ili pristupa internog modela za vlasnička ulaganja.
70. Narodna banka Srbije daje banci prethodnu saglasnost za IRB pristup, uključujući i AIRB pristup, ako su ispunjeni uslovi za primenu tog pristupa propisani ovim odeljkom, ako ima pouzdan i adekvatan sistem upravljanja kreditnim rizikom i proces dodeljivanja rejtinga i ako su ispunjeni sledeći uslovi:
1) da interni rejting sistem banke obezbeđuje odgovarajuću procenu karakteristika dužnika i plasmana, jasno razlikovanje rizika, kao i precizne i dosledne kvantitativne procene rizika;
2) da interni rejtinzi i procene verovatnoće nastupanja statusa neizmirenja obaveza i gubitaka koje banka koristi za izračunavanje kapitalnih zahteva, kao i s njima povezani sistemi i procesi, imaju ključnu ulogu u upravljanju rizicima i odlučivanju, a naročito pri odobravanju plasmana, internoj raspodeli kapitala i korporativnom upravljanju bankom;
3) da je banka uspostavila organizacionu jedinicu za kontrolu kreditnog rizika nezavisnu od drugih organizacionih jedinica u banci, koja je odgovorna za interne rejting sisteme;
4) da banka prikuplja i čuva sve relevantne podatke radi obezbeđivanja efektivne podrške procesu upravljanja, a naročito merenju kreditnog rizika;
5) da banka adekvatno dokumentuje rejting sisteme koje primenjuje, uključujući i razloge izbora njihove strukture i karakteristika, kao i da redovno sprovodi njihovu validaciju;
6) da je banka u odgovarajućem vremenskom periodu pre dobijanja saglasnosti za korišćenje rejting sistema i pristupa internih modela za izloženosti po osnovu vlasničkih ulaganja izvršila njihovu validaciju i ocenila da li ti rejting sistemi i modeli odgovaraju okviru njihove primene, kao i da je na osnovu te procene sprovela odgovarajuće izmene tih sistema i modela;
7) da je banka izračunala kapitalne zahteve korišćenjem IRB pristupa na osnovu svojih procena parametara rizika i da je u mogućnosti da dostavlja odgovarajuće izveštaje u skladu sa odlukom kojom se uređuje izveštavanje o adekvatnosti kapitala banke;
8) da banka raspoređuje svaku od izloženosti u odgovarajući rejting sistem i u okviru ovog sistema u odgovarajuću rizičnu kategoriju, odnosno skup izloženosti, kao i da raspoređuje svaku od izloženosti po osnovu vlasničkih ulaganja u okviru primene odgovarajućeg internog modela.
Uslovi za korišćenje IRB pristupa, uključujući sopstvene procene LGD i faktora konverzije, primenjuju se i kada je banka implementirala rejting sistem ili model u okviru rejting sistema koji je kupila od trećeg lica.
b) Prethodno iskustvo u korišćenju IRB pristupa
71. Banka može dobiti prethodnu saglasnost za IRB pristup ako je najmanje tri godine pre podnošenja zahteva za dobijanje te saglasnosti, u procesu upravljanja rizicima, a naročito njihovog merenja, za klase izloženosti za koje podnosi zahtev, primenjivala interne rejting sisteme koji su u najvećoj meri u skladu s uslovima za primenu tog pristupa propisanim u pododeljku 2. ovog odeljka.
Ako banka podnosi zahtev za dobijanje prethodne saglasnosti za AIRB pristup dužna je da dokaže da je najmanje tri godine pre podnošenja tog zahteva koristila sopstvene procene LGD parametara i faktora konverzije na način koji je u najvećoj meri u skladu s uslovima za primenu tih parametara propisanim u pododeljku 2. ovog odeljka.
Kada banka nakon dobijanja prvobitne saglasnosti za korišćenje IRB pristupa proširuje primenu ovog pristupa na nove izloženosti, njeno iskustvo se smatra dovoljnim za ispunjavanje uslova iz st. 1. i 2. ove tačke za te izloženosti.
Ako se upotreba rejting sistema proširuje na nove izloženosti, čiji se okvir primene značajno razlikuje od postojećeg u meri da se ne može pretpostaviti da je njeno iskustvo dovoljno za ispunjenje uslova iz st. 1. i 2. ove tačke, banka je dužna da za te dodatne izloženosti posebno dokaže ispunjenost ovih uslova.
v) Mere koje se preduzimaju kada banka prestane da ispunjava uslove iz ovog odeljka
72. Ako nakon dobijene saglasnosti za IRB pristup, banka prestane da ispunjava uslove iz ovog odeljka - dužna je da Narodnoj banci Srbije bez odlaganja dostavi plan o usklađivanju sa ovim uslovima, sa rokom za to usklađivanje ili dokaz da posledice neispunjavanja tih uslova nisu materijalno značajne. Ako je banka dostavila plan iz ovog stava, dužna je da Narodnu banku Srbije bez odlaganja obavesti o tome da se uskladila sa uslovima iz tog stava u roku iz ovog plana.
Narodna banka Srbije može ukinuti saglasnost za IRB pristup ako utvrdi da banka ne ispunjava uslove iz ovog odeljka, a posledice tog neispunjavanja su materijalno značajne, ako banka nije dostavila plan iz stava 1. ove tačke, ako je dostavila neadekvatan plan ili ako ne postupa po dostavljenom planu.
Ako je Narodna banka Srbije ukinula saglasnost za IRB pristup, banka je dužna da za izračunavanje rizikom ponderisanih izloženosti primenjuje standardizovani pristup.
g) Metodologija za raspoređivanje izloženosti u klase izloženosti
73. Banka je dužna da radi primene IRB pristupa u skladu sa svojom metodologijom sve izloženosti rasporedi u jednu od sledećih klasa:
1) izloženosti prema državama i centralnim bankama;
2) izloženosti prema bankama;
3) izloženosti prema privrednim društvima;
4) izloženosti prema fizičkim licima;
5) izloženosti po osnovu vlasničkih ulaganja;
6) izloženosti po osnovu sekjuritizovanih pozicija;
7) izloženosti po osnovu ostale imovine.
Metodologija iz stava 1. ove tačke zasniva se na karakteristikama izloženosti i dosledno se primenjuje.
74. Klasa izloženosti prema državama i centralnim bankama uključuje i sledeće izloženosti:
- izloženosti prema teritorijalnim autonomijama i jedinicama lokalne samouprave ili prema javnim administrativnim telima kojima se u skladu s tač. 42. i 43. ove odluke dodeljuje isti ponder rizika kao i izloženostima prema državi u kojoj su osnovani;
- izloženosti prema međunarodnim razvojnim bankama iz tačke 44. ove odluke;
- izloženosti prema međunarodnim organizacijama kojima se u skladu s tačkom 45. ove odluke dodeljuje ponder rizika 0%.
Banka je dužna da, u okviru klase izloženosti prema privrednim društvima, posebno izdvoji izloženosti po osnovu specijalizovanog kreditiranja, odnosno izloženosti koje imaju sledeće karakteristike:
1) da je izloženost prema pravnom licu koje je osnovano isključivo za finansiranje materijalne imovine i/ili upravljanje njome;
2) da ugovorne odredbe daju banci visok stepen kontrole nad imovinom i prihodom koji se ostvaruje po osnovu ove imovine;
3) da je osnovni izvor za izmirivanje obaveza prihod koji se ostvaruje po osnovu te imovine, a ne novčani tokovi koje pravno lice iz odredbe pod 1) ovog stava ostvaruje u svom ukupnom poslovanju nezavisno od te imovine.
Izloženosti po osnovu specijalizovanog kreditiranja uključuju sledeće potklase:
1) projektno finansiranje - u kome izmirivanje obaveza prvenstveno ili isključivo zavisi od prihoda dužnika po osnovu finansiranog projekta;
2) finansiranje nepokretnosti na osnovu kojih se ostvaruje prihod - u kome izmirivanje obaveza prvenstveno ili isključivo zavisi od prihoda po osnovu te nepokretnosti (npr. po osnovu ugovora o zakupu ili prodaji nepokretnosti);
3) objektno finansiranje - u kome izmirivanje obaveza prvenstveno ili isključivo zavisi od prihoda dužnika po osnovu imovine koja služi kao sredstvo obezbeđenja kredita;
4) finansiranje robe - u kome izmirivanje obaveza prvenstveno ili isključivo zavisi od prihoda po osnovu prodaje robe.
75. Klasa izloženosti prema bankama uključuje sledeće izloženosti:
- izloženosti prema teritorijalnim autonomijama i jedinicama lokalne samouprave kojima se ne dodeljuje isti ponder rizika kao i izloženostima prema državi u kojoj su osnovane;
- izloženosti prema javnim administrativnim telima na koje se ne primenjuje isti ponder rizika kao i izloženostima prema državi u kojoj su osnovana;
- izloženosti prema međunarodnim razvojnim bankama kojima se ne dodeljuje ponder rizika 0%;
- izloženosti prema finansijskim institucijama koje se u skladu s tačkom 46. ove odluke smatraju izloženostima prema bankama.
76. Banka može pojedinačne izloženosti da rasporedi u klasu izloženosti prema fizičkim licima ako su ispunjeni sledeći uslovi:
1) da je izloženost prema fizičkom licu (uključujući poljoprivrednika ili preduzetnika) ili prema malom i srednjem preduzeću, pri čemu ukupna izloženost prema jednom dužniku - malom i srednjem preduzeću nije veća od 120.000.000 dinara;
2) da banka, u procesu upravljanja rizicima, ove izloženosti dosledno tretira na isti ili sličan način;
3) da banka, u procesu upravljanja rizicima, ove izloženosti ne tretira na pojedinačnoj osnovi kao izloženosti iz klase izloženosti prema privrednim društvima;
4) da svaka od ovih izloženosti nije materijalno značajna u grupi većeg broja izloženosti kojom se upravlja na sličan način.
Ukupna izloženost prema jednom dužniku, u smislu stava 1. ove tačke, utvrđuje se kao ukupna izloženost banke i njenog matičnog i podređenih društava banke prema dužniku i licima povezanim s dužnikom, uključujući i izloženosti u statusu neizmirenja obaveza. U ukupnu izloženost se ne uključuju izloženosti obezbeđene hipotekama na stambenim nepokretnostima.
Banka može u klasu izloženosti prema fizičkim licima uključiti i sadašnju vrednost lizing naknada po osnovu ugovora o lizingu ako primalac lizinga pripada klasi fizičkih lica.
77. U klasu izloženosti po osnovu vlasničkih ulaganja raspoređuju se sledeće izloženosti:
1) izloženosti koje nisu dužničke i imaju podređeno potraživanje na sredstva od imovine ili dobit izdavaoca koja preostanu nakon namirenja ostalih poverilaca;
2) dužničke izloženosti i druge hartije od vrednosti, ulozi, finansijski derivati ili drugi finansijski instrumenti sličnih ekonomskih karakteristika kao izloženosti iz odredbe pod 1) ovog stava.
78. Banka je dužna da svako potraživanje u vezi sa plasmanom koje nije rasporedila u neku od klasa iz odredaba pod 1), 2), 4), 5) i 6) stava 1. tačke 73. ove odluke rasporedi u klasu izloženosti prema privrednim društvima iz odredbe pod 3) tog stava.
79. Preostala vrednost predmeta lizinga raspoređuje se u klasu ostale imovine iz tačke 73. stav 1. odredba pod 7) ove odluke, ako ova vrednost nije uključena u izloženosti po osnovu lizinga na način utvrđen tačkom 113. stav 5. te odluke.
80. Izloženost na osnovu pružanja kreditne zaštite za skup izloženosti, pod uslovom da n-to neizmirenje obaveze među izloženostima pokreće plaćanje, raspoređuje se u istu klasu izloženosti iz tačke 73. stav 1. ove odluke u koju bi se rasporedile izloženosti iz tog skupa, osim ako bi pojedine izloženosti iz skupa bile raspoređene u različite klase izloženosti, u kom slučaju se izloženost raspoređuje u klasu izloženosti prema privrednim društvima iz odredbe pod 3) tog stava.
d) Uslovi za postepeno uvođenje IRB pristupa
81. Banka, matično društvo i njihova podređena društva dužna su da primenjuju IRB pristup na sve izloženosti, osim ako su od Narodne banke Srbije dobile saglasnost za trajna izuzeća iz tačke 83. ove odluke.
Narodna banka Srbije može u okviru saglasnosti za IRB pristup da dozvoli:
- postepeno uvođenje ovog pristupa za različite klase izloženosti iz tačke 73. ove odluke, unutar iste poslovne jedinice i u različitim poslovnim jedinicama, pri čemu se pod poslovnom jedinicom podrazumeva zaseban organizacioni deo, pravno lice, linija poslovanja ili geografsko područje,
- postepeni prelazak s FIRB pristupa na AIRB pristup za klase izloženosti prema državama i centralnim bankama, privrednim društvima i bankama.
Za klasu izloženosti prema fizičkim licima iz tačke 73. stav 1. odredba pod 4) ove odluke uvođenje IRB pristupa može se sprovesti postepeno po vrstama izloženosti na koje se odnose različite korelacije propisane tačkom 122. te odluke.
Narodna banka Srbije određuje period u kome su banka, matično društvo banke i njihova podređena društva dužna da primene IRB pristup, u skladu sa vrstom i obimom poslovnih aktivnosti banke, matičnog društva banke i njihovih podređenih društava, kao i broja i prirode rejting sistema koji će se primenjivati.
Banka je dužna da uvodi IRB pristup u skladu sa uslovima određenim u saglasnosti Narodne banke Srbije za ovaj pristup, koji moraju biti definisani tako da obezbeđuju da se fleksibilnost postepenog uvođenja ne koristi selektivno za smanjenje kapitalnih zahteva.
Banka je dužna da u toku perioda iz stava 4. ove tačke bude u mogućnosti da izračunava kapitalne zahteve primenom standardizovanog pristupa za sve izloženosti do dobijanja obaveštenja od Narodne banke Srbije da banka uvođenje IRB pristupa završava u skladu sa planom.
Banka koja je dobila saglasnost za primenu IRB pristupa za bilo koju klasu izloženosti, dužna je da ovaj pristup primeni i na klasu izloženosti po osnovu vlasničkih ulaganja iz tačke 73. stav 1. odredba pod 5) ove odluke, osim ako je dobila saglasnost za primenu trajnih izuzeća iz tačke 83. te odluke za ove izloženosti, kao i na klasu ostale imovine iz tačke 73. stav 1. odredba pod 7) te odluke.
đ) Uslovi za povratak na primenu manje sofisticiranih pristupa
82. Banka koja koristi IRB pristup za izračunavanje iznosa rizikom ponderisanih izloženosti za određenu klasu ili vrstu izloženosti može preći na korišćenje standardizovanog pristupa propisanog u odeljku 1. ove glave samo iz opravdanih razloga i uz saglasnost Narodne banke Srbije.
Banka koja koristi AIRB pristup za izračunavanje iznosa rizikom ponderisanih izloženosti može preći na korišćenje FIRB pristupa samo iz opravdanih razloga i uz saglasnost Narodne banke Srbije.
Pri podnošenju zahteva za dobijanje saglasnosti iz st. 1. i 2. ove tačke, banka je dužna da Narodnoj banci Srbije dostavi dokumentaciju kojom dokazuje postojanje opravdanih razloga iz tih stavova, kao i da primena standardizovanog, odnosno FIRB pristupa nije predložena radi smanjenja kapitalnih zahteva, da je neophodna zbog prirode i složenosti ukupnih izloženosti te vrste i da neće imati značajan nepovoljan uticaj na solventnost banke ili njenu sposobnost da efektivno upravlja rizicima.
U slučajevima iz st. 1. i 2. ove tačke primenjuju se i uslovi za postepeno uvođenje IRB pristupa iz tačke 81. ove odluke, kao i za trajna izuzeća iz tačke 83. te odluke.
e) Uslovi za trajna izuzeća od primene IRB pristupa
83. Ako je na zahtev banke to utvrđeno u saglasnosti za IRB pristup, banka može da primenjuje standardizovani pristup iz odeljka 1. ove glave na jednu ili više sledećih izloženosti:
1) izloženosti prema državama i centralnim bankama - ako broj klijenata u ovoj klasi izloženosti nije materijalno značajan i ako bi uvođenje rejting sistema za te klijente predstavljalo za banku nepotrebno opterećenje;
2) izloženosti prema bankama - pod uslovima iz odredbe pod 1) ovog stava;
3) izloženosti prema manje značajnim poslovnim jedinicama, kao i klase i vrste izloženosti čiji iznos i procenjeni rizični profil nisu materijalno značajni;
4) izloženosti prema Republici Srbiji ili državi članici Evropske unije, kao i prema njihovim teritorijalnim autonomijama i jedinicama lokalne samouprave i javnim administrativnim telima - ako su ispunjeni sledeći uslovi:
- da ne postoji razlika u rizičnosti ovih izloženosti,
- da se izloženostima prema državi, u skladu s tač. 41. i 461. ove odluke, dodeljuje ponder rizika 0%;
5) izloženosti banke prema drugoj ugovornoj strani - ako je druga ugovorna strana njeno matično društvo, podređeno društvo, podređeno društvo njenog matičnog društva ili društvo povezano zajedničkim upravljanjem koje je banka, finansijski holding, mešoviti finansijski holding, finansijska institucija, društvo za upravljanje imovinom ili društvo za dodatne usluge na koja se primenjuju odgovarajući propisi kojima se uređuje poslovanje tih lica i nadzor nad tim poslovanjem;
6) izloženosti po osnovu vlasničkih ulaganja u pravna lica kojima se, u skladu s odeljkom 1. ove glave, dodeljuje ponder rizika 0%, uključujući i javna administrativna tela;
7) izloženosti po osnovu vlasničkih ulaganja nastalih po osnovu državnih programa podrške pojedinim privrednim sektorima - ako banka za takva ulaganja dobija značajne subvencije i ako država na odgovarajući način vrši nadzor nad sprovođenjem tih programa (koji uključuje i ograničenja kapitalnih ulaganja), pod uslovom da navedene izloženosti ne čine više od 10% kapitala banke, odnosno bankarske grupe;
8) garancije i kontragarancije države iz tačke 164. stav 3. ove odluke.
Klasa izloženosti po osnovu vlasničkih ulaganja smatra se materijalno značajnom u smislu ove tačke, ako je njen ukupan prosečan iznos u toku prethodne godine, isključujući iz obračuna izloženosti iz stava 1. odredba pod 6) te tačke, veći od 10% kapitala banke ili bankarske grupe, odnosno veći od 5% tog kapitala, pod uslovom da je broj izloženosti u ovoj klasi manji od 10.
2. Minimalni uslovi za primenu IRB pristupa
84. Interni rejting sistem obuhvata:
1) metode, procese, aktivnosti i kontrolu prikupljanja podataka relevantnih za procenu kreditnog rizika;
2) informacione sisteme koji predstavljaju podršku za procenu kreditnog rizika;
3) način raspoređivanja izloženosti u rejting kategorije ili skupove izloženosti i
4) metode i procese kvantifikacije procena verovatnoće nastanka statusa neizmirenja obaveza i gubitka za određenu vrstu izloženosti.
Rejting kategorija predstavlja rizičnu kategoriju unutar rejting skale za dužnike jednog rejting sistema, u koju su izloženosti prema dužnicima raspoređene na osnovu specifičnih i jasno određenih rejting kriterijuma, a iz koje se izvode procene PD parametra.
Rejting kategorija proizvoda predstavlja rizičnu kategoriju unutar rejting skale proizvoda jednog rejting sistema, u koju su izloženosti prema proizvodu raspoređene na osnovu specifičnih i jasno određenih rejting kriterijuma, a iz koje se izvode sopstvene procene LGD parametra.
U slučaju da banka koristi više rejting sistema, dužna je da dokumentuje razloge za izbor kriterijuma korišćenih za raspoređivanje izloženosti prema dužniku ili vrsti plasmana u rejting sisteme, pri čemu izabrani kriterijumi na odgovarajući način odražavaju nivo rizika.
Banka je dužna da svojim unutrašnjim aktima propiše način na koji sprovodi periodičnu proveru kriterijuma i procesa za raspoređivanje izloženosti prema dužniku ili vrsti plasmana u odgovarajuće rejting sisteme, radi provere njihove adekvatnosti u odnosu na postojeći portfolio banke i eksterne faktore.
Ako banka koristi direktne procene parametara rizika za pojedinačne dužnike ili izloženosti, te se procene mogu smatrati procenama rizičnih kategorija na kontinuiranoj rejting skali. Direktnom procenom, u smislu ove tačke, smatra se procena koju je banka dobila direktno iz modela koji koristi, i to za svakog dužnika ili vrstu plasmana pojedinačno.
Struktura rejting sistema
85. Banka je dužna da obezbedi da struktura rejting sistema za izloženosti prema državama i centralnim bankama, privrednim društvima i bankama bude uspostavljena na sledeći način:
1) rejting sistem odražava rizik dužnika i rizik vrste plasmana, odnosno ovaj sistem obuhvata sve njihove karakteristike;
2) rejting sistem ima rejting skalu za dužnike koja odražava isključivo rizik neizmirenja obaveza dužnika, pri čemu ova skala ima najmanje sedam rejting kategorija za dužnike koji nisu u statusu neizmirenja obaveza i najmanje jednu rejting kategoriju za dužnike koji su u tom statusu;
3) veza između pojedinačnih rejting kategorija dužnika i kriterijuma korišćenih za razlikovanje nivoa rizika neizmirenja obaveza je jasno dokumentovana;
4) ako u okviru portfolija postoji koncentracija na nekom tržišnom segmentu na određenom rasponu PD parametra, banka je uspostavila dovoljno rejting kategorija dužnika u okviru tog raspona da bi se izbegla velika koncentracija dužnika na nivou jedne kategorije i u slučaju da takva koncentracija postoji, banka je dužna da dokaže da rejting kategorija dužnika pokriva odgovarajući raspon PD parametra, a da rizik neizmirenja obaveza svih dužnika iz te rejting kategorije ulazi u dati raspon;
5) ako banka primenjuje AIRB pristup, dužna je da u okviru rejting sistema uspostavi posebnu rejting skalu za proizvode, koja odražava karakteristike proizvoda povezane isključivo s LGD parametrom, kao i da definicija rejting kategorije uključuje opis načina na koji se izloženosti raspoređuju u tu kategoriju i kriterijume za razlikovanje nivoa rizika po ovim kategorijama;
6) u slučaju da postoji velika koncentracija u okviru jedne rejting kategorije proizvoda, banka je dužna da dokaže da ta kategorija pokriva odgovarajući raspon LGD parametra i da rizik koji potiče od svih izloženosti iz date rejting kategorije ulazi u taj raspon.
Izuzetno od stava 1. ove tačke, ako banka pondere rizika za izloženosti po osnovu specijalizovanog kreditiranja dodeljuje na način iz tačke 119. ove odluke - nije dužna da ima rejting skalu za dužnike koja odražava isključivo kvantifikaciju rizika neizmirenja obaveza dužnika za ove izloženosti, već je dužna da za navedene izloženosti ima najmanje četiri rejting kategorije za dužnike koji nisu u statusu neizmirenja obaveza i najmanje jednu rejting kategoriju za dužnike koji su u tom statusu.
Banka je dužna da obezbedi da struktura rejting sistema za izloženosti prema fizičkim licima bude uspostavljena na sledeći način:
1) rejting sistem odražava rizik dužnika i rizik vrste plasmana, odnosno ovaj sistem obuhvata sve njihove karakteristike;
2) uspostavljen je takav nivo diferencijacije rizika da broj izloženosti u datoj rejting kategoriji ili skupu izloženosti omogućava odgovarajuću kvantifikaciju i validaciju parametara rizika na nivou rejting kategorije ili skupa izloženosti, a raspoređivanje izloženosti u rejting kategorije, odnosno u skupove izloženosti se vrši tako da se izbegava velika koncentracija;
3) proces raspoređivanja izloženosti u rejting kategorije, odnosno u skupove izloženosti omogućava jasno razlikovanje izvora rizika, grupisanje sličnih izloženosti, kao i tačnu i doslednu procenu karakteristika gubitka na nivou te kategorije, odnosno skupa, pri čemu grupisanje izloženosti po osnovu kupljenih potraživanja odražava uslove odobravanja ovih potraživanja i raznovrsnost klijenata prodavca tih potraživanja.
Pri raspoređivanju izloženosti u rejting kategorije, odnosno u skupove izloženosti, banka je dužna da uzme u obzir sledeće izvore rizika:
1) rizične karakteristike dužnika;
2) rizične karakteristike plasmana, uključujući i vrste proizvoda i sredstava obezbeđenja, a posebno slučajeve u kojima je više izloženosti obezbeđeno istim sredstvom obezbeđenja;
3) urednost u izmirivanju obaveza, osim ako banka Narodnoj banci Srbije dokumentuje da to nije značajan izvor rizika za odnosnu izloženost.
Raspoređivanje izloženosti u rejting kategorije ili skupove izloženosti
86. Banka je dužna da utvrdi posebne definicije, procese i kriterijume za raspoređivanje izloženosti u rejting kategorije, odnosno u skupove izloženosti u okviru rejting sistema, uz ispunjenost sledećih uslova:
1) da definicija rejting kategorije ili skupa izloženosti, kao i kriterijumi za raspoređivanje budu jasni i precizni kako bi licima zaduženim za dodeljivanje rejtinga omogućili da dosledno raspoređuju izloženosti koje prouzrokuju sličan rizik u istu rejting kategoriju ili skup izloženosti, pri čemu ova doslednost postoji i po linijama poslovanja, poslovnim jedinicama i geografskim oblastima;
2) da dokumentacija o rejting procesu bude jasna, kako bi omogućila razumevanje načina raspoređivanja izloženosti u rejting kategorije ili skupove izloženosti, ponavljanje tog postupka i ocenu njegove adekvatnosti;
3) da kriterijumi budu usklađeni sa uslovima banke za odobravanje plasmana i s njenim načinom postupanja s problematičnim dužnicima i plasmanima.
Banka je dužna da pri raspoređivanju izloženosti u rejting kategorije, odnosno u skupove izloženosti koristi sve značajne ažurne informacije na osnovu kojih može proceniti buduće karakteristike izloženosti. Ako raspolaže manjim brojem relevantnih informacija, banka je dužna da opreznije postupa pri raspoređivanju izloženosti u rejting kategorije. Ako koristi eksterni kreditni rejting kao osnovni element za dodeljivanje internog rejtinga, banka je dužna da uzme u obzir i ostale relevantne informacije.
87. Izloženosti prema državama i centralnim bankama, privrednim društvima, bankama i izloženosti po osnovu vlasničkih ulaganja na koje banka primenjuje PD/LGD pristup iz tačke 126. ove odluke raspoređuju se u rejting kategorije u skladu sa sledećim kriterijumima:
1) kao sastavni deo procesa odobravanja plasmana svaki dužnik se raspoređuje u rejting kategoriju dužnika;
2) ako primenjuje AIRB pristup, banka je dužna da kao deo procesa odobravanja plasmana, svaku izloženost prema vrsti proizvoda raspoređuje i u rejting kategoriju proizvoda;
3) ako banka primenjuje metod iz tačke 119. ove odluke za dodeljivanje pondera rizika za izloženosti po osnovu specijalizovanog kreditiranja, svaku izloženost raspoređuje u rizične kategorije u skladu s Prilogom 2 ove odluke;
4) svakom pravnom licu prema kome banka ima izloženost dodeljuje se poseban rejting, a unutrašnjim aktima banke je uređen način raspoređivanja pojedinačnih dužnika i članova grupe povezanih lica s dužnikom u određene rejting kategorije, kao i uticaj njihove povezanosti na njihovo raspoređivanje;
5) sve izloženosti prema jednom dužniku raspoređuju se u istu rejting kategoriju dužnika, bez obzira na razlike u prirodi svakog posebnog plasmana, a izuzetno, banka može pojedinačne izloženosti prema jednom dužniku rasporediti u više rejting kategorija dužnika - u sledećim slučajevima:
- ako postoji rizik transfera, zavisno od toga da li su izloženosti u domaćoj ili stranoj valuti,
- ako garancije koje se odnose na izloženosti utiču na prilagođavanje raspoređivanja izloženosti u rejting kategorije dužnika,
- ako propisi kojima se uređuje zaštita korisnika finansijskih usluga, bankarska tajna ili drugi propisi onemogućavaju razmenu podataka o klijentima.
Banka je dužna da, kao sastavni deo procesa odobravanja plasmana, svaku izloženost prema fizičkim licima rasporedi u rejting kategoriju, odnosno skup izloženosti.
Radi raspoređivanja izloženosti u rejting kategorije, odnosno u skupove izloženosti - banka je dužna da unutrašnjim aktima uredi slučajeve u kojima se mogu korigovati ulazni podaci ili rezultati procesa raspoređivanja, a dužna je i da dokumentuje podatke o sprovedenim korekcijama i svim zaposlenima koji su odgovorni za odobravanje takvih korekcija. Banka je dužna i da analizira karakteristike izloženosti čije je raspoređivanje predmet korekcije, pri čemu ova analiza uključuje sve izloženosti čiji je rejting korigovalo svako odgovorno lice pojedinačno.
Integritet procesa raspoređivanja izloženosti
88. Banka je dužna da obezbedi da proces raspoređivanja izloženosti prema državama i centralnim bankama, privrednim društvima, bankama i po osnovu vlasničkih ulaganja na koje se primenjuje PD/LGD pristup iz tačke 126. ove odluke, ispunjava sledeće uslove:
1) periodičnu proveru tog raspoređivanja sprovodi ili odobrava organizaciona jedinica u banci nezavisna od drugih organizacionih jedinica, koja ne učestvuje u donošenju odluka koje se odnose na odobravanje plasmana;
2) banka najmanje jednom godišnje ažurira dodeljene rejtinge dužnika, a rejtinge visokorizičnih dužnika i problematičnih izloženosti i češće i uspostavila je procedure kojima se uređuje učestalost proveravanja rejtinga i proces dodeljivanja novog rejtinga, u skladu s raspoloživim značajnim informacijama o dužniku ili izloženosti;
3) uspostavljen je odgovarajući proces prikupljanja i ažuriranja informacija o karakteristikama dužnika koje utiču na PD parametar, kao i o karakteristikama proizvoda koje utiču na LGD parametar i/ili faktore konverzije.
Banka je dužna da najmanje jednom godišnje ažurira rejting dodeljen dužnicima i proizvodima, odnosno da proverava karakteristike gubitka i redovnost izmirivanja obaveza za svaki skup izloženosti prema fizičkim licima, kao i da, na osnovu reprezentativnog uzorka, proverava status pojedinačnih izloženosti u svakom takvom skupu izloženosti, da bi obezbedila da izloženosti budu raspoređene u odgovarajući skup izloženosti.
Korišćenje modela
89. Pri korišćenju statističkih i drugih matematičkih modela i metoda za raspoređivanje izloženosti u rejting kategorije ili skupove izloženosti, banka je dužna da:
1) dokaže da model ima dobru sposobnost predviđanja i da njegova primena ne dovodi do kapitalnih zahteva koji ne odgovaraju rizičnom profilu, pri čemu ulazne promenljive predstavljaju kvalitetnu osnovu za procene koje su rezultat primene modela, a ove procene nisu pristrasne;
2) uspostavi proces za kontrolu ulaznih podataka, a naročito proveru, odnosno procenu njihove tačnosti, potpunosti i adekvatnosti;
3) dokaže da su podaci korišćeni u razvijanju modela reprezentativni za portfolio postojećih dužnika, odnosno izloženosti banke;
4) uspostavi redovnu validaciju modela, uključujući i praćenje njegovih performansi i njegove stabilnosti, proveru njegovih karakteristika i back testiranje;
5) pored modela, koristi i stručne procene i nadzor radi provere raspoređivanja izloženosti zasnovanog na modelu i obezbeđenja adekvatnog korišćenja modela, kao i radi pronalaženja i ograničavanja grešaka koje su posledica nedostataka izabranog modela, pri čemu ova procena uzima u obzir sve relevantne informacije koje nisu obuhvaćene modelom, a banka je dužna da utvrdi način na koji se kombinuju stručna procena i rezultati modela.
Dokumentacija rejting sistema
90. Banka je dužna da dokumentuje razvoj i operativne detalje svojih rejting sistema, pri čemu ova dokumentacija treba da sadrži dokaze o ispunjenosti minimalnih uslova za korišćenje IRB pristupa propisanih ovim pododeljkom, a naročito o raspoređivanju izloženosti u rejting kategorije, kriterijumima za dodelu rejtinga, odgovornostima zaposlenih koji vrše raspoređivanje izloženosti, učestalosti provere raspoređivanja izloženosti, kao i o nadzoru rejting procesa koji vrši rukovodstvo.
Banka je dužna da dokumentuje razloge za izbor rejting kriterijuma, kao i prateću analizu koja podržava taj izbor. Ako je došlo do značajnih promena u procesu dodeljivanja internih rejtinga, banka je dužna da navedene promene dokumentuje, uključujući i one koje su identifikovane nakon poslednje provere rejting procesa od strane Narodne banke Srbije.
Banka je dužna da uspostavi procedure kojima se uređuje način dodeljivanja rejtinga, uključujući i proces tog dodeljivanja i unutrašnje kontrole.
Banka je dužna da utvrdi definicije statusa neizmirenja obaveza i parametara rizika, kao i da dokaže da su te definicije usklađene s definicijama iz ove odluke.
Ako banka koristi statističke modele u rejting procesu, dužna je da utvrdi njihovu metodologiju. Ova metodologija sadrži:
1) detaljan prikaz teorije, pretpostavki i/ili matematičke i empirijske osnove za dodeljivanje procena parametara rizika rejting kategorijama, pojedinačnim dužnicima, izloženostima ili skupovima izloženosti, kao i detaljan prikaz izvora podataka korišćenih za ocenu modela;
2) opis statističkog procesa korišćenog za validaciju modela, uključujući i testove performansi u vremenskom periodu i na uzorku podataka koji nisu korišćeni u razvoju modela (out-of-time i out-of-sample);
3) prikaz svih okolnosti u kojima model ne daje dobre rezultate.
Banka je dužna da obezbedi ispunjenost svih uslova u vezi s rejting sistemom utvrđenih ovom odlukom i kad koristi model ili bilo koji element tog sistema koji su pribavljeni od treće strane, u slučajevima kad ta strana zadržava autorska prava nad tehnologijom.
Prikupljanje i čuvanje podataka
91. Banka je dužna da prikuplja i čuva podatke koji se odnose na interne rejtinge, uključujući i one koje je dužna da objavljuje u skladu sa odlukom kojom se uređuje objavljivanje podataka i informacija banke.
Za izloženosti prema državama i centralnim bankama, privrednim društvima, bankama i po osnovu vlasničkih ulaganja na koje se primenjuje PD/LGD pristup iz tačke 126. ove odluke, banka je dužna da prikuplja i čuva:
1) istorijske podatke o rejtingu dužnika i rejtingu podobnih davalaca garancija;
2) podatke o datumima dodeljivanja rejtinga;
3) ključne podatke i metodologiju korišćenu za određivanje rejtinga;
4) podatke o zaposlenima odgovornim za dodeljivanje rejtinga;
5) podatke o dužnicima i izloženostima koji su u statusu neizmirenja obaveza;
6) podatke o datumu i okolnostima nastanka statusa neizmirenja obaveza;
7) podatke o PD parametrima i realizovanim stopama neizmirenja obaveza koji se odnose na rejting kategorije i migraciju između rejting kategorija.
Ako banka primenjuje FIRB pristup za izloženosti iz stava 1. ove tačke, dužna je da prikuplja i čuva podatke o poređenju realizovanih LGD parametara s vrednostima propisanim tačkom 108. stav 1. ove odluke, kao i podatke o poređenju realizovanih faktora konverzije s vrednostima propisanim tačkom 113. stav 8. te odluke.
Ako banka primenjuje AIRB pristup, dužna je da prikuplja i čuva:
1) istorijske podatke o rejtingu proizvoda i procenama LGD parametra i faktora konverzije koji se odnose na svaku rejting skalu;
2) podatke o datumu dodeljivanja rejtinga i sačinjavanju procena;
3) ključne podatke i metodologiju korišćenu za određivanje rejtinga proizvoda i procene LGD parametra i faktora konverzije;
4) podatke o zaposlenima odgovornim za dodeljivanje rejtinga proizvodu i o zaposlenima odgovornim za sačinjavanje procena LGD parametra i faktora konverzije;
5) podatke o procenjenim i realizovanim LGD parametrima i faktorima konverzije koji se odnose na svaku izloženost u statusu neizmirenja obaveza;
6) podatke o LGD parametrima dodeljenim izloženosti pre i posle uzimanja u obzir garancija ili kreditnih derivata, ako banka efekte ublažavanja kreditnog rizika korišćenjem garancija ili kreditnih derivata iskazuje kroz te parametre;
7) podatke o elementima gubitka za svaku izloženost u statusu neizmirenja obaveza.
Ako banka primenjuje IRB pristup za izloženosti prema fizičkim licima, dužna je da prikuplja i čuva:
1) podatke koji su korišćeni u procesu raspoređivanja izloženosti u rejting kategorije, odnosno u skupove izloženosti;
2) podatke o procenama PD i LGD parametara i faktora konverzije koji se odnose na rejting kategorije ili skupove izloženosti;
3) podatke o dužnicima i izloženostima koje su u statusu neizmirenja obaveza;
4) za izloženosti kod kojih je nastupio status neizmirenja obaveza - podatke o rejting kategoriji ili skupu izloženosti u koje je izloženost bila raspoređena u periodu od jedne godine pre nastupanja statusa neizmirenja obaveza, kao i realizovane vrednosti LGD parametra i faktora konverzije;
5) podatke o stopama gubitka za kvalifikovane revolving izloženosti prema fizičkim licima.
Stres testiranje
92. Banka je dužna da uspostavi odgovarajući proces stres testiranja u proceni adekvatnosti kapitala, pri čemu ovo testiranje uključuje identifikovanje mogućih događaja ili budućih promena u ekonomskim uslovima koji bi mogli nepovoljno uticati na izloženost banke kreditnom riziku i na procenu njene sposobnosti da izdrži takve promene.
Banka je dužna da proces stres testiranja sprovodi najmanje jednom godišnje, a po potrebi i češće, radi ocene efekata specifičnih uslova na kapitalni zahtev za kreditni rizik. Banka odlučuje o tome koje će stres testove primenjivati i oni su predmet kontrole Narodne banke Srbije. Ovi testovi zasnovani su na odgovarajućim i opreznim pretpostavkama i uključuju i efekte scenarija ekonomske recesije. Banka je dužna da oceni migraciju između rejting kategorija u scenarijima stres testova. Portfolija na kojima se sprovode stres testovi treba da obuhvate veći deo ukupnih izloženosti banke.
Ako banka primenjuje prilagođavanje iz tačke 118. stav 3. ove odluke, dužna je da u okviru svojih stres testova razmatra i uticaj pogoršanja kreditnog kvaliteta pružalaca kreditne zaštite, a posebno onda kada ovi pružaoci prestanu da ispunjavaju uslove za priznavanje podobnosti iz ove odluke.
Definicija statusa neizmirenja obaveza
93. Status neizmirenja obaveza (default) dužnika postoji kada je ispunjen bilo koji od sledećih uslova:
- banka smatra malo verovatnim da će dužnik u potpunosti izmiriti svoju obavezu prema banci, njenom matičnom ili podređenim društvima, ne uzimajući u obzir mogućnost realizacije instrumenata kreditne zaštite,
- dužnik je u docnji više od 90 dana po bilo kojoj materijalno značajnoj obavezi prema banci, njenom matičnom ili podređenim društvima.
U slučaju izloženosti prema fizičkim licima banka može da primenjuje definiciju statusa neizmirenja obaveza iz stava 1. ove tačke na nivou pojedinačne izloženosti, umesto na nivou dužnika.
Pri oceni ispunjenosti uslova iz stava 1. alineja prva ove tačke, banka naročito uzima u obzir sledeće okolnosti:
1) prestanak evidentiranja prihoda od kamata i prihoda od provizija i naknada u bilansu uspeha po osnovu potraživanja od dužnika;
2) specifična prilagođavanja za kreditni rizik koja su obračunata zbog značajnog pogoršanja kreditnog kvaliteta koje je usledilo nakon nastanka izloženosti;
3) značajan gubitak koji se ostvaruje ustupanjem potraživanja;
4) restrukturiranje potraživanja izvršeno usled finansijskih teškoća dužnika, uz umanjenje iznosa tog potraživanja zbog otpisa dela duga ili produženja roka otplate glavnice, kamate ili naknade, što u slučaju izloženosti po osnovu vlasničkih ulaganja na koje se primenjuje PD/LGD pristup uključuje i ovakvo restrukturiranje samog vlasničkog ulaganja;
5) podnošenje predloga banke za pokretanje stečajnog postupka nad dužnikom zbog neizmirenog potraživanja prema banci, odnosno matičnom ili podređenim društvima banke;
6) pokretanje postupka stečaja nad dužnikom, koji dovodi do neizmirenja obaveze ili neblagovremenog izmirenja obaveze prema banci, odnosno njenom matičnom ili podređenim društvima.
Pri oceni ispunjenosti uslova iz stava 1. alineja druga ove tačke, smatraće se da je dužnik u docnji:
1) za prekoračenja po tekućim računima - od dana kad prekorači odobreni limit, kad mu se odobreni limit smanji ispod trenutno iskorišćenog iznosa ili kad izvrši isplatu sredstava sa tekućeg računa bez pokrića, a iznos prekoračenja je materijalno značajan;
2) kod prekoračenja po kreditnoj kartici - od dana dospeća obaveze plaćanja minimalnog iznosa.
Način utvrđivanja materijalno značajnog iznosa Narodna banka Srbije propisuje uputstvom.
Banka je dužna da unutrašnjim aktima, koji se dosledno primenjuju tokom vremena i u skladu su sa procesom upravljanja rizicima i donošenjem odluka u banci, uredi računanje broja dana u docnji, naročito za revolving izloženosti, slučajeve produžetka roka otplate, odlaganje plaćanja glavnice i/ili kamate, obnavljanje izloženosti i netiranje.
Pod odobrenim limitom iz stava 4. odredba pod 1) ove tačke, podrazumeva se limit koji je saopšten dužniku.
Ako banka koristi eksterne podatke koji nisu usklađeni s definicijom statusa neizmirenja obaveza, dužna je da dokaže da je te podatke na odgovarajući način prilagodila kako bi postigla ovu usklađenost.
Ako utvrdi da više nisu ispunjeni uslovi za status neizmirenja obaveza, banka dužniku ili proizvodu dodeljuje jedan od rejtinga za dužnike koji nisu u tom statusu. U slučaju da se naknadno ispune uslovi za sticanje ovog statusa, smatraće se da je nastupio novi status neizmirenja obaveza.
Slučajeve kada se smatra da je nastupio status neizmirenja obaveza Narodna banka Srbije propisuje uputstvom.
Opšti uslovi za procenu parametara rizika
94. Pri proceni parametara rizika za rizične kategorije i skupove izloženosti banka je dužna da primenjuje sledeće:
1) procene banke koje se odnose na PD i LGD parametre, na faktore konverzije i na EL parametar obuhvataju sve relevantne podatke, informacije i metode zasnovane i na iskustvu banke i na empirijskim dokazima, a ne samo na subjektivnim ocenama, pri čemu je banka dužna da obezbedi da te procene budu verodostojne, razumljive i zasnovane na značajnim faktorima parametara rizika, a što je manji broj podataka kojima banka raspolaže, ove procene su opreznije (veća je marža konzervativnosti);
2) banka je dužna da obezbedi pregled istorijskih gubitaka koji uključuje realizovane vrednosti učestalosti nastupanja statusa neizmirenja obaveza, LGD parametra, faktora konverzije ili gubitaka - ako procenjuje EL parametar, uz identifikovanje svih značajnih faktora parametara rizika i da dokaže da su njene procene parametara rizika rezultat višegodišnjeg iskustva;
3) banka je dužna da uzima u obzir sve promene u procesu odobravanja plasmana ili procesu naplate potraživanja tokom perioda posmatranja iz tačke 95. stav 1. odredba pod 8) i stav 2. odredba pod 5), tačke 96. stav 1. odredba pod 10) i stav 3. i tačke 97. st. 2. i 4. ove odluke i da njene procene blagovremeno odražavaju posledice tehničkih poboljšanja, novih podataka i ostalih informacija, kao i da najmanje jednom godišnje proverava svoje procene, a u slučaju novih informacija - i češće;
4) populacija izloženosti u skupu podataka korišćenih za procenu parametara rizika, uslovi za odobravanje plasmana korišćeni u trenutku nastanka ovih podataka, kao i ostale relevantne karakteristike, odgovaraju karakteristikama izloženosti i uslovima banke i banka je dužna da dokaže da su ekonomski ili tržišni uslovi u kojima su ti podaci nastali relevantni i za sadašnje i za buduće uslove a radi obezbeđivanja tačnosti i adekvatnosti procena treba da raspolaže dovoljnim brojem izloženosti u uzorku i vremenskim serijama podataka korišćenih za kvantifikaciju;
5) banka je dužna da obezbedi da procene koje se odnose na kupljena potraživanja odražavaju sve relevantne informacije o kvalitetu tih potraživanja koje su raspoložive banci, uključujući i podatke koji se odnose na slične skupove izloženosti prikupljene od prodavca potraživanja, iz drugih eksternih izvora ili u samoj banci, kao i da oceni sve podatke koje koristi a koje je prikupila od prodavca;
6) banka je dužna da svojim procenama parametara rizika doda maržu konzervativnosti koja se odnosi na očekivani raspon grešaka u proceni, pri čemu je ova marža veća što su metode i podaci manje kvalitetni a očekivani raspon grešaka veći.
Ako koristi različite procene parametara rizika za računanje pondera rizika i za interne svrhe, banka je dužna da ih dokumentuje i da dokaže opravdanost njihove primene.
Ako banka za procenu parametara rizika koristi podatke iz zajedničke baze podataka više banaka, dužna je da ispuni sledeće uslove:
1) rejting sistemi i kriterijumi ostalih banaka u zajedničkoj bazi podataka su slični njenim;
2) zajednička baza podataka je reprezentativna za portfolio za koji se koriste zajednički podaci;
3) podaci iz zajedničke baze podataka se koriste kontinuirano i dosledno za procenu banke;
4) odgovornost za integritet rejting sistema je na samoj banci;
5) banka ima zadovoljavajući nivo znanja o rejting sistemu koji koristi, uključujući sposobnost vršenja efektivnog nadzora i revizije rejting procesa.
Uslovi za procenu PD parametra
95. Pri kvantifikovanju parametara rizika za rejting kategorije i skupove izloženosti, banka je dužna da za procenu PD parametra za izloženosti prema državama i centralnim bankama, privrednim društvima, bankama i po osnovu vlasničkih ulaganja na koje se primenjuje PD/LGD pristup iz tačke 126. ove odluke ispunjava sledeće uslove:
1) da procenjuje PD parametar za svaku rejting kategoriju dužnika na osnovu višegodišnjih proseka jednogodišnjih stopa neizmirenja obaveza, a za visoko zadužene dužnike ili dužnike čija imovina je pretežno u obliku imovine kojom se trguje procena PD parametra mora da odražava performanse odnosne imovine u uslovima stresa;
2) za kupljena potraživanja prema privrednim društvima banka može da procenjuje očekivani gubitak po rejting kategorijama dužnika na osnovu višegodišnjih proseka jednogodišnjih stopa neizmirenja obaveza;
3) ako koristi višegodišnje prosečne procene PD parametra i LGD parametra za kupljena potraživanja prema privrednim društvima po osnovu procena očekivanog gubitka - banka je dužna da obezbedi da proces procene ukupnih gubitaka ispunjava opšte standarde za kvantifikaciju rizika iz ovog pododeljka i da rezultat te procene bude u skladu sa odredbama tačke 96. stav 1. odredba pod 1) ove odluke;
4) banka može da koristi tehnike procene PD parametra samo uz odgovarajuće prateće analize, a u postupku kombinovanja rezultata različitih tehnika i pri prilagođavanju procena usled ograničenja korišćenih tehnika i informacija, dužna je da uzima u obzir mišljenje lica koje raspolaže odgovarajućim znanjem i iskustvom koji se odnose na ove tehnike;
5) ako koristi sopstvene istorijske podatke o neizmirenju obaveza za procenu PD parametra, banka je dužna da u svojoj analizi dokaže da njene procene odražavaju relevantne politike i procedure i sve razlike između rejting sistema korišćenog kad su nastali ti podaci i postojećeg rejting sistema, a u slučaju da su se ove politike i procedure ili rejting sistemi promenili, banka je dužna da doda veću maržu konzervativnosti na svoje procene PD parametra;
6) ako banka mapira svoje interne rejting kategorije prema rejting skali koju koristi agencija za rejting i na isti način raspoređuje stope neizmirenja obaveza koje pripadaju rejting kategorijama agencije za rejting u rejting kategorije banke - mapiranje mora biti zasnovano na poređenju internih rejting kriterijuma i kriterijuma koje koristi ta agencija i na poređenju internih i eksternih rejtinga svih zajedničkih dužnika, gde su kriterijumi agencije za rejting na osnovu kojih su dobijeni podaci koji se koriste za kvantifikaciju usmereni isključivo na rizik neizmirenja obaveza i ne mogu odražavati rizične karakteristike plasmana, pri čemu je banka dužna da utvrdi način mapiranja i da preduzme sve neophodne mere kako bi izbegla neobjektivnosti ili nedoslednosti u procesu mapiranja ili korišćenim podacima i da dokumentuje osnovu za mapiranje, a naročito analizu koja obuhvata poređenje korišćenih definicija statusa neizmirenja obaveza banke i agencije za rejting, u skladu s tačkom 93. ove odluke;
7) banka koja koristi statističke modele za predviđanje nastupanja statusa neizmirenja obaveza može da procenjuje PD parametar kao prosek procena verovatnoće nastupanja statusa neizmirenja obaveza za pojedinačne dužnike u datoj rejting kategoriji, pri čemu moraju biti ispunjeni uslovi iz tačke 89. ove odluke;
8) bez obzira da li koristi podatke iz svog poslovanja (interne podatke), podatke iz okruženja (eksterne podatke), podatke iz zajedničke baze podataka ili njihovu kombinaciju, banka procenu PD parametra zasniva na periodu posmatranja koji obuhvata najmanje pet godina za bar jedan izvor podataka, a ako raspolaže relevantnim podacima za duži period - na tom dužem periodu. Narodna banka Srbije može banci dati saglasnost da u trenutku uvođenja IRB pristupa koristi relevantne podatke koji obuhvataju period od dve godine i period posmatranja mora se povećavati svake godine za jednu godinu sve dok relevantni podaci ne obuhvate period od pet godina.
Za procenu PD parametra za izloženosti prema fizičkim licima banka je dužna da ispunjava sledeće uslove:
1) da procenjuje PD parametar za svaku rejting kategoriju dužnika, odnosno skup izloženosti na osnovu višegodišnjih proseka jednogodišnjih stopa neizmirenja obaveza;
2) banka može procenjivati PD parametar i na osnovu realizovanih gubitaka i odgovarajućih procena LGD parametra;
3) banka je dužna da, kao primarni izvor informacija za procenu parametara rizika, koristi interne podatke za raspoređivanje izloženosti prema fizičkim licima u rejting kategorije, odnosno u skupove izloženosti, a može da koristi i eksterne podatke, uključujući i podatke iz zajedničke baze podataka ili statističke modele za kvantifikaciju, ako dokaže da postoji čvrsta veza između:
- procesa raspoređivanja izloženosti prema fizičkim licima u rejting kategorije, odnosno u skupove izloženosti i procesa koji koristi izvor eksternih podataka,
- internog rizičnog profila banke i eksternih podataka;
4) ako izračunava višegodišnje prosečne procene PD i LGD parametra za fizička lica po osnovu procena očekivanog gubitka - banka je dužna da obezbedi da proces procene ukupnih gubitaka ispunjava opšte standarde za kvantifikaciju rizika iz ovog pododeljka i da rezultat te procene bude u skladu s tačkom 96. stav 1. odredba pod 1) ove odluke;
5) bez obzira da li koristi interne podatke, eksterne podatke, podatke iz zajedničke baze podataka ili njihovu kombinaciju, banka procenu PD parametra zasniva na periodu posmatranja koji obuhvata najmanje pet godina za bar jedan izvor podataka, a ako raspolaže relevantnim podacima za duži period - na tom dužem periodu, pri čemu nije dužna da pridaje isti značaj istorijskim podacima ako može dokazati da noviji podaci bolje predviđaju stope gubitaka. Narodna banka Srbije može banci dati saglasnost da u trenutku uvođenja IRB pristupa koristi relevantne podatke koji obuhvataju period od dve godine i period posmatranja mora se povećavati svake godine za jednu godinu sve dok relevantni podaci ne obuhvate period od pet godina;
6) banka je dužna da, u toku postojanja izloženosti prema fizičkom licu, identifikuje i analizira očekivane promene parametara rizika koje mogu da nastanu usled sezonskih efekata.
Banka je dužna da za izloženosti po osnovu kupljenih potraživanja prema fizičkim licima koristi sve relevantne raspoložive izvore podataka.
Uslovi za sopstvene procene LGD parametra
96. Pri kvantifikovanju parametara rizika za rejting kategorije i skupove izloženosti, banka je dužna da za procenu LGD parametra ispunjava sledeće uslove:
1) da procenjuje LGD parametar po rejting kategorijama proizvoda ili po skupovima izloženosti, na osnovu prosečnih realizovanih LGD parametara za svaku rejting kategoriju proizvoda ili skup izloženosti i uzimajući u obzir sva evidentirana neizmirenja obaveza utvrđena na osnovu korišćenih podataka (ponderisani prosek neizmirenja obaveza);
2) da koristi procene LGD parametra koje odgovaraju uslovima ekonomske recesije ako su one opreznije od dugoročnog proseka i da svoje procene parametara rizika po rejting kategorijama ili skupovima izloženosti prilagodi u meri u kojoj se očekuje da će rejting sistem tokom vremena pružati konstantne realizovane LGD parametre po tim kategorijama ili skupovima, kako bi na taj način ograničila uticaj ekonomske recesije na kapital;
3) da razmotri da li postoji bilo kakva povezanost između rizika dužnika i rizika sredstva obezbeđenja, odnosno davaoca sredstva obezbeđenja i ako postoji izražena zavisnost da takve slučajeve tretira na oprezan način;
4) da valutnu neusklađenost između odnosne izloženosti i sredstva obezbeđenja, pri izračunavanju sopstvenih procena LGD parametra, tretira na izrazito oprezan način;
5) u slučaju da procene LGD parametra uzimaju u obzir postojanje sredstva obezbeđenja, ove procene ne mogu biti zasnovane isključivo na procenjenoj tržišnoj vrednosti sredstva obezbeđenja, već moraju uzimati u obzir efekte potencijalne nemogućnosti banke da u najkraćem roku preuzme sredstvo obezbeđenja i da ga realizuje;
6) banka je dužna da, u slučaju da procene LGD parametra uzimaju u obzir postojanje sredstva obezbeđenja, uspostavi procedure i procese za upravljanje ovim sredstvima i da ispunjava uslove koji se odnose na ta sredstva u skladu s odeljkom 3. pododeljak 3. ove glave;
7) kad banka priznaje efekat sredstva obezbeđenja radi izračunavanja iznosa izloženosti riziku druge ugovorne strane primenom standardizovanog metoda ili metoda internih modela, u skladu sa odeljkom 5. ove glave - pri proceni LGD parametra ne može uzimati u obzir iznos za koji se očekuje da će biti naplaćen realizacijom sredstva obezbeđenja;
8) kod izloženosti koje su u statusu neizmirenja obaveza, banka je dužna da kao LGD parametar koristi najbolju procenu očekivanog gubitka banke za svaku izloženost (ELBE), u skladu s trenutnim ekonomskim okolnostima i statusom izloženosti, uvećanu za moguće dodatne neočekivane gubitke tokom perioda naplate (recovery period);
9) banka je dužna da nenaplaćene naknade koje su prethodno evidentirane u bilansu uspeha doda iznosu izloženosti i gubitka;
10) procene LGD parametra za izloženosti prema državama i centralnim bankama, privrednim društvima i bankama zasnovane su na istorijskim podacima koji obuhvataju period od najmanje pet godina i period posmatranja se svake naredne godine povećava za jednu godinu sve dok relevantni podaci ne obuhvate period od sedam godina, i to za najmanje jedan izvor podataka, a ako raspoloživi period posmatranja obuhvata duži period za bilo koji izvor i podaci su relevantni, banka je dužna da koristi taj duži period.
U slučaju izloženosti prema fizičkim licima banka može da postupa na sledeći način:
1) da procenjuje LGD parametar po osnovu realizovanih gubitaka i odgovarajućih procena PD parametra;
2) da uključi buduća povlačenja sredstava u sopstvene procene faktora konverzije ili LGD parametra;
3) da pri proceni LGD parametra za izloženosti po osnovu kupljenih potraživanja prema fizičkim licima koristi relevantne eksterne i interne podatke.
Procene LGD parametra za izloženosti prema fizičkim licima zasnivaju se na istorijskim podacima koji obuhvataju period od najmanje pet godina. Banka nije dužna da pridaje isti značaj istorijskim podacima ako može da dokaže da noviji podaci bolje predviđaju stope gubitaka. Izuzetno, banka može koristiti relevantne podatke koji obuhvataju period od dve godine ako je to utvrđeno saglasnošću za IRB pristup, pri čemu se period posmatranja svake naredne godine povećava se za jednu godinu, sve dok relevantni podaci ne obuhvate period od pet godina.
Uslovi za sopstvene procene faktora konverzije
97. Pri kvantifikovanju parametara rizika za rejting kategorije i skupove izloženosti, banka je dužna da za procenu faktora konverzije ispunjava sledeće uslove:
1) da faktore konverzije procenjuje po rejting kategorijama proizvoda ili po skupovima izloženosti, na osnovu prosečnih realizovanih faktora konverzije za svaku rejting kategoriju proizvoda ili skup izloženosti i uzimajući u obzir sva evidentirana neizmirenja obaveza utvrđena na osnovu korišćenih podataka (ponderisani prosek neizmirenja obaveza);
2) da koristi one procene faktora konverzije koje odgovaraju uslovima ekonomske recesije ako su one opreznije od dugoročnog proseka i da svoje procene parametara rizika po rejting kategorijama ili skupovima izloženosti prilagodi u meri u kojoj se očekuje da će rejting sistem tokom vremena pružati konstantne realizovane faktore konverzije po ovim kategorijama ili skupovima, kako bi ograničila uticaj ekonomske recesije na kapital;
3) da obezbedi da procene faktora konverzije odražavaju mogućnost da dužnik dodatno povlači sredstva do trenutka stupanja u status neizmirenja obaveza, kao i nakon tog trenutka, kao i da procenama faktora konverzije doda veću maržu konzervativnosti kad se može očekivati visoka pozitivna korelacija između učestalosti nastanka statusa neizmirenja obaveza i vrednosti ovih faktora;
4) da pri proceni faktora konverzije uzima u obzir politike i procedure koje se odnose na računovodstvene politike i praćenje naplate plasmana, kao i svoju sposobnost i spremnost da spreči buduća povlačenja sredstava u slučaju nastupanja statusa neizmirenja obaveza usled događaja koji se ne odnose na neplaćanje (npr. kršenja ugovornih odredaba ili drugih događaja koji dovode do tzv. tehničkog statusa neizmirenja obaveza);
5) da uspostavi adekvatne sisteme i procedure za praćenje iznosa izloženosti, iskorišćenog iznosa u odnosu na odobreni iznos izloženosti, kao i promena u iskorišćenim iznosima - po dužnicima i po rejting kategorijama, kao i da stanje iskorišćenih iznosa prati na dnevnoj osnovi;
6) u slučaju da koristi različite procene faktora konverzije za izračunavanje iznosa rizikom ponderisanih izloženosti i za interne svrhe, da korišćenje takvih procena dokumentuje i dokaže opravdanost njihove primene.
Banka je dužna da obezbedi da su procene faktora konverzije za izloženosti prema državama i centralnim bankama, privrednim društvima i bankama zasnovane na istorijskim podacima koji obuhvataju period od najmanje pet godina. Period posmatranja svake naredne godine povećava se za jednu godinu sve dok relevantni podaci ne obuhvate period od sedam godina, i to za najmanje jedan izvor podataka. Ako raspoloživi period posmatranja obuhvata duži period za bilo koji izvor i podaci su relevantni, banka je dužna da koristi taj duži period.
Banka buduća povlačenja sredstava može da uključi u sopstvene procene faktora konverzije za izloženosti prema fizičkim licima, ako ih već nije uključila u procenu LGD parametra.
Procene faktora konverzije za izloženosti prema fizičkim licima zasnivaju se na istorijskim podacima koji obuhvataju period od najmanje pet godina. Banka nije dužna da pridaje isti značaj istorijskim podacima ako može da dokaže da noviji podaci bolje predviđaju stope gubitaka. Izuzetno, banka može koristiti relevantne podatke koji obuhvataju period od dve godine ako je to utvrđeno saglasnošću za IRB pristup. Period posmatranja svake naredne godine povećava se za jednu godinu, sve dok relevantni podaci ne obuhvate period od pet godina.
Uslovi za ocenu efekata garancija i kreditnih derivata u slučaju sopstvene procene LGD parametra
98. Banka je dužna da pri sopstvenoj proceni LGD parametra kod podobnih garancija i davalaca ovih garancija utvrdi jasne i detaljne uslove za izbor davalaca garancija koje koristi radi izračunavanja iznosa rizikom ponderisanih izloženosti i da na davaoce garancija primenjuje odredbe tač. 86. do 88. ove odluke.
Garancija se daje u pismenoj formi, davalac garancije je ne može opozvati, važi dok se obaveza koja je njome garantovana ne izmiri u celini i može se realizovati u skladu s merodavnim pravom, a u slučaju da banka namerava da prihvata garancije koje sadrže uslove pod kojima davalac garancije nije dužan da izvrši obavezu (uslovne garancije), dužna je da to navede u zahtevu za dobijanje saglasnosti za IRB pristup, da dostavi dokaze da kriterijumi raspoređivanja izloženosti za koje je pribavljena uslovna garancija na odgovarajući način odražavaju sva moguća umanjenja efekata kreditne zaštite, kao i da utvrdi detaljne uslove prihvatanja i praćenja takvih garancija.
Banka je dužna da utvrdi jasne kriterijume za prilagođavanje rejting kategorija, skupova izloženosti ili sopstvenih procena LGD parametra. Za izloženosti prema fizičkim licima i po osnovu kupljenih potraživanja dužna je da utvrdi i odgovarajuće primenljive kriterijume koji se odnose na raspoređivanje izloženosti u rejting kategorije ili skupove izloženosti, kako bi iskazala uticaj garancija na računanje iznosa rizikom ponderisanih izloženosti. Ovi kriterijumi utvrđuju se tako da ispunjavaju uslove iz tač. 86. do 88. ove odluke i da odražavaju sposobnost i spremnost davaoca garancije da izvrši obavezu po osnovu date garancije, procenjenu dinamiku plaćanja davaoca garancije, stepen korelacije između sposobnosti davaoca garancije da izvršava obaveze po osnovu date garancije i sposobnosti dužnika da izmiruje obaveze i nivo rezidualnog rizika.
Minimalni uslovi za garancije propisani u st. 1. do 3. ove tačke primenjuju se i na kreditne derivate s jednim referentnim licem. Ako postoji neusklađenost između izloženosti za čiju zaštitu je pribavljen kreditni derivat i referentne obaveze po ovom derivatu ili obaveze na osnovu koje se određuje nastanak kreditnog događaja, banka je dužna da primenjuje odredbe tačke 165. stav 3. ove odluke. Banka je dužna da, u slučaju izloženosti prema fizičkim licima i izloženosti po osnovu kupljenih potraživanja, odredbe tačke 165. stav 3. ove odluke primenjuje i na raspoređivanje izloženosti u rejting kategorije ili skupove izloženosti. Kriterijumi za prilagođavanje moraju da odražavaju strukturu plaćanja po osnovu kreditnog derivata i da daju opreznu procenu njegovog uticaja na stepen i dinamiku naplate sredstava. Pri korišćenju kreditnih derivata banka je dužna da utvrdi preostali nivo rezidualnog rizika.
Banka ne primenjuje odredbe st. 1. do 4. ove tačke na garancije država i centralnih banaka, banaka i privrednih društava koji ispunjavaju uslove iz tačke 149. stav 1. odredba pod 7) ove odluke ako je dobila saglasnost Narodne banke Srbije da na izloženosti prema tim licima primenjuje standardizovani pristup kreditnom riziku u skladu s tač. 81. i 83. te odluke. U tom slučaju banka je dužna da primenjuje odredbe odeljka 3. ove glave.
Ako koristi garancije i jemstva lica prema kojima su izloženosti raspoređene u klasu izloženosti prema fizičkim licima, banka je dužna da pri raspoređivanju izloženosti u rejting kategorije ili skupove izloženosti, kao i pri proceni PD parametra, primenjuje odredbe iz st. 1. do 3. ove tačke.
Uslovi za kupljena potraživanja
99. Banka je dužna da pri kvantifikaciji parametara rizika za rejting kategorije ili skupove izloženosti kupljenih potraživanja primenjuje uslove propisane ovom tačkom.
Banka je dužna da ugovorom o otkupu potraživanja obezbedi da u svim predvidivim situacijama ima vlasništvo i kontrolu nad svim prilivima sredstava po osnovu potraživanja.
U slučaju da dužnik plaćanja vrši direktno prodavcu ili serviseru, banka je dužna da redovno proverava da li su ta plaćanja izvršena (preneta) u potpunosti i u skladu sa ugovorenim uslovima.
Banka je dužna da uspostavi procedure koje obezbeđuju zaštitu potraživanja i vlasništva nad prilivima sredstava po tom osnovu od stečaja i likvidacije ili od drugih pravnih situacija koje bi mogle osetno odložiti mogućnost realizacije ili prenosa potraživanja ili uticati na kontrolu nad prilivima sredstava.
Banka je dužna da prati kvalitet kupljenih potraživanja, kao i finansijsko stanje prodavca i servisera, a naročito da:
1) procenjuje korelaciju između kvaliteta kupljenih potraživanja, s jedne strane, i finansijskog stanja prodavca i servisera, s druge strane, kao i da uspostavi politike i procedure kojima se obezbeđuju adekvatne mere zaštite od nepredviđenih slučajeva i kojima se uređuje dodeljivanje internog rejtinga svim prodavcima i serviserima;
2) uspostavi jasne i efektivne politike i procedure za određivanje podobnosti prodavca i servisera, kao i da sprovodi i dokumentuje periodične provere prodavca i servisera radi utvrđivanja tačnosti izveštaja koje dobija od njih, otkrivanja prevare ili poslovnih slabosti i utvrđivanja kvaliteta njihove poslovne politike i prakse i procedura naplate;
3) procenjuje karakteristike skupova kupljenih potraživanja, uključujući i uslove plaćanja, postojanje prekoračenja ugovorenih iznosa kredita u odnosu na vrednost potraživanja, dospela nenaplaćena potraživanja, potraživanja lošeg kvaliteta i ispravke vrednosti po osnovu potraživanja lošeg kvaliteta;
4) uspostavi adekvatne politike i procedure za praćenje koncentracije po pojedinačnim prodavcima u okviru skupa i kroz skupove kupljenih potraživanja;
5) obezbedi da od servisera prima blagovremene i detaljne izveštaje o dospelosti i smanjenju vrednosti potraživanja, a radi usklađivanja s kriterijumima podobnosti i politikama i procedurama za upravljanje kupljenim potraživanjima, kao i da obezbedi adekvatno praćenje i proveru uslova prodaje potraživanja i načina na koji prodavac prati smanjenje vrednosti potraživanja.
Banka je dužna da uspostavi sistem ranog uočavanja pogoršanja finansijskog stanja prodavca i kvaliteta kupljenih potraživanja koji omogućavaju preventivno rešavanje uočenih problema, a dužna je i da uspostavi jasne i efektivne politike, procedure i informacione sisteme za praćenje kršenja ugovornih odredaba, kao i adekvatne procedure za pokretanje odgovarajućeg pravnog postupka i za postupanje s problematičnim kupljenim potraživanjima.
Banka je dužna da donese i primeni unutrašnja akta za upravljanje kupljenim potraživanjima, kreditima i gotovinom, koje obuhvataju sve važne elemente kupljenih potraživanja, uključujući i diskonte, podobna sredstva obezbeđenja, neophodnu dokumentaciju, limite koncentracije i način postupanja s primljenim gotovinskim uplatama. Ovim elementima uzimaju se u obzir svi značajni faktori, uključujući i finansijsko stanje prodavca i servisera, koncentraciju rizika, kao i trendove koji se odnose na kvalitet kupljenih potraživanja i one koji se odnose na prodavčevu bazu klijenata. Banka je dužna da obezbedi da se sredstva odobravaju samo ako su dostavljena potrebna sredstva obezbeđenja i sva neophodna dokumentacija.
Banka je dužna da uspostavi efektivne postupke za ocenu usklađenosti otkupa potraživanja sa unutrašnjim aktima, što uključuje najmanje sledeće redovnu reviziju svih faza procesa otkupa potraživanja, proveru da li je procena finansijskog stanja prodavca i servisera izvršena odvojeno od periodičnih provera prodavca i servisera, kao i procenu aktivnosti funkcije podrške banke, a posebno stručnosti, iskustva i broja zaposlenih, kao i procenu sistema koji omogućavaju automatizaciju procesa otkupa potraživanja.
v) Validacija internih procena
100. Banka je dužna da ispuni sledeće uslove u vezi sa validacijom internih procena:
1) da uspostavi adekvatne sisteme za validaciju tačnosti i doslednosti rejting sistema i procesa, te procena svih relevantnih parametara rizika, kao i da dokaže da joj proces interne validacije omogućava doslednu i odgovarajuću ocenu performansi sistema internog rejtinga i procena rizika;
2) da realizovane stope neizmirenja obaveza redovno poredi s procenjenim PD parametrom za svaku rejting kategoriju i, ako su te stope izvan očekivanog raspona za tu rejting kategoriju, da posebno analizira razloge tog odstupanja, a ako koristi sopstvene procene LGD parametra i/ili faktora konverzije, da na isti način analizira i te procene, pri čemu se ova poređenja zasnivaju na istorijskim podacima koji pokrivaju najduži mogući period, a banka je dokumentovala metode i podatke korišćene u tim poređenjima i sve ove analize i dokumentaciju ažurira najmanje jednom godišnje;
3) da koristi i druge metode kvantitativne validacije, kao i da vrši poređenja s podacima iz eksternih izvora, pri čemu se ove analize zasnivaju na podacima koji su odgovarajući za dati portfolio, koji su redovno ažurirani i koji se odnose na relevantan period posmatranja a interna ocena banke o performansama njenih modela se zasniva na najdužem mogućem periodu;
4) da obezbedi kontinuirano i dosledno korišćenje metoda i podataka koji se koriste za kvantitativnu validaciju, kao i da dokumentuje njihove promene uzimajući u obzir izvore podataka i period posmatranja;
5) da unutrašnjim aktima uspostavi jasne standarde za postupanje u situacijama kad realizovani PD parametar, LGD parametar, faktori konverzije, ukupni gubici i očekivani gubici (ako se koriste) odstupaju od procenjenih vrednosti ovih parametara rizika toliko da dovode u pitanje pouzdanost procena, kao i da ovi standardi uzimaju u obzir privredni ciklus i slične promene u okruženju koje mogu uticati na nastanak statusa neizmirenja obaveza, a ako su realizovane vrednosti i dalje veće od očekivanih, banka je dužna da poveća procene kako bi one odražavale ostvarene vrednosti.
g) Minimalni uslovi za primenu IRB pristupa za izloženosti po osnovu vlasničkih ulaganja
Kapitalni zahtevi i kvantifikacija rizika
101. Banka je dužna da, radi izračunavanja kapitalnih zahteva za izloženosti po osnovu vlasničkih ulaganja, ispuni sledeće uslove:
1) da njena procena potencijalnih gubitaka na odgovarajući način uzme u obzir uticaj nepovoljnih tržišnih kretanja na dugoročni rizični profil vlasničkih ulaganja banke;
2) da je podacima korišćenim za dobijanje raspodele prinosa po osnovu vlasničkih ulaganja obuhvaćen najduži period posmatranja za koji su podaci raspoloživi i značajni za procenu rizičnog profila vlasničkih ulaganja banke i da predstavljaju adekvatnu osnovu za obezbeđenje oprezne, statistički pouzdane i jasne procene gubitka koja nije zasnovana prvenstveno na subjektivnim razmatranjima;
3) da je dokazala da korišćene scenario analize tržišnih šokova obezbeđuju opreznu procenu potencijalnih gubitaka tokom relevantnog dugoročnog privrednog ciklusa;
4) da kombinuje empirijsku analizu raspoloživih podataka s prilagođavanjima zasnovanim na velikom broju faktora radi dobijanja realnijih i sveobuhvatnijih rezultata modela;
5) da, pri razvijanju VaR (Value at Risk) modela za procenu potencijalnih tromesečnih gubitaka, koristi tromesečne podatke ili da podatke iz kraćeg perioda konvertuje u ekvivalentne tromesečne podatke korišćenjem odgovarajućih analitičkih metoda, zasnovanih na empirijskim dokazima i razvijenim i dokumentovanim procesima i analizama, kao i da ovaj pristup primenjuje oprezno i dosledno tokom vremena i da, ako su joj raspoloživi samo ograničeni relevantni podaci, dodaje odgovarajuću maržu konzervativnosti;
6) da korišćeni modeli na odgovarajući način obuhvataju sve materijalno značajne rizike koji se odnose na prinos po osnovu vlasničkih ulaganja, uključujući i opšti tržišni rizik i rizike specifične za datu izloženost portfolija vlasničkih ulaganja banke, da interni modeli adekvatno objašnjavaju istorijske promene cena, identifikuju veličinu i promene u strukturi potencijalnih koncentracija ulaganja i da su primenljivi i u vanrednim tržišnim uslovima, kao i da populacija rizičnih izloženosti, predstavljena u podacima korišćenim za procenu, odgovara izloženostima banke po osnovu vlasničkih ulaganja ili je uporediva s njima;
7) da interni model odgovara rizičnom profilu i složenosti portfolija vlasničkih ulaganja banke, a ako banka ima materijalno značajna vlasnička ulaganja nelinearne prirode - da interni modeli na odgovarajući način obuhvataju rizike koji se odnose na ta ulaganja;
8) da je raspoređivanje pojedinačnih pozicija prema tržišnim indeksima i rizičnim faktorima verodostojno, zasnovano na odgovarajućim pretpostavkama i jasno;
9) da je empirijskim analizama dokazala adekvatnost rizičnih faktora, uključujući i njihovu sposobnost da obuhvate opšte i specifične rizike;
10) da procene volatilnosti prinosa po osnovu vlasničkih ulaganja uključuju sve relevantne i raspoložive podatke, informacije i metode, pri čemu se koriste podaci koji su bili predmet unutrašnje revizije ili podaci iz eksternih izvora (uključujući i podatke iz zajedničkih baza podataka);
11) da su uspostavljeni strogi i sveobuhvatni stres testovi.
Proces upravljanja rizicima i unutrašnje kontrole
102. Banka je dužna da pri korišćenju internih modela za izračunavanje kapitalnih zahteva za izloženosti po osnovu vlasničkih ulaganja, a radi obezbeđenja integriteta internih modela i procesa modeliranja, donese i primeni unutrašnja akta i uspostavi kontrolne procese kojima se naročito uređuje:
1) potpuna integrisanost internih modela u sistem izveštavanja rukovodstva banke i upravljanje portfolijom vlasničkih ulaganja iz bankarske knjige, pri čemu se pod potpunom integrisanošću podrazumeva da se ovi modeli koriste za merenje i procenu performansi portfolija vlasničkih ulaganja, uključujući i prilagođavanje rizicima, raspodelu internog kapitala na izloženosti po osnovu vlasničkih ulaganja, ocenu celokupne adekvatnosti kapitala i proces upravljanja investicijama;
2) uspostavljanje sistema upravljanja, procedura i kontrolnih funkcija radi obezbeđenja periodične i nezavisne provere svih elemenata procesa modeliranja, uključujući i odobravanje izmena, kontrolu ulaznih podataka, kao i proveru rezultata modela (npr. direktnu proveru i potvrđivanje rezultata) koja treba da utvrdi tačnost, sveobuhvatnost i adekvatnost ulaznih podataka i tih rezultata i da bude usmerena na pronalaženje i ograničavanje mogućih grešaka koje se odnose na poznate slabosti, kao i na identifikovanje nepoznatih slabosti modela, a koju sprovodi organizaciona jedinica ili treće lice koji nisu učestvovali u ovom procesu;
3) adekvatni sistemi i procedure za praćenje limita ulaganja i izloženosti rizicima po osnovu vlasničkih ulaganja;
4) da organizaciona jedinica odgovorna za razvoj i primenu modela bude funkcionalno nezavisna od organizacionih jedinica odgovornih za upravljanje pojedinačnim ulaganjima;
5) da lica odgovorna za bilo koji deo procesa modeliranja imaju odgovarajuću stručnost, kao i da za potrebe modeliranja rukovodstvo banke obezbedi dovoljan broj zaposlenih odgovarajuće stručnosti.
Validacija modela i prateća dokumentacija
103. Banka je dužna da uspostavi odgovarajući sistem validacije tačnosti i doslednosti internih modela i procesa modeliranja, pri čemu svi važni elementi tih modela i procesa treba da budu dokumentovani.
Banka je dužna da ispuni sledeće uslove u vezi sa validacijom internih modela i procesa modeliranja i pratećom dokumentacijom:
1) proces interne validacije se koristi za ocenu performansi internih modela i procesa modeliranja na dosledan i razumljiv način;
2) metodi i podaci koji se koriste za kvantitativnu validaciju dosledno se koriste tokom vremena, a promene u njima koje se odnose na izvore podataka i period posmatranja su adekvatno dokumentovane;
3) banka redovno vrši poređenje stvarnih prinosa po osnovu vlasničkih ulaganja (izračunatih na osnovu realizovanih i nerealizovanih dobitaka i gubitaka) s procenama modela i dokumentuje metode i podatke korišćene u ovim poređenjima, pri čemu se ova poređenja zasnivaju na istorijskim podacima koji pokrivaju najduži mogući period, a sve analize i dokumentacija se ažuriraju najmanje jednom godišnje;
4) banka koristi i druge metode kvantitativne validacije, vrši poređenja s podacima iz eksternih izvora koji su odgovarajući za portfolio vlasničkih ulaganja, koji su redovno ažurirani i koji se odnose na relevantan period posmatranja, pri čemu se interna ocena banke o performansama njenih modela zasniva na najdužem mogućem periodu;
5) uspostavljene su jasne procedure za postupanje u slučajevima kad poređenja stvarnih prinosa po osnovu vlasničkih ulaganja s procenama modela dovode u pitanje valjanost ovih procena ili samog modela i ovim procedurama se uzimaju u obzir privredni ciklus i slične promene u okruženju koje mogu uticati na prinos po osnovu vlasničkih ulaganja, a sva prilagođavanja internih modela nastala usled provera modela su dokumentovana i u skladu s politikama i procedurama banke koje se odnose na tu proveru;
6) interni model i proces modeliranja su dokumentovani, uključujući i opis odgovornosti svih lica uključenih u proces modeliranja, odobravanja i provere ovog modela.
Upravljanje
104. Upravni odbor ili odgovarajući odbor banke koji je upravni odbor odredio i izvršni odbor dužni su da odobre sve materijalno značajne aspekte procesa rejting sistema banke i procene parametara rizika, da razumeju strukturu i funkcionisanje tih sistema, kao i da budu upoznati sa izveštajima koji se odnose na ove sisteme.
Izvršni odbor je dužan da upravni odbor ili odgovarajući odbor iz stava 1. ove tačke obavesti o svim promenama ili izuzećima od uspostavljenih politika koji mogu bitno uticati na funkcionisanje rejting sistema banke. Izvršni odbor treba da bude upoznat sa strukturom i funkcionisanjem rejting sistema, kao i da obezbedi da ovaj sistem kontinuirano funkcioniše na odgovarajući način.
Organizaciona jedinica u čijem je delokrugu kontrola kreditnog rizika dužna je da izvršni odbor redovno izveštava o performansama rejting procesa, oblastima koje treba poboljšati i statusu aktivnosti usmerenih na poboljšanje prethodno identifikovanih nedostataka.
Izveštavanje rukovodstva banke obuhvata internu analizu rizičnog profila po osnovu kreditnog rizika banke zasnovanu na njenim internim rejtinzima. Ovo izveštavanje uključuje najmanje:
- rizični profil po rejting kategorijama;
- migraciju između rejting kategorija;
- procenu relevantnih parametara rizika po rejting kategorijama;
- poređenje realizovanih stopa neizmirenja obaveza sa očekivanim vrednostima i s rezultatima stres testova;
- poređenje sopstvenih procena realizovanih LGD parametara i realizovanih faktora konverzije sa očekivanim vrednostima i s rezultatima stres testova - ako banka primenjuje sopstvene procene ovih gubitaka i faktora.
Učestalost izveštavanja u smislu ove tačke zavisi od značaja i vrste informacija i nivoa korisnika izveštaja.
Kontrola kreditnog rizika
105. Banka je dužna da obezbedi jasnu organizacionu razdvojenost i operativnu nezavisnost funkcije kontrole kreditnog rizika od funkcije preuzimanja tog rizika. Organizaciona jedinica u čijem je delokrugu kontrola kreditnog rizika dužna je da direktno izveštava izvršni odbor banke, odgovorna je za razvoj ili izbor, implementaciju, nadziranje i performanse rejting sistema, a dužna je i da redovno sačinjava i analizira izveštaje o rezultatima tog sistema.
Odgovornost organizacione jedinice iz stava 1. ove tačke uključuje najmanje sledeće:
1) razvoj ili izbor rejting sistema, kao i implementaciju, nadziranje i performanse tog sistema;
2) testiranje i praćenje rejting kategorija i skupova izloženosti;
3) sačinjavanje i analizu izveštaja koji se odnose na rejting sisteme banke, a naročito o rezultatima tih sistema;
4) uspostavljanje procedure za proveru da li se definicije rejting kategorija i skupova izloženosti dosledno primenjuju u svim poslovnim jedinicama i geografskim oblastima;
5) proveru i dokumentovanje svih promena procesa dodeljivanja rejtinga, uključujući i razloge tih promena;
6) proveru rejting kriterijuma radi ocene njihove sposobnosti predviđanja, uz dokumentovanje promene procesa dodeljivanja rejtinga, rejting kriterijuma ili individualnih parametara rejtinga;
7) aktivno učestvovanje u izradi ili izboru, implementaciji i validaciji modela koji se koriste u procesu dodeljivanja rejtinga;
8) nadzor nad modelima korišćenim u procesu dodeljivanja rejtinga i kontrolu tih modela;
9) kontinuiranu proveru modela korišćenih u procesu dodeljivanja rejtinga i svih njihovih izmena.
Izuzetno od stava 2. ove tačke, ako koristi podatke iz zajedničke baze podataka u skladu s tačkom 94. stav 3. ove odluke, banka može trećem licu poveriti obavljanje sledećih aktivnosti:
1) sačinjavanje informacija relevantnih za testiranje i praćenje rejting kategorija i skupova izloženosti;
2) sačinjavanje izveštaja u vezi s rejting sistemima banke;
3) sačinjavanje informacija relevantnih za proveru rejting kriterijuma radi ocene njihove sposobnosti predviđanja;
4) dokumentovanje promena procesa dodeljivanja rejtinga, kriterijuma ili individualnih parametara rejtinga;
5) sačinjavanje informacija relevantnih za kontinuiranu proveru modela i svih izmena modela korišćenih u rejting procesu.
Unutrašnja revizija
106. Unutrašnja revizija je dužna da najmanje jednom godišnje proverava rejting sisteme i prateće aktivnosti banke, uključujući i aktivnosti u vezi s funkcijom preuzimanja kreditnog rizika i procene PD parametra, LGD parametra i očekivanih gubitaka, kao i faktora konverzije. Ova provera obuhvata i proveru usklađenosti sa svim primenljivim minimalnim uslovima propisanim u ovom pododeljku.
a) Izloženosti prema prema državama i centralnim bankama, privrednim društvima i bankama
PD parametar
107. PD parametar za izloženost prema privrednom društvu ili banci iznosi najmanje 0,03%.
PD parametar za izloženosti prema dužniku u statusu neizmirenja obaveza iznosi 100%.
Banka je dužna da za izloženosti po osnovu kupljenih potraživanja prema privrednim društvima za koje ne može da utvrdi PD parametar ili da dokaže da njene procene ovog parametra ispunjavaju minimalne uslove za procenu tog parametra propisane pododeljkom 2. ovog odeljka, taj parametar utvrđuje u skladu sa sledećim metodom:
- za izloženosti s pravom prvenstva u naplati po osnovu kupljenih potraživanja prema privrednim društvima - PD parametar jednak je odnosu procene EL i LGD parametara tih potraživanja,
- za subordinirane izloženosti po osnovu kupljenih potraživanja prema privrednim društvima - PD parametar jednak je proceni EL parametra,
- ako koristi AIRB pristup za izloženosti prema privrednim društvima i može pouzdano i na zadovoljavajući način da raščlani sopstvene procene EL parametra za kupljena potraživanja prema privrednim društvima na PD i LGD parametre - banka može da koristi procenjeni PD parametar dobijen na ovaj način.
Banka može koristiti nematerijalnu kreditnu zaštitu prilagođavanjem PD parametra u skladu s odredbama odeljka 3. ove glave. U slučaju rizika smanjenja vrednosti kupljenih potraživanja, pored podobnih pružalaca zaštite iz tačke 149. stav 1. odredba pod 7) ove odluke, prodavac kupljenog potraživanja se smatra podobnim ako su ispunjeni sledeći uslovi:
1) privredno društvo ima kreditni rejting podobne agencije za rejting kojem odgovara nivo kreditnog kvaliteta 3 ili bolji utvrđen na način iz odeljka 1. ove glave ili
2) u slučaju kada banka za izračunavanje iznosa rizikom ponderisanih izloženosti i iznosa očekivanih gubitaka koristi IRB pristup i privredno društvo nema kreditni rejting podobne agencije za rejting ali ima interni rejting kojem odgovara PD parametar jednak onome koji je pridružen nivou kreditnog kvaliteta 3 ili boljem utvrđenom na način iz odeljka 1. ove glave.
Ako koristi AIRB pristup banka može da prizna nematerijalnu kreditnu zaštitu prilagođavanjem PD parametra u skladu s tačkom 108. stav 3. ove odluke.
Radi izračunavanja iznosa rizikom ponderisanih izloženosti za rizik smanjenja vrednosti kupljenih potraživanja prema privrednim društvima, PD parametar jednak je proceni očekivanog gubitka za ovaj rizik. Ako koristi AIRB pristup za izloženosti prema privrednim društvima i može pouzdano i na zadovoljavajući način da raščlani sopstvene procene EL parametra za kupljena potraživanja prema privrednim društvima na PD i LGD parametre - banka može da koristi procenjeni PD parametar dobijen na ovaj način. Banka može da prizna nematerijalnu kreditnu zaštitu prilagođavanjem PD parametra u skladu sa odeljkom 3. ove glave.
Izuzetno od tačke 149. stav 1. odredba pod 7) ove odluke, privredna društva koja ispunjavaju uslove iz stava 4. ove tačke smatraju se podobnim pružaocima zaštite.
Ako koristi AIRB pristup za rizik smanjenja vrednosti kupljenih potraživanja prema privrednim društvima, banka može da prizna nematerijalnu kreditnu zaštitu prilagođavanjem PD parametra u skladu s tačkom 108. stav 3. ove odluke.
LGD parametar
108. Banka koja primenjuje FIRB pristup dužna je da koristi sledeće vrednosti LGD parametra:
1) za izloženosti s pravom prvenstva u naplati bez podobnog sredstva obezbeđenja - 45%;
2) za subordinirane izloženosti bez podobnog sredstva obezbeđenja - 75%;
3) u slučaju primene instrumenata materijalne i nematerijalne kreditne zaštite u skladu sa odeljkom 3. ove glave - vrednost LGD parametra prilagođenu na način iz tog odeljka;
4) za pokrivene obveznice koje ispunjavaju uslove za primenu tretmana iz tačke 57. st. 1. i 2. ove odluke - 11,25%.
5) za izloženosti s pravom prvenstva u naplati po osnovu kupljenih potraživanja prema privrednim društvima, ako banka ne može da dokaže da njene procene PD parametra ispunjavaju minimalne uslove iz pododeljka 2. ovog odeljka - 45%;
6) za subordinirane izloženosti po osnovu kupljenih potraživanja prema privrednim društvima, ako banka ne može da dokaže da njene procene PD parametra ispunjavaju minimalne uslove iz pododeljka 2. ovog odeljka - 100%;
7) za rizik smanjenja vrednosti kupljenih potraživanja prema privrednim društvima - 75%.
Radi izračunavanja iznosa rizikom ponderisanih izloženosti za kreditni rizik i rizik smanjenja vrednosti kupljenih potraživanja, banka koja koristi AIRB pristup za izloženosti prema privrednim društvima i može pouzdano i na zadovoljavajući način da raščlani sopstvene procene EL parametra za kupljena potraživanja prema privrednim društvima na PD i LGD parametre - može da koristi procenjeni LGD parametar dobijen na ovaj način.
Banka može, pri prilagođavanju PD parametra i/ili LGD parametra, da koristi nematerijalnu kreditnu zaštitu samo ako su ispunjeni uslovi iz pododeljka 2. ovog odeljka i ako je to utvrđeno u saglasnosti za IRB pristup. Banka ne može obezbeđenoj izloženosti da dodeljuje prilagođeni PD parametar ili takav LGD parametar pri kome je prilagođeni ponder rizika niži od onog koji se inače dodeljuje uporedivoj direktnoj izloženosti prema pružaocu zaštite.
Za potrebe tačke 118. stav 3. ove odluke kao LGD parametar uporedive direktne izloženosti prema pružaocu zaštite banka može koristiti ovaj parametar koji se odnosi na neobezbeđenu izloženost prema pružaocu zaštite ili prema dužniku ako tokom trajanja obezbeđene izloženosti raspoloživi dokazi i struktura kreditne zaštite ukazuju na to da, u slučaju nastupanja statusa neizmirenja obaveza i pružaoca zaštite i dužnika, iznos naplate zavisi prvenstveno od finansijskog stanja pružaoca zaštite, odnosno od dužnika, u zavisnosti od odabranog LGD parametra.
M parametar
109. Banka koja primenjuje FIRB pristup je dužna da izloženostima nastalim po osnovu repo transakcija ili transakcija davanja i uzimanja u zajam hartija od vrednosti ili robe dodeljuje M parametar od pola godine, a svim ostalim izloženostima M parametar od dve i po godine. Narodna banka Srbije u saglasnosti za IRB pristup uređuje da li banka koristi M parametar iz ovog stava ili ovaj parametar iz stava 2. ove tačke.
Ako koristi AIRB pristup za izloženosti prema državama i centralnim bankama, privrednim društvima ili bankama, banka je dužna da M parametar računa za svaku pojedinačnu izloženost, uzimajući u obzir odredbe ovog stava i st. 3. do 6. ove tačke - pri čemu M parametar ne može iznositi više od pet godina - na sledeći način:
1) za instrumente za koje je utvrđen plan otplate - M parametar se računa u skladu sa sledećom formulom:

gde CFt predstavlja novčane tokove (glavnicu, kamate, provizije i naknade) koje je dužnik obavezan da plati u godini t;
2) za derivate koji su predmet standardizovanih sporazuma o netiranju - M parametar se računa kao ponderisani prosek preostale ročnosti izloženosti, pri čemu M parametar iznosi najmanje jednu godinu, a za ponderisanje ročnosti koristi se hipotetički iznos svake izloženosti;
3) za izloženosti po osnovu potpuno ili pretežno obezbeđenih transakcija finansijskim derivatima navedenim u Prilogu 1, kao i po osnovu potpuno ili pretežno obezbeđenih transakcija kreditiranja trgovine hartijama od vrednosti koje su predmet standardizovanih sporazuma o netiranju - M parametar se računa kao ponderisani prosek preostale ročnosti transakcija i iznosi najmanje deset dana;
4) za izloženosti po osnovu repo transakcija, transakcija davanja ili uzimanja u zajam hartija od vrednosti ili robe po osnovu standardizovanih sporazuma o netiranju - M parametar se računa kao ponderisani prosek preostale ročnosti transakcija i iznosi najmanje pet dana, a za ponderisanje ročnosti koristi se hipotetički iznos svake transakcije;
5) ako banka koristi sopstvene procene PD parametra za kupljena potraživanja prema privrednim društvima po osnovu okvirnih kredita - za iskorišćene iznose okvirnih kredita kod kojih je banka preuzela potraživanja od davaoca ovih kredita, M parametar jednak je ponderisanoj prosečnoj ročnosti izloženosti po osnovu kupljenog potraživanja, pri čemu iznosi najmanje 90 dana, a na ovaj način izračunati M parametar koristi se i za neiskorišćene iznose ovih okvirnih kredita ako postoje ugovorne odredbe (kao što je mogućnost prevremenog reotkupa) koje štite banku od osetnog pogoršanja kvaliteta budućih potraživanja za koje se banka obavezala da će ih kupovati za vreme trajanja ugovora, a ako takva zaštita nije uspostavljena, M parametar se za neiskorišćene iznose okvirnih kredita računa kao zbir ročnosti potencijalnih potraživanja s najdužim mogućim rokom dospeća iz ugovora o otkupu potraživanja i preostale ročnosti ugovora, i pri tom iznosi najmanje 90 dana;
6) za ostale instrumente ili ako banka nije u mogućnosti da M parametar računa u skladu sa odredbom pod 1) ovog stava - kao M parametar koristi se najduže preostalo vreme (u godinama) koje je dužniku određeno za ispunjenje ugovornih obaveza, pri čemu ova ročnost iznosi najmanje jednu godinu;
7) za izloženosti čije vrednosti banka računa primenom metoda internih modela iz pododeljka 5. odeljka 5. ove glave, a ročnost ugovora s najdužim rokom dospeća iz skupa za netiranje je veća od jedne godine - M parametar se računa u skladu sa sledećom formulom:

gde je:
Stk = varijabla čija je vrednost za budući period vremena tk jednaka nuli ako je tk > 1 i jedan ako je tk ≤ 1;
EEtk = očekivana izloženost za budući period vremena tk;
Efektivna EEtk = efektivna očekivana izloženost za budući period vremena tk;
dftk = nerizični diskontni faktor za budući period vremena tk; i
Δtk = tk - tk-1.
8) ako koristi interne modele za računanje jednostranog prilagođavanja izloženosti po osnovu rizika druge ugovorne strane - banka može kao M parametar da koristi efektivnu ročnost procenjenu internim modelom, ako je to utvrđeno saglasnošću za IRB pristup, pri čemu je banka dužna da za skupove za netiranje u kojima svi ugovori imaju prvobitno ugovoreni rok dospeća kraći od godinu dana primenjuje formulu iz odredbe pod 1) ovog stava;
9) ako za izračunavanje iznosa izloženosti koristi metod internih modela iz pododeljka 5. odeljka 5. ove glave i ima saglasnost Narodne banke Srbije za primenu pristupa internih modela za specifični cenovni rizik dužničkih instrumenata kojima se trguje iz glave VII odeljak 6. ove odluke, banka za potrebe obračuna iz tačke 118. stav 1. ove odluke može da koristi vrednost M parametra jedan ako može da dokaže Narodnoj banci Srbije da interni modeli za specifični rizik dužničkih instrumenata kojima se trguje, a koje primenjuje za potrebe tačke 302. ove odluke, obuhvataju i efekte migracije rejtinga;
10) za potrebe tačke 118. stav 3. ove odluke kao M parametar izloženosti koristi se efektivna ročnost kreditne zaštite, pri čemu ova ročnost mora iznositi najmanje jednu godinu.
U slučaju dnevnog odmeravanja margina i dnevnog usklađivanja vrednosti, kao i ako je, u slučaju nastupanja statusa neizmirenja obaveza ili nemogućnosti odmeravanja margina, ugovorena mogućnost realizacije sredstva obezbeđenja bez odlaganja - M parametar je najmanje jedan dan za:
1) potpuno ili najvećim delom obezbeđene finansijske derivate navedene u Prilogu 1;
2) potpuno ili najvećim delom obezbeđene transakcije kreditiranja trgovine hartijama od vrednosti;
3) repo transakcije, transakcije davanja i uzimanja u zajam hartija od vrednosti ili robe.
Za kvalifikovane kratkoročne izloženosti koje nisu sastavni deo finansiranja dužnika M parametar je najmanje jedan dan, pri čemu ove izloženosti uključuju sledeće:
1) izloženosti prema bankama po osnovu izmirenja deviznih obaveza;
2) kratkoročne transakcije finansiranja trgovine koje se automatski zatvaraju a koje se odnose na razmenu robe i usluga sa preostalom ročnošću do jedne godine;
3) izloženosti po osnovu izmirenja kupovine ili prodaje hartija od vrednosti u okviru uobičajenog perioda isporuke ili u roku od dva radna dana;
4) izloženosti po osnovu izmirenja u novcu putem elektronskog prenosa i izmirenja elektronskih platnih transakcija i odnosnih unapred plaćenih troškova, uključujući prekoračenja po osnovu neuspešnih transakcija koje ne traju duže od kratkog unapred definisanog broja radnih dana.
Za izloženosti prema privrednim društvima iz Republike Srbije i Evropske unije koja pripadaju grupi čiji je ukupan godišnji prihod i imovina na konsolidovanom nivou manja od 60.000.000.000 dinara, banka može dosledno da koristi M parametar iz stava 1. ove tačke umesto M parametra iz stava 2. te tačke. Ako je pretežna delatnost ovih privrednih društava posedovanje i iznajmljivanje stambenih nekretnina koje nije špekulativno, banka može umesto 60.000.000.000 dinara kao limit da koristi 120.000.000.000 dinara.
U slučaju ročne neusklađenosti, banka je dužna da pri proceni M parametra primenjuje odredbe iz odeljka 3. ove glave.
b) Izloženosti prema prema fizičkim licima
PD parametar
110. PD parametar za izloženost prema fizičkim licima iznosi najmanje 0,03%.
PD parametar za izloženosti prema dužniku, odnosno izloženosti u statusu neizmirenja obaveza iznosi 100%.
Radi izračunavanja iznosa rizikom ponderisanih izloženosti za rizik smanjenja vrednosti kupljenih potraživanja prema fizičkim licima - PD parametar jednak je proceni očekivanog gubitka za ovaj rizik. Ako može pouzdano i na zadovoljavajući način da raščlani sopstvene procene EL parametra za kupljena potraživanja prema fizičkim licima na PD i LGD parametre - banka može da koristi procenjeni PD parametar dobijen na ovaj način.
Banka može da koristi nematerijalnu kreditnu zaštitu pri prilagođavanju PD parametra u skladu s tačkom 111. stav 2. ove odluke. U slučaju rizika smanjenja vrednosti kupljenih potraživanja, pored podobnih pružalaca kreditne zaštite iz tačke 149. stav 1. odredba pod 7) ove odluke, prodavac kupljenih potraživanja se smatra podobnim pružaocem zaštite ako su ispunjeni uslovi iz tačke 107. stav 4. te odluke.
LGD parametar
111. Banka je dužna da obezbedi sopstvene procene LGD parametra koje ispunjavaju uslove propisane u pododeljku 2. ovog odeljka.
Radi izračunavanja iznosa rizikom ponderisanih izloženosti za rizik smanjenja vrednosti kupljenih potraživanja prema fizičkim licima - banka je dužna da koristi LGD parametar od 75%. Ako može pouzdano i na zadovoljavajući način da raščlani sopstvene procene EL parametra za kupljena potraživanja prema fizičkim licima na PD i LGD parametre - banka može da koristi procenjeni LGD parametar dobijen na ovaj način.
Banka može da koristi nematerijalnu kreditnu zaštitu prilikom prilagođavanja PD parametra i/ili LGD parametra za pojedinačnu izloženost ili za skup izloženosti samo ako su ispunjeni uslovi iz tačke 98. st. 1. do 3. ove odluke i ako je to utvrđeno u saglasnosti za IRB pristup. Banka ne može obezbeđenoj izloženosti da dodeljuje takav prilagođeni PD ili LGD parametar pri kome će ponder rizika biti niži od onog koji se inače dodeljuje uporedivoj direktnoj izloženosti prema pružaocu zaštite.
Radi izračunavanja iznosa rizikom ponderisanih izloženosti za izloženosti iz tačke 122. stav 2. ove odluke, kao LGD parametar uporedive direktne izloženosti prema pružaocu zaštite iz tačke 118. stav 3. te odluke banka može da koristi ovaj parametar koji se odnosi na neobezbeđenu izloženost na način utvrđen tačkom 108. stav 4. te odluke.
Prosečni LGD parametar ponderisan izloženošću za izloženosti prema fizičkim licima koje su obezbeđene hipotekama na stambenim nepokretnostima za koje ne postoji garancija države ne može biti niži od 10%.
Prosečni LGD parametar ponderisan izloženošću za izloženosti prema fizičkim licima koje su obezbeđene hipotekama na poslovnim nepokretnostima za koje ne postoji garancija države ne može biti niži od 15%.
Banka je dužna da na izloženosti obezbeđene hipotekama na nepokretnostima primenjuje više minimalne vrednosti LGD parametra od onih propisanih st. 5. i 6. ove tačke ako je nadležno regulatorno telo države u kojoj se nepokretnost nalazi utvrdilo takve vrednosti ovog parametra.
v) Izloženosti po osnovu vlasničkih ulaganja prema PD/LGD metodi
112. Za izloženosti po osnovu vlasničkih ulaganja na koje banka primenjuje PD/LGD metod - PD parametar se određuje u skladu s metodima za utvrđivanje ovog parametra za izloženosti prema privrednim društvima. Banka je dužna da primenjuje sledeće minimalne PD parametre:
1) 0,09% - za izloženosti po osnovu vlasničkih ulaganja kojima se trguje na berzi i koje predstavljaju deo dugoročnog poslovnog odnosa s klijentom;
2) 0,09% - za izloženosti po osnovu vlasničkih ulaganja kojima se ne trguje na berzi i čiji su prinosi zasnovani na redovnim i periodičnim novčanim tokovima, a ne na kapitalnim dobicima;
3) 0,40% - za ostale izloženosti po osnovu vlasničkih ulaganja kojima se trguje na berzi, uključujući i kratke pozicije iz tačke 125. stav 2. ove odluke;
4) 1,25% - za ostale izloženosti po osnovu vlasničkih ulaganja kojima se ne trguje na berzi, uključujući i kratke pozicije iz tačke 125. stav 2. te odluke.
Banka može izloženostima po osnovu vlasničkih ulaganja kojima se ne trguje na berzi, a koja su u dovoljno diversifikovanim portfolijima, da dodeljuje LGD parametar od 65%, a svim ostalim izloženostima po osnovu vlasničkih ulaganja dužna je da dodeljuje LGD parametar od 90%.
Banka je dužna da svim izloženostima po osnovu vlasničkih ulaganja dodeljuje M parametar od pet godina.
4. Izračunavanje iznosa izloženosti
113. Banka je dužna da iznos izloženosti po osnovu bilansnih pozicija izračunava u bruto iznosu, pre umanjenja za iznos prilagođavanja za kreditni rizik, osim ako nije drugačije propisano ovim pododeljkom.
Banka odredbe stava 1. ove tačke primenjuje i na imovinu kupljenu po ceni različitoj od iznosa koji se duguje. Za imovinu kupljenu uz diskont ili premiju, iznos izloženosti je nominalni iznos, bez korigovanja za iznos diskonta ili premije. Radi računanja iznosa rizikom ponderisanih izloženosti po osnovu kupljenih potraživanja kao iznos izloženosti koristi se preostali iznos tog potraživanja umanjen za kapitalni zahtev za rizik smanjenja vrednosti kupljenih potraživanja, pre primene instrumenata kreditne zaštite.
Ako koristi standardizovane sporazume o netiranju koji se odnose na repo transakcije ili transakcije davanja ili uzimanja u zajam hartija od vrednosti ili robe, banka je dužna da iznos izloženosti računa u skladu sa odeljkom 3. ili odeljkom 5. ove glave.
Za bilansno netiranje potraživanja i obaveza po osnovu kredita i depozita, banka je dužna da, pri računanju iznosa izloženosti, koristi iznos izloženosti izračunat u skladu sa odeljkom 3. ove glave.
Iznos izloženosti po osnovu lizinga jednak je sadašnjoj vrednosti lizing naknade. Ako lice koje nije korisnik lizinga ima obavezu plaćanja preostale vrednosti predmeta lizinga (razlike između neamortizovane i tržišne vrednosti predmeta lizinga) i ova obaveza ispunjava uslove iz tač. 149. i 162. ove odluke, može se priznati kao instrument kreditne zaštite u skladu sa odeljkom 3. ove odluke.
U slučaju finansijskih derivata navedenih u Prilogu 1, iznos izloženosti utvrđuje se korišćenjem metoda propisanih u odeljku 5. ove glave bez uzimanja u obzir prilagođavanja za kreditni rizik.
Za izloženosti u obliku hartija od vrednosti ili robe koje su prodate, založene kao sredstvo obezbeđenja ili date u zajam po osnovu repo transakcija ili transakcija davanja ili uzimanja u zajam hartija od vrednosti ili robe, transakcija s dugim rokom izmirenja i transakcija kreditiranja trgovine hartijama od vrednosti - banka je dužna da iznos izloženosti utvrđuje kao vrednost odnosne hartije od vrednosti ili robe u skladu sa računovodstvenim propisima. Ako koristi složeni metod za sredstva obezbeđenja u skladu s tač. 174. do 179. ove odluke, banka je dužna da iznos izloženosti ovih hartija ili robe uveća za faktor volatilnosti koji odgovara tim hartijama ili robi. Iznos izloženosti po osnovu repo transakcija, transakcija davanja ili uzimanja u zajam hartija od vrednosti ili robe, transakcija s dugim rokom izmirenja i transakcija kreditiranja trgovine hartijama od vrednosti banka može da utvrđuje u skladu sa odeljkom 3. ove glave ili u skladu s tačkom 169. ove odluke.
Iznos izloženosti za vanbilansne stavke se računa kao odobreni i neiskorišćeni iznos pomnožen faktorima konverzije u skladu s tačkom 116. stav 8. ove odluke. Za izloženosti prema državama i centralnim bankama, privrednim društvima i bankama primenjuju sledeći faktori konverzije:
1) 0% - za neiskorišćeni iznos okvirnog kredita (uključujući i okvirne revolving kredite uz otkup potraživanja) koje banka može bezuslovno i bez prethodne najave otkazati ili za koje je ugovoreno pravo banke da jednostrano raskine ugovor usled pogoršanja kreditne sposobnosti dužnika, pod uslovom da banka aktivno prati finansijsko stanje dužnika i da joj sistem unutrašnjih kontrola omogućava blagovremeno uočavanje tog pogoršanja, pri čemu se ovaj kredit za fizička lica smatra bezuslovno opozivim ako je to predviđeno propisima kojima se uređuje zaštita klijenata banke - fizičkih lica ili ugovorni uslovi dopuštaju banci da ga u potpunosti opozove;
2) 20% - za kratkoročne potvrđene akreditive nastale po osnovu isporuke robe, kako za banku koja je izdala akreditive tako i za onu koja ih je potvrdila;
3) 75% - za okvirne kredite koji nisu obuhvaćeni odredbom pod 1) ovog stava, uključujući preuzete vanbilansne obaveze po osnovu izdavanja kratkoročnih obveznica ili zapisa (NIF) i revolving obaveze po osnovu pružanja usluga pokroviteljstva emisije srednjoročnih obveznica ili zapisa sa obavezom otkupa (RUF);
4) ako ispunjava uslove iz pododeljka 2. ovog odeljka za sopstvene procene faktora konverzije i ako je to utvrđeno u saglasnosti za IRB pristup, banka može koristiti sopstvene procene faktora konverzije za vrste proizvoda navedene u odredbama 1) do 3) ovog stava.
U slučaju da se banka ugovorom kojim je preuzela vanbilansnu obavezu obavezala na preuzimanje nove vanbilansne obaveze, primenjuje se faktor konverzije koji je niži od faktora konverzije koji se odnose na ove obaveze.
Za izloženosti za vanbilansne stavke koje nisu navedene u st. 2. do 7. ove tačke, primenjuju se sledeći faktori konverzije:
1) 0% - ako je vanbilansna stavka raspoređena u kategoriju niskog rizika;
2) 20% - ako je vanbilansna stavka raspoređena u kategoriju umerenog rizika;
3) 50% - ako je vanbilansna stavka raspoređena u kategoriju srednjeg rizika;
4) 100% - ako je vanbilansna stavka raspoređena u kategoriju visokog rizika.
114. Iznos izloženosti po osnovu vlasničkih ulaganja jeste njihova vrednost prikazana u finansijskim izveštajima nakon umanjenja za specifična prilagođavanja za kreditni rizik.
Za izloženosti po osnovu vlasničkih ulaganja koja se vode u vanbilansnim stavkama iznos izloženosti se utvrđuje kao nominalna vrednost ulaganja umanjena za pripadajuća specifična prilagođavanja za kreditni rizik.
115. Iznos izloženosti po osnovu ostale imovine jeste njihova vrednost prikazana u finansijskim izveštajima nakon umanjenja za iznos pripadajućih specifičnih prilagođavanja za kreditni rizik.
5. Izračunavanje iznosa rizikom ponderisanih izloženosti
116. Banka je dužna da iznos rizikom ponderisanih izloženosti za kreditni rizik za izloženosti koje pripadaju klasama izloženosti iz tačke 73. stav 1. odredbe 1) do 5) i odredba pod 7) ove odluke, računa u skladu s tač. 118. do 128. ove odluke, osim ako one ne predstavljaju odbitne stavke od kapitala.
Banka je dužna da iznos rizikom ponderisanih izloženosti za rizik smanjenja vrednosti potraživanja računa u skladu s tačkom 129. ove odluke. Ako banka ima ugovoreno pravo regresa s prodavcem kupljenog potraživanja - za kreditni rizik i rizik smanjenja vrednosti potraživanja - nije dužna da primenjuje odredbe ove tačke, kao ni tač. 117. i 130. ove odluke, već ta potraživanja može tretirati kao obezbeđena.
Banka je dužna da računanje iznosa rizikom ponderisanih izloženosti za kreditni rizik i rizik smanjenja vrednosti potraživanja zasniva na relevantnim parametrima rizika za datu izloženost - PD, LGD i M parametrima i vrednostima izloženosti. PD i LGD parametri mogu se posmatrati pojedinačno ili zajedno, u skladu s pododeljkom 6. ovog odeljka.
Banka je dužna da iznos rizikom ponderisanih izloženosti za kreditni rizik za izloženosti koje pripadaju klasi izloženosti u obliku vlasničkih ulaganja iz tačke 73. stav 1. odredba pod 5) ove odluke računa u skladu s tač. 124. do 127. te odluke. Banka može da koristi pristupe iz tač. 126. i 127. ove odluke samo uz prethodnu saglasnost Narodne banke Srbije. Narodna banka Srbije može banci dati saglasnost za primenu pristupa internih modela iz tačke 127. ove odluke ako su ispunjeni minimalni uslovi iz tač. 101. do 103. te odluke.
Banka može iznos rizikom ponderisanih izloženosti za kreditni rizik za izloženosti po osnovu specijalizovanog kreditiranja da računa u skladu s tačkom 119. ove odluke.
Za izloženosti koje pripadaju klasama izloženosti iz tačke 73. stav 1. odredbe 1) do 4) ove odluke banka je dužna da obezbedi sopstvene procene PD parametra u skladu s tačkom 69. ove odluke i pododeljkom 2. ovog odeljka.
Za izloženosti koje pripadaju klasi izloženosti iz tačke 73. stav 1. odredba pod 4) ove odluke banka je dužna da obezbedi sopstvene procene LGD parametra i faktora konverzije u skladu s tačkom 69. ove odluke i pododeljkom 2. ovog odeljka.
Za izloženosti koje pripadaju klasama izloženosti iz tačke 73. stav 1. odredbe 1) do 3) ove odluke, banka je dužna da primenjuje procene LGD parametra iz tačke 108. stav 1. ove odluke i faktore konverzije iz tačke 113. stav 8. odredbe 1) do 3) te odluke, osim ako nije dobila saglasnost za primenu sopstvenih procena LGD parametra i faktora konverzije za ove klase izloženosti u skladu s stavom 9. ove tačke.
Za izloženosti koje pripadaju klasama izloženosti iz tačke 73. stav. odredbe 1) do 3) ove odluke, Narodna banka Srbije može banci dati saglasnost za primenu sopstvenih procena LGD parametra i faktora konverzije u skladu s tačkom 69. ove odluke i pododeljkom 2. ovog odeljka.
Banka je dužna da iznos rizikom ponderisanih izloženosti za sekjuritizovane izloženosti i izloženosti koje pripadaju klasi izloženosti po osnovu sekjuritizovanih pozicija iz tačke 73. stav 1. odredba pod 6) ove odluke računa u skladu s odeljkom 4. ove glave.
117. Ako izloženosti po osnovu ulaganja u otvoreni investicioni fond ispunjavaju uslove iz tačke 60. stav 2. ove odluke i ako je banka potpuno ili delimično upoznata sa strukturom izloženosti tog fonda, dužna je da analizira odnosne izloženosti radi izračunavanja iznosa rizikom ponderisanih izloženosti i iznosa očekivanih gubitaka za odnosne izloženosti u skladu s metodima propisanim ovim odeljkom. Kada otvoreni investicioni fond ulaže u drugi otvoreni investicioni fond, banka je dužna da analizira izloženosti odnosnih otvorenih investicionih fondova.
Ako banka ne ispunjava uslove propisane ovim odeljkom za korišćenje metoda iz stava 1. ove tačke, dužna je da iznos rizikom ponderisanih izloženosti i iznos očekivanih gubitaka za ukupnu izloženost ili za deo izloženosti iz stava 1. ove tačke računa na sledeći način:
1) za izloženosti koje pripadaju klasi izloženosti po osnovu vlasničkih ulaganja iz tačke 73. stav 1. odredba pod 5) ove odluke - korišćenjem pristupa jednostavnih pondera rizika iz tačke 125. te odluke, pri čemu je banka dužna da vodi računa i o sledećem:
- ako nije u mogućnosti da napravi razliku između ulaganja kojima se ne trguje na berzi, ulaganja kojima se trguje na berzi i ostalih izloženosti u obliku vlasničkih ulaganja - dužna je da ih tretira kao ostale izloženosti po osnovu vlasničkih ulaganja,
- ako zbir ovakvih (indirektnih) izloženosti i direktnih izloženosti u ovoj klasi nije materijalno značajan u smislu tačke 83. stav 2. ove odluke, banka može, uz saglasnost Narodne banke Srbije, da primenjuje tačku 83. st. 1. te odluke;
2) za sve ostale odnosne izloženosti koje su raspoređene u kategoriju izloženosti bez rejtinga ili u kategoriju s najlošijim nivoom kreditnog kvaliteta dodeljuje se ponder rizika u skladu sa odeljkom 1. ove glave pomnožen faktorom 2, pri čemu dobijeni ponder ovog rizika ne može biti veći od 1.250%;
3) za sve ostale izloženosti dodeljuje se ponder rizika u skladu sa odeljkom 1. ove glave pomnožen faktorom 1,1, pri čemu dobijeni ponder ovog rizika ne može biti manji od 5%.
Ako nisu ispunjeni uslovi iz tačke 60. stav 2. ove odluke ili banka nije upoznata sa strukturom izloženosti otvorenog investicionog fonda ili sa strukturom izloženosti odnosnih otvorenih investicionih fondova (kada otvoreni investicioni fond ulaže u drugi otvoreni investicioni fond), dužna je da analizira odnosne izloženosti i da iznos rizikom ponderisanih izloženosti i iznos očekivanih gubitaka računa korišćenjem pristupa jednostavnih pondera rizika iz tačke 125. te odluke. Ako banka nije u mogućnosti da napravi razliku između ulaganja kojima se ne trguje na berzi, ulaganja kojima se trguje na berzi i ostalih izloženosti u obliku vlasničkih ulaganja - dužna je da ih tretira kao ostale izloženosti po osnovu vlasničkih ulaganja. Izloženosti po osnovu ulaganja koja nisu vlasnička ulaganja raspoređuju se u klasu izloženosti po osnovu ostalih vlasničkih ulaganja.
Izuzetno od stava 3. ove tačke, banka može da izračunava sama ili da koristi prosečan iznos rizikom ponderisanih izloženosti koji je, na osnovu strukture izloženosti, izračunalo treće lice, u skladu sa stavom 2. ove tačke pod uslovom da je obračun potvrđen od strane spoljnog revizora i da je to treće lice:
- depozitar fonda koji je banka ili drugo lice iz finansijskog sektora, ako ovaj fond ulaže isključivo u hartije od vrednosti i deponuje ih kod ovog depozitara ili
- za fond za koji nije ispunjen uslov iz prve alineje ovog stava, društvo za upravljanje ovim fondom ako to društvo ispunjava uslove iz tačke 60. stav 2. odredba pod 1) ove odluke.
b) Izračunavanje iznosa rizikom ponderisanih izloženosti za kreditni rizik
Iznos rizikom ponderisanih izloženosti prema državama i centralnim bankama, privrednim društvima i bankama
118. Banka je dužna da iznos rizikom ponderisanih izloženosti za izloženosti prema državama i centralnim bankama, privrednim društvima i bankama računa u skladu sa sledećim formulama:
![]()
b - (0,11852-0,05478xln(PD))2
![]()
RWEA = RW x EAD.
gde je:
R = korelacija koja predstavlja meru sistemskog rizika;
b = faktor ročnog prilagođavanja koji odražava uticaj PD parametra;
N(x) = funkcija kumulativne raspodele verovatnoće za standardnu normalnu slučajnu promenljivu (tj. verovatnoća da normalna slučajna promenljiva sa očekivanom vrednošću nula i varijansom 1 bude jednaka x ili manja);
G(Z) = inverzna funkcija kumulativne raspodele verovatnoće za standardnu normalnu slučajnu promenljivu (tj. vrednost x takva da je N(x)=z);
RW = ponder rizika;
RWEA = iznos rizikom ponderisane izloženosti;
EAD = iznos izloženosti.
Za PD = 0, ponder rizika (RW) je 0%.
Za PD = 1, odnosno za izloženosti u statusu neizmirenja obaveza:
- ako banka primenjuje vrednost LGD parametra iz tačke 108. stav 1. ove odluke - RW je 0%,
- ako banka primenjuje sopstvene procene LGD parametra:
RW = Max{0; 12,5 × (LGD-ELBE)},
gde je ELBE najbolja procena očekivanog gubitka banke za izloženost u statusu neizmirenja obaveza u skladu s tačkom 96. stav 1. odredba pod 8) ove odluke.
Za sve izloženosti prema velikim licima iz finansijskog sektora banka je dužna da korelaciju (R) iz stava 1. ove tačke pomnoži sa 1,25. Za sve izloženosti prema neregulisanim licima iz finansijskog sektora, banka je dužna da korelaciju (R) iz st 1. i 4. ove tačke pomnoži sa 1,25.
Banka može iznos rizikom ponderisanih izloženosti za izloženosti koje ispunjavaju uslove iz tač. 150. i 166. ove odluke da prilagođava primenom sledeće formule:
RWEA = RW × EAD × (0,15 + 160×PDpp),
gde je:
PDpp = PD pružaoca zaštite.
RW = ponder rizika izračunat korišćenjem formule za ovaj ponder iz stava 1. ove tačke, pri čemu se kao ulazni parametri koriste PD parametar dužnika i LGD parametar uporedive direktne izloženosti prema pružaocu zaštite, a faktor ročnosti (b) se računa korišćenjem PD parametra pružaoca zaštite ili PD parametra dužnika, zavisno od toga koji je niži.
Pri izračunavanju pondera rizika za potrebe obračuna iznosa rizikom ponderisanih izloženosti iz stava 1. ove tačke, za izloženosti prema privrednim društvima koja pripadaju grupi čiji je ukupan godišnji prihod na konsolidovanom nivou manji od 6.000.000.000 dinara, banka može da koristi sledeću formulu:

u kojoj S predstavlja ukupan godišnji prihod u milionima evra, pri čemu je 5 miliona evra ≤ S ≤ 6.000.000.000 dinara; ako je prijavljeni ukupan godišnji prihod manji od 600.000.000 dinara, S je jednak tom iznosu, dok je za kupljena potraživanja ukupan godišnji prihod jednak proseku ponderisanom individualnim izloženostima iz skupa izloženosti.
Banka je dužna da ukupan godišnji prihod zameni ukupnom aktivom na konsolidovanom nivou grupe ako ukupna aktiva predstavlja adekvatniji pokazatelj veličine privrednog društva od ukupnog godišnjeg prihoda.
119. Banka je dužna da izloženostima po osnovu specijalizovanog kreditiranja za koje ne može da dokaže da njene procene PD parametra ispunjavaju minimalne uslove propisane u pododeljku 2. ovog odeljka dodeljuje pondere rizika na osnovu rizičnih kategorija iz Priloga 2, a u skladu sa sledećom tabelom:
Tabela 11.
Preostala ročnost |
Rizična |
Rizična |
Rizična |
Rizična |
Rizična |
< 2,5 godine |
50% |
70% |
115% |
250% |
0% |
≥ 2,5 godine |
70% |
90% |
115% |
250% |
0% |
Rizična kategorija 5 iz Tabele 11. obuhvata dužnike u statusu neizmirenja obaveza.
Pri dodeljivanju pondera rizika izloženostima po osnovu specijalizovanog kreditiranja, banka je dužna da uzme u obzir sledeće faktore: finansijsku isplativost projekta, političko i zakonodavno okruženje, karakteristike projekta i/ili imovine, finansijsku snagu i iskustvo lica uključenih u projekat, uključujući i sve novčane tokove koji proizlaze iz javno-privatnog partnerstva, kao i faktore koji se odnose na kreditnu zaštitu.
120. Banka je dužna da se pridržava uslova u vezi sa kupljenim potraživanjima od privrednih društava iz tačke 99. ove odluke. Za kupljena potraživanja od privrednih društava za koja su ispunjeni i uslovi iz tačke 123. stav 1. ove odluke i za koje bi korišćenje standarda za kvantifikaciju rizika iz pododeljka 2. ovog odeljka za izloženosti prema ovim privrednim društvima predstavljalo nepotrebno opterećenje banka može koristiti standarde za kvantifikaciju rizika za izloženosti prema fizičkim licima iz pododeljka 2. ovog odeljka.
U slučaju kupljenih potraživanja od privrednih društava, banka može diskonte sa regresom, sredstva obezbeđenja ili garancije koje pružaju zaštitu od prvog gubitka za gubitke usled neizmirenja obaveza i/ili usled smanjenja vrednosti potraživanja za kupljena potraživanja, da tretira kao pozicije prvog gubitka, prema IRB okviru sekjuritizacije.
121. Ako je banka uspostavila jedan instrument kreditne zaštite za više izloženosti pod uslovom da n-to neizmirenje obaveze među izloženostima pokreće plaćanje i da taj kreditni događaj dovodi do raskida ugovora i ovaj instrument ima rejting podobne agencije za rejting, dužna je da primenjuje pondere rizika u skladu sa odeljkom 4. ove odluke. Ako ne postoji rejting podobne agencije za rejting za ovaj instrument, ponderi rizika izloženosti iz grupe se sabiraju, isključujući (n-1) izloženosti, pri čemu zbir iznosa očekivanih gubitaka pomnoženih sa 12,5 i iznosa rizikom ponderisanih izloženosti ne može preći nominalni iznos zaštite po osnovu kreditnog derivata pomnožen sa 12,5. Banka je dužna da utvrdi (n-1) izloženosti koje se isključuju iz sabiranja kao one izloženosti koje imaju najniži iznos rizikom ponderisanih izloženosti od svih izloženosti uključenih u sabiranje. Na izloženosti iz grupe za koje ne može da utvrdi ponder rizika primenom IRB pristupa, banka je dužna da primeni ponder 1.250%.
Iznos rizikom ponderisanih izloženosti prema fizičkim licima
122. Banka je dužna da iznos rizikom ponderisanih izloženosti za izloženosti prema fizičkim licima računa u skladu sa sledećim formulama:
RWEA=RW X EAD,
gde je:
R = korelacija koja predstavlja meru sistemskog rizika;
N(x) = funkcija kumulativne raspodele verovatnoće za standardnu normalnu slučajnu promenljivu (tj. verovatnoća da ta promenljiva sa očekivanom vrednošću nula i varijansom 1 bude jednaka x ili manja);
G(Z) = inverzna funkcija kumulativne raspodele verovatnoće za standardnu normalnu slučajnu promenljivu (tj. vrednost x takva da je N(x)=z);
RW = ponder rizika;
RWEA = iznos rizikom ponderisane izloženosti;
EAD = iznos izloženosti.
Za PD = 1, odnosno za izloženosti u statusu neizmirenja obaveza:
RW = Max{0; 12,5 × (LGD-ELBE)},
gde je ELBE najbolja procena očekivanog gubitka banke za izloženost u statusu neizmirenja obaveza u skladu s tačkom 96. stav 1. odredba pod 8) ove odluke.
Banka može iznos rizikom ponderisanih izloženosti za izloženosti prema malim i srednjim preduzećima iz tačke 76. ove odluke koje ispunjavaju uslove iz tač. 150. i 166. te odluke da računa u skladu s tačkom 118. stav 3. te odluke.
Za izloženosti prema fizičkim licima koje su obezbeđene hipotekom na nepokretnostima, banka ne koristi formulu za korelaciju (R) iz stava 1. ove tačke, već korelaciju koja iznosi 0,15, a za kvalifikovane revolving izloženosti prema fizičkim licima ne koristi formulu za korelaciju (R) iz tog stava, već korelaciju koja iznosi 0,04.
U kvalifikovane revolving izloženosti prema fizičkim licima raspoređuju se izloženosti koje ispunjavaju sledeće uslove:
1) da je dužnik fizičko lice;
2) da su revolving izloženosti neobezbeđene, pri čemu se pod revolving izloženostima podrazumevaju izloženosti kod kojih je ugovoren limit a čiji se iskorišćeni iznos može menjati na osnovu odluke dužnika da odobrena sredstva koristi ili otplaćuje, s tim da banka može opozvati neiskorišćeni iznos limita bezuslovno i bez prethodne najave (neiskorišćeni iznos limita smatra se bezuslovno opozivim ako je to dozvoljeno u skladu s propisima i ugovorom);
3) da najveća izloženost prema jednom licu u potportfoliju nije veća od 12.000.000 dinara;
4) da banka korelaciju iz stava 3. ove tačke koristi samo za potportfolija s niskom volatilnošću stopa gubitka u odnosu na prosečne stope gubitka portfolija, naročito za izloženosti u okviru malih PD raspona, pri čemu je dužna da, na zahtev Narodne banke Srbije, dostavi informacije o značajnim karakteristikama ovih stopa, uključujući i relativnu volatilnost tih stopa - po kvalifikovanim revolving potportfolijima fizičkih lica, kao i za ukupni kvalifikovani revolving portfolio tih lica;
5) da je tretman ovih izloženosti u skladu sa odgovarajućim karakteristikama rizika datog potportfolija.
Neobezbeđenim izloženostima, u smislu stava 4. odredba pod 2) ove tačke, smatraju se i kreditni poslovi povezani s tekućim računom fizičkog lica na koji se uplaćuju redovni mesečni prihodi tog lica. U ovom slučaju banka pri proceni LGD parametra ne uzima u obzir iznose naplaćene s tog tekućeg računa.
123. Da bi kupljena potraživanja bila razvrstana u klasu izloženosti prema fizičkim licima, pored uslova iz tačke 99. ove odluke, moraju biti ispunjeni i sledeći uslovi:
1) da je banka kupila potraživanja od lica koje nije s njom povezano i da nije direktno ili indirektno učestvovala u nastanku tih potraživanja;
2) da su kupljena potraživanja nastala u redovnim tržišnim uslovima između lica koja nisu povezana i da ne uključuju međusobna potraživanja između dužnika i poverioca koja mogu biti predmet prebijanja;
3) da banka ima pravo na sve prilive od kupljenih potraživanja ili na njihov srazmeran deo;
4) da je portfolio kupljenih potraživanja dovoljno diversifikovan.
U slučaju kupljenih potraživanja, banka može diskonte sa regresom, sredstva obezbeđenja ili garancije koje pružaju zaštitu od prvog gubitka za gubitke usled neizmirenja obaveza i/ili usled smanjenja vrednosti potraživanja za kupljena potraživanja, da tretira kao pozicije prvog gubitka, prema IRB okviru sekjuritizacije.
Ako u okviru skupova kupljenih potraživanja koji su raspoređeni u klasu fizičkih lica, banka ne može da razdvoji izloženosti obezbeđene hipotekom na nepokretnostima i kvalifikovane revolving izloženosti prema fizičkim licima od ostalih izloženosti prema fizičkim licima - dužna je da primenjuje najveći ponder rizika za ove izloženosti.
Iznos rizikom ponderisanih izloženosti po osnovu vlasničkih ulaganja
124. Za izračunavanje iznosa rizikom ponderisanih izloženosti za izloženosti po osnovu vlasničkih ulaganja, osim onih koje predstavljaju odbitnu stavku u skladu sa Glavom III ove odluke ili kojima se dodeljuje ponder rizika 250% u skladu s tačkom 21. te odluke, banka može da primenjuje pristup jednostavnih pondera rizika, PD/LGD pristup ili pristup internih modela. Banka može da koristi različite pristupe za različite delove portfolija vlasničkih ulaganja samo ako i za interne potrebe upravljanja rizicima koristi različite pristupe. Ako banka koristi više od jednog pristupa, izbor PD/LGD pristupa ili pristupa internih modela mora da bude izvršen dosledno i u skladu sa pristupom korišćenim u upravljanju rizicima i ne sme biti opredeljen pretežno nižim kapitalnim zahtevima.
Banka može na izloženost po osnovu vlasničkih ulaganja u društvo za dodatne usluge da primenjuje tretman koji se primenjuje na ostalu imovinu.
125. Ako banka koristi pristup jednostavnih pondera rizika, dužna je da iznos rizikom ponderisanih izloženosti računa u skladu sa sledećom formulom:
RWEA = RW × EAD,
pri čemu primenjuje sledeće pondere rizika:
1) 190% - za izloženosti po osnovu vlasničkih ulaganja kojima se ne trguje na berzi a koja su u dovoljno diversifikovanim portfolijima;
2) 290% - za izloženosti po osnovu vlasničkih ulaganja kojima se trguje na berzi;
3) 370% - za sve ostale izloženosti po osnovu vlasničkih ulaganja.
Banka može vršiti netiranje kratkih pozicija u gotovini i finansijskih derivata iz bankarske knjige s dugim pozicijama u istim pojedinačnim vlasničkim ulaganjima pod uslovom da ovi derivati predstavljaju internu zaštitu tih ulaganja u periodu od najmanje narednih godinu dana od dana netiranja. Ostale kratke pozicije banka tretira kao duge pozicije sa odgovarajućim ponderima rizika koji se množe sa apsolutnom vrednošću svake pozicije. U slučaju ročne neusklađenosti pozicija, koristi se metod za izloženosti prema privrednim društvima uz primenu tačke 109. stav 6. ove odluke.
Banka može pri korišćenju pristupa iz stava 1. ove tačke primeniti instrumente nematerijalne kreditne zaštite za izloženosti po osnovu vlasničkih ulaganja, u skladu sa odeljkom 3. ove glave.
126. Ako banka koristi PD/LGD pristup, dužna je da iznos rizikom ponderisanih izloženosti računa u skladu sa formulama iz tačke 118. ove odluke. Ako banka ne raspolaže s dovoljno informacija za korišćenje definicije statusa neizmirenja obaveza iz tačke 93. ove odluke, ponderi rizika množe se faktorom prilagođavanja od 1,5.
Zbir iznosa očekivanog gubitka (EL) za određenu izloženost pomnožen sa 12,5 i iznosa rizikom ponderisane izloženosti za datu izloženost ne može biti veći od iznosa te izloženosti pomnoženog sa 12,5.
Banka može pri korišćenju pristupa iz ove tačke primeniti instrumente nematerijalne kreditne zaštite u skladu sa odeljkom 3. ove glave, pri čemu je LGD parametar za izloženost prema pružaocu zaštite 90%. Izloženostima u obliku vlasničkih ulaganja kojima se ne trguje na berzi a koja su u dovoljno diversifikovanim portfolijima može se dodeliti LGD parametar 65%. M parametar za izloženosti iz ovog stava iznosi pet godina.
127. Iznos rizikom ponderisanih izloženosti primenom pristupa internih modela izračunava se tako što se potencijalni gubitak po osnovu izloženosti banke po osnovu vlasničkih ulaganja pomnoži sa 12,5. Ovaj gubitak izračunava se korišćenjem internih VaR modela s jednostranim intervalom poverenja od 99% za razlike između tromesečnih prinosa i odgovarajuće nerizične kamatne stope koje se računaju na osnovu podataka koji obuhvataju dugoročni period.
Iznos rizikom ponderisanih izloženosti na nivou portfolija vlasničkih ulaganja ne može biti manji od zbira iznosa ovih izloženosti izračunatog korišćenjem PD/LGD pristupa i odgovarajućeg iznosa očekivanog gubitka pomnoženog sa 12,5, izračunatih na osnovu odgovarajućih vrednosti PD i LGD parametara iz tačke 112. ove odluke.
Banka može pri korišćenju pristupa iz ove tačke koristiti instrumente nematerijalne kreditne zaštite za izloženosti po osnovu vlasničkih ulaganja.
Iznos rizikom ponderisanih izloženosti za ostalu imovinu
128. Iznos rizikom ponderisanih izloženosti za ostalu imovinu računa se u skladu sa sledećom formulom:
RWEA = 100% × EAD
osim u sledećim slučajevima:
1) za gotovinu i gotovinske ekvivalente koji se nalaze u trezoru, odnosno blagajnama banke ili su u procesu realizacije, kao i zlatu u svojim trezorima ili zlatu koje je deponovano kod drugog lica, kao obezbeđenje za obaveze banke - primenom pondera rizika 0%;
2) za preostalu vrednost predmeta lizinga - na sledeći način:
RWEA = 1/t × 100% × EAD,
pri čemu je t = max (1, broj preostalih godina do dospeća ugovora o lizingu zaokružen na ceo broj).
v) Izračunavanje iznosa rizikom ponderisanih izloženosti za rizik smanjenja vrednosti potraživanja po osnovu kupljenih potraživanja
129. Banka je dužna da računa iznos rizikom ponderisanih izloženosti za rizik smanjenja vrednosti kupljenih potraživanja prema privrednim društvima i fizičkim licima u skladu s formulom iz tačke 118. ove odluke.
PD i LGD parametri određuju se u skladu s pododeljkom 3. ovog odeljka, dok je iznos izloženosti određen u skladu s pododeljkom 4. tog odeljka, a M parametar iznosi godinu dana.
Ako banka podnese dokumentaciju kojom dokazuje da rizik smanjenja vrednosti kupljenih potraživanja nema materijalni značaj, Narodna banka Srbije može banci dozvoliti da ne izračunava iznos rizikom ponderisanih izloženosti za taj rizik.
130. Banka je dužna da za svaku izloženost računanje iznosa očekivanih gubitaka zasniva na istim PD i LGD parametrima i vrednosti izloženosti koje koristi za računanje iznosa rizikom ponderisanih izloženosti, u skladu s tačkom 116. ove odluke.
Iznos očekivanih gubitaka za sekjuritizovane izloženosti računa se u skladu sa odeljkom 4. ove glave.
Iznos očekivanih gubitaka za izloženosti koje pripadaju klasi izloženosti po osnovu ostale imovine iz tačke 115. ove odluke je nula.
Iznos očekivanih gubitaka za izloženosti po osnovu ulaganja u otvorene investicione fondove iz tačke 60. ove odluke računa se u skladu sa ovim pododeljkom.
131. Banka je dužna da iznos očekivanih gubitaka za izloženosti prema državama i centralnim bankama, privrednim društvima i bankama i prema fizičkim licima računa u skladu sa sledećim formulama:
EL = PD x LGD i
iznos EL = EL x EAD.
Ako banka koristi AIRB pristup, za izloženosti u statusu neizmirenja obaveza (za koje je PD = 1), kao očekivani gubitak koristi se ELBE, odnosno najbolja procena očekivanog gubitka banke za izloženost u statusu neizmirenja obaveza u skladu s tačkom 96. ove odluke.
Za izloženosti na koje se primenjuje tretman iz tačke 119. ove odluke, očekivani gubitak jednak je nuli.
Banka je dužna da za izloženosti po osnovu specijalizovanog kreditiranja na koje primenjuje pondere rizika iz tačke 118. stav 3. ove odluke koristi stope očekivanog gubitka navedene u sledećoj tabeli:
Tabela 12.
Preostala |
Rizična kategorija |
Rizična kategorija |
Rizična kategorija |
Rizična kategorija |
Rizična kategorija |
< 2,5 godine |
0% |
0,4% |
2,8% |
8% |
50% |
≥ 2,5 godine |
0,4% |
0,8% |
2,8% |
8% |
50% |
132. Ako banka iznos rizikom ponderisanih izloženosti po osnovu vlasničkih ulaganja računa primenom pristupa jednostavnih pondera rizika, dužna je da u tom slučaju iznos očekivanih gubitaka za izloženosti po osnovu vlasničkih ulaganja računa u skladu sa sledećom formulom:
iznos EL = EL x EAD,
pri čemu koristi sledeće stope očekivanog gubitka:
- 0,8% - za izloženosti po osnovu vlasničkih ulaganja kojima se ne trguje na berzi a koja su u dovoljno diversifikovanim portfolijima;
- 0,8% - za izloženosti po osnovu vlasničkih ulaganja kojima se trguje na berzi;
- 2,4% - za sve ostale izloženosti po osnovu vlasničkih ulaganja.
Ako banka iznos rizikom ponderisanih izloženosti po osnovu vlasničkih ulaganja računa primenom PD/LGD pristupa, dužna je da iznos očekivanih gubitaka za izloženosti po osnovu ovih ulaganja računa u skladu sa sledećim formulama:
EL = PD x LGD i
iznos EL = EL x EAD.
Ako banka računa iznos rizikom ponderisanih izloženosti po osnovu vlasničkih ulaganja primenom pristupa internih modela - iznos očekivanih gubitaka za izloženosti po osnovu vlasničkih ulaganja jednak je nuli.
133. Banka je dužna da iznos očekivanih gubitaka za rizik smanjenja vrednosti kupljenih potraživanja računa u skladu sa sledećim formulama:
EL = PD x LGD i
iznos EL = EL x EAD.
134. Banka je dužna da ukupan iznos očekivanih gubitaka izračunat u skladu s tač. 131, 132. i 133. ove odluke oduzme od zbira opštih i specifičnih prilagođavanja za kreditni rizik, dodatnih prilagođavanja vrednosti u skladu s tačkom 12. stav 5. i tačkom 36. ove odluke, kao i drugih smanjenja kapitala koje se odnose na ove izloženosti. Kao specifična prilagođavanja za kreditni rizik u smislu tačke 113. stav 1. ove odluke tretiraju se diskonti koji se odnose na izloženosti po osnovu bilansnih pozicija koje su kupljene u statusu neizmirenja obaveza, pri čemu se ova prilagođavanja ne mogu koristiti za pokriće iznosa očekivanih gubitak drugih izloženosti. Iznos očekivanih gubitaka za sekjuritizovane izloženosti, kao i opšta i specifična prilagođavanja za kreditni rizik koja se odnose na te izloženosti, nisu uključeni u ovaj obračun.
1. Okvir za primenu tehnika ublažavanja kreditnog rizika
135. Iznos rizikom ponderisane izloženosti i iznos očekivanih gubitaka obračunati nakon prilagođavanja za efekte tehnika ublažavanja kreditnog rizika ne mogu biti veći od iznosa rizikom ponderisane izloženosti i iznosa očekivanih gubitaka obračunatih pre tog prilagođavanja.
Banka ne može vršiti prilagođavanje rizikom ponderisane izloženosti za efekte tehnika ublažavanja kreditnog rizika ako je određeni instrument kreditne zaštite već uzela u obzir pri izračunavanju iznosa rizikom ponderisane izloženosti u skladu sa odeljcima 1. ili 2. ove glave.
Ako su ispunjeni uslovi iz pododeljaka 2. i 3. ovog odeljka banka može da prilagodi način izračunavanja iznosa rizikom ponderisane izloženosti u okviru standardizovanog pristupa i način izračunavanja iznosa rizikom ponderisane izloženosti i iznosa očekivanih gubitaka u okviru IRB pristupa na način propisan pododeljcima 4, 5. i 6. ovog odeljka.
Podobnim instrumentima kreditne zaštite smatraju se i gotovina, hartije od vrednosti i roba kupljena, uzeta u zajam ili primljena kao sredstvo obezbeđenja po osnovu repo transakcija i transakcija davanja ili uzimanja u zajam hartija od vrednosti ili robe.
Banka koja iznos rizikom ponderisane izloženosti utvrđuje primenom standardizovanog pristupa može koristiti više od jednog instrumenta kreditne zaštite za smanjenje kreditnog rizika po osnovu jedne izloženosti, u kom slučaju je dužna da:
1) datu izloženost podeli na takav način da svaki njen deo bude pokriven jednim instrumentom kreditne zaštite;
2) za svaki od delova iz odredbe pod 1) ovog stava posebno obračunava iznos rizikom ponderisane izloženosti na način propisan ovim odeljkom i odeljkom 1. ove glave.
Banka koja iznos rizikom ponderisane izloženosti utvrđuje primenom standardizovanog pristupa može koristiti instrumente kreditne zaštite sa različitim ročnostima pribavljene od jednog pružaoca kreditne zaštite, u kom slučaju je dužna da:
1) datu izloženost podeli na takav način da svaki njen deo bude pokriven instrumentom kreditne zaštite određene ročnosti;
2) za svaki od delova iz odredbe pod 1) ovog stava posebno obračunava iznos rizikom ponderisane izloženosti na način propisan ovim odeljkom i odeljkom 1. ove glave.
136. Banka je dužna da u sistem upravljanja rizicima na odgovarajući način uključi sve rizike u vezi sa korišćenjem instrumenata kreditne zaštite, da svojim unutrašnjim aktima utvrdi tehnike ublažavanja kreditnog rizika koje koristi i načine pribavljanja instrumenata kreditne zaštite, da obezbedi mogućnost realizacije tih instrumenata u skladu s merodavnim pravom, kao i da preduzima odgovarajuće aktivnosti kako bi obezbedila efektivnost ugovora o kreditnoj zaštiti.
Instrument kreditne zaštite treba da ispunjava uslove propisane pododeljkom 3. ovog odeljka.
Banka je dužna da, na zahtev Narodne banke Srbije, dostavi obrazloženo pravno mišljenje koje je koristila prilikom ocene mogućnosti realizacije odnosnog instrumenta kreditne zaštite u skladu s merodavnim pravom.
Da bi bili priznati za ublažavanje kreditnog rizika, instrumenti materijalne kreditne zaštite treba da ispunjavaju sledeće opšte uslove:
1) da su utvrđeni kao podobni instrumenti kreditne zaštite u skladu s tač. 137. do 148. ove odluke;
2) da su dovoljno likvidni, lako utrživi i da se njihova vrednost značajno ne menja tokom vremena - da bi obezbedili izvesnost kreditne zaštite;
3) da ugovorni odnos po osnovu kog su ti instrumenti pribavljeni daje banci pravo da blagovremeno unovči ili prenese, prisvoji ili zadrži imovinu kojom se obezbeđuje kreditna zaštita u slučaju neizmirenja obaveza dužnika banke, odnosno njegovog stečaja, likvidacije ili nastanka drugog kreditnog događaja koji se odnosi na tog dužnika;
4) da stepen korelacije između vrednosti tih instrumenata i kreditne sposobnosti dužnika nije visok.
Da bi bili priznati za ublažavanje kreditnog rizika, instrumenti nematerijalne kreditne zaštite treba da ispunjavaju sledeće opšte uslove:
1) da je pružalac kreditne zaštite podoban u skladu s tač. 149. ili 150. ove odluke;
2) da su utvrđeni kao podobni instrumenti kreditne zaštite u skladu s tačkom 151. i tačkom 152. stav 1. ove odluke;
3) da je ugovor po osnovu kog su pribavljeni instrumenti kreditne zaštite u skladu sa relevantnim propisima, tako da omogućava odgovarajući stepen sigurnosti u vezi sa ostvarivanjem te zaštite s obzirom na pristup koji banka koristi za izračunavanje iznosa rizikom ponderisane izloženosti i podobnost kreditne zaštite.
Banka je dužna da kontinuirano procenjuje kreditni rizik koji proizlazi iz izloženosti banke, bez obzira na to da li koristi tehnike za ublažavanje kreditnog rizika i da na odgovarajući način dokumentuje ispunjenost ovog uslova.
Izuzetno od stava 6. ove tačke, u slučaju repo transakcija i transakcija davanja ili uzimanja u zajam hartija od vrednosti ili robe, banka može da procenjuje kreditni rizik koji proizilazi iz neto izloženosti po tom osnovu.
2. Podobni instrumenti kreditne zaštite
a) Materijalna kreditna zaštita
Bilansno netiranje
137. Podobnim bilansnim netiranjem smatra se sporazum o netiranju međusobnih novčanih potraživanja i obaveza banke po osnovu kredita i depozita s drugom ugovornom stranom.
Standardizovani sporazumi o netiranju čiji su predmet
repo transakcije, transakcije davanja ili uzimanja u zajam
hartija od vrednosti ili robe i/ili druge transakcije s pravom dodatnog obezbeđenja
138. Podobnim standardizovanim sporazumom o netiranju smatra se bilateralni sporazum čiji su predmet repo transakcije, transakcije davanja ili uzimanja u zajam hartija od vrednosti ili robe i/ili druge transakcije s pravom dodatnog obezbeđenja - ako sredstva obezbeđenja, odnosno hartije od vrednosti ili roba po tim transakcijama ispunjavaju uslove propisane tač. 139. do 142. ove odluke.
Sporazum iz stava 1. ove tačke, kao podoban instrument materijalne kreditne zaštite, može koristiti samo banka koja efekte tehnika ublažavanja kreditnog rizika izračunava primenom složenog metoda propisanog tačkom 174. ove odluke.
Podobna sredstva obezbeđenja u obliku finansijske imovine za sve pristupe i metode
139. Podobnim sredstvima obezbeđenja u obliku finansijske imovine za sve pristupe i metode smatraju se:
1) gotovina i gotovinski ekvivalenti deponovani kod banke;
2) dužničke hartije od vrednosti država ili centralnih banaka s raspoloživim kreditnim rejtingom podobne agencije za rejting ili agencije za kreditiranje izvoza kome odgovara nivo kreditnog kvaliteta 4 ili bolji za države i centralne banke, u skladu s odeljkom 1. ove glave;
3) dužničke hartije od vrednosti banaka s raspoloživim kreditnim rejtingom podobne agencije za rejting kome odgovara nivo kreditnog kvaliteta 3 ili bolji za banke u skladu s odeljkom 1. ove glave;
4) dužničke hartije od vrednosti privrednih društava s raspoloživim kreditnim rejtingom podobne agencije za rejting kome odgovara nivo kreditnog kvaliteta 3 ili bolji za privredna društva, u skladu s odeljkom 1. ove glave;
5) dužničke hartije od vrednosti s raspoloživim kratkoročnim kreditnim rejtingom podobne agencije za rejting kome odgovara nivo kreditnog kvaliteta 3 ili bolji za kratkoročne izloženosti, u skladu sa odeljkom 1. ove glave;
6) akcije ili konvertibilne obveznice koje su uključene u glavni berzanski indeks;
7) zlato;
8) sekjuritizovane pozicije koje nisu resekjuritizovane pozicije, s raspoloživim kreditnim rejtingom podobne agencije za rejting kome odgovara nivo kreditnog kvaliteta 3 ili bolji za sekjuritizovane izloženosti u skladu sa odeljkom 4. pododeljak 4. deo pod a) ove glave.
Dužničkim hartijama od vrednosti država ili centralnih banaka u smislu stava 1. odredba pod 2) ove tačke smatraju se i:
1) dužničke hartije od vrednosti teritorijalnih autonomija i jedinica lokalne samouprave za koje se ponder rizika, u skladu s tačkom 42. ove odluke, dodeljuje na način propisan za izloženosti prema državama i centralnim bankama;
2) dužničke hartije od vrednosti javnih administrativnih tela za koje se ponder kreditnog rizika, u skladu s tačkom 43. stav 5. te odluke, dodeljuje na način propisan za izloženosti prema državama i centralnim bankama;
3) dužničke hartije od vrednosti međunarodnih razvojnih banaka kojima se u skladu s tačkom 44. te odluke dodeljuje ponder rizika 0%;
4) dužničke hartije od vrednosti međunarodnih organizacija kojima se u skladu s tačkom 45. te odluke dodeljuje ponder rizika 0%.
Dužničkim hartijama od vrednosti banaka u smislu stava 1. odredba pod 3) ove tačke smatraju se:
1) dužničke hartije od vrednosti teritorijalnih autonomija i jedinica lokalne samouprave osim onih iz stava 2. odredba pod 1) ove tačke;
2) dužničke hartije od vrednosti javnih administrativnih tela za koje se ponder kreditnog rizika dodeljuje u skladu s tačkom 43. st. 1. do 3. ove odluke;
3) dužničke hartije od vrednosti međunarodnih razvojnih banaka osim onih kojima se u skladu s tačkom 44. te odluke dodeljuje ponder rizika 0%.
Ako su dužničkim hartijama od vrednosti iz stava 1. odredbe 2) do 5) ove tačke dodeljena dva ili više kreditnih rejtinga podobnih agencija za rejting, banka primenjuje nepovoljniji kreditni rejting. Ako su tim hartijama od vrednosti dodeljena više od dva kreditna rejtinga podobnih agencija za rejting koji se prema rasporedu kreditnih rejtinga u nivoe kreditnog kvaliteta odnose na različite pondere rizika, banka je dužna da koristi manji od dva najveća pondera rizika, a ako se odnose na isti ponder rizika - banka koristi taj ponder.
140. Podobnim sredstvima obezbeđenja u obliku finansijske imovine smatraju se i dužničke hartije od vrednosti banaka koje nemaju raspoloživ kreditni rejting podobnih agencija za rejting, ako su ispunjeni sledeći uslovi:
1) da se te hartije kotiraju na priznatoj berzi;
2) da te hartije nisu subordinirane u odnosu na ostale obaveze u slučaju stečaja njihovog izdavaoca;
3) da je svim ostalim dužničkim hartijama od vrednosti istog izdavaoca koje imaju isto pravo prvenstva naplate u slučaju stečaja dodeljen kreditni rejting podobne agencije za rejting kojem odgovara nivo kreditnog kvaliteta 3 ili bolji za datu klasu izloženosti u skladu sa odeljkom 1. ove glave;
4) da banka ne raspolaže podacima koji ukazuju na manje povoljan kreditni rejting tih hartija od kreditnog rejtinga iz odredbe pod 3) ovog stava;
5) da banka može dokazati da su te hartije lako utržive.
141. Investicione jedinice otvorenih investicionih fondova se smatraju podobnim sredstvom obezbeđenja ako su ispunjeni sledeći uslovi:
1) da se vrednost investicione jedinice objavljuje dnevno;
2) da ovaj fond ulaže samo u finansijske instrumente koji se, u skladu s tač. 139. i 140. ove odluke, smatraju podobnim sredstvima obezbeđenja u obliku finansijske imovine;
3) otvoreni investicioni fond ispunjava uslove propisane tačkom 60. stav 2. ove odluke.
U slučaju da otvoreni investicioni fond ulaže u drugi otvoreni investicioni fond, oba fonda moraju ispuniti uslove iz stava 1. ove tačke.
Korišćenje finansijskih derivata za zaštitu ulaganja investicionih fondova ne utiče na mogućnost korišćenja njihovih investicionih jedinica kao sredstava obezbeđenja.
U slučaju da otvoreni investicioni fond ili njegov odnosni otvoreni investicioni fond ulaže i u finansijske instrumente koji se ne smatraju podobnim sredstvima obezbeđenja u obliku finansijske imovine u skladu s tač. 139. i 140. ove odluke - banka može priznati ulaganja u njegove investicione jedinice u vrednosti instrumenata koji se priznaju kao finansijsko sredstvo obezbeđenja, pod pretpostavkom da je investicioni fond iskoristio mogućnost ulaganja u instrumente koji se ne smatraju podobnim sredstvima obezbeđenja do najvišeg dozvoljenog iznosa.
U slučaju da instrumenti iz stava 4. ove tačke koji nisu podobna finansijska sredstva obezbeđenja imaju, zbog obaveza i potencijalnih obaveza koje proizlaze iz vlasništva, negativnu vrednost, banka je dužna da za tu vrednost umanji iznos ukupne vrednosti imovine iz tog stava koja je podobno sredstvo obezbeđenja.
Dodatna podobna sredstva obezbeđenja u slučaju primene složenog metoda
142. Za banku koja efekte tehnika ublažavanja kreditnog rizika izračunava primenom složenog metoda iz tačke 174. ove odluke, pored sredstava obezbeđenja u obliku finansijske imovine propisanih tač. 139. i 140. te odluke, podobnim se smatraju:
1) akcije ili konvertibilne obveznice kojima se trguje na priznatim berzama a nisu uključene u glavni berzanski indeks;
2) investicione jedinice otvorenih investicionih fondova ako ispunjavaju sledeće uslove:
- da se vrednost ovih jedinica objavljuje dnevno,
- da otvoreni investicioni fond ulaže samo u finansijske instrumente koji se, u skladu s tač. 139. i 140. ove odluke i odredbom pod 1) ovog stava, smatraju podobnim sredstvima obezbeđenja u obliku finansijske imovine.
U slučaju da otvoreni investicioni fond ulaže u jedinice drugog otvorenog investicionog fonda, odnosni fond mora da ispunjava uslove iz stava 1. ove tačke.
Korišćenje finansijskih derivata za zaštitu ulaganja investicionih fondova ne utiče na mogućnost korišćenja njihovih investicionih jedinica kao sredstava obezbeđenja.
Ako otvoreni investicioni fond ili njegov odnosni otvoreni investicioni fond ulaže i u finansijske instrumente koji se ne smatraju podobnim sredstvima obezbeđenja u obliku finansijske imovine u skladu s tač. 139. i 140. ove odluke i stavom 1. odredbom pod 1) ove tačke, banka može priznati ulaganja u njegove investicione jedinice u vrednosti instrumenata koji se priznaju kao finansijsko sredstvo obezbeđenja pod pretpostavkom da je investicioni fond iskoristio mogućnost ulaganja u instrumente koji se ne smatraju podobnim sredstvima obezbeđenja do najvišeg dozvoljenog iznosa.
U slučaju da instrumenti iz stava 4. ove tačke koji nisu podobna finansijska sredstva obezbeđenja imaju, zbog obaveza i potencijalnih obaveza koje proizlaze iz vlasništva, negativnu vrednost, banka je dužna da izračuna ukupnu vrednost imovine koja nije podobna i da je, ako je ta vrednost negativna, oduzme od vrednosti imovine koja je podobno sredstvo obezbeđenja.
Dodatna podobna sredstva obezbeđenja u slučaju primene IRB pristupa
143. Banka koja primenjuje IRB pristup može, radi prilagođavanja rizikom ponderisane izloženosti za efekte tehnika ublažavanja kreditnog rizika, koristiti podobne instrumente materijalne kreditne zaštite iz tač. 139. i 140. ove odluke i podobne instrumente kreditne zaštite, koji obuhvataju sledeća sredstva obezbeđenja:
1) hipoteke na nepokretnostima - ako su ispunjeni uslovi iz tačke 144. te odluke;
2) potraživanja u skladu s tačkom 145. te odluke;
3) ostala materijalna sredstva obezbeđenja u skladu s tačkom 146. te odluke;
4) izloženosti nastale po osnovu lizing transakcija u skladu s tačkom 147. te odluke.
144. Hipoteka na stambenoj nepokretnosti u kojoj vlasnik stanuje ili je tu nepokretnost dao u zakup na osnovu odgovarajućeg ugovora (ili namerava da u njoj stanuje ili je dâ u zakup) i hipoteka na poslovnoj nepokretnosti, smatraju se podobnim instrumentima kreditne zaštite ako su ispunjeni sledeći uslovi:
1) vrednost nepokretnosti ne zavisi velikim delom od kreditne sposobnosti dužnika, ne uzimajući u obzir makroekonomske faktore koji utiču i na vrednost stambene nepokretnosti i na kreditnu sposobnost dužnika;
2) kreditna sposobnost dužnika ne zavisi velikim delom od vrednosti nepokretnosti ili novčanih tokova od njene upotrebe, već od dužnikove sposobnosti da otplati dug iz drugih izvora prihoda.
145. Potraživanja nastala po osnovu poslovnih transakcija smatraju se podobnim instrumentima kreditne zaštite ako su iz redovnog poslovanja ili transakcija sa ugovorenim rokom dospeća koji nije duži od jedne godine, osim potraživanja koja su povezana sa kreditnim derivatima, potraživanja u vezi sa sekjuritizacijom i potraživanja od povezanih lica.
146. Ostala materijalna sredstva obezbeđenja smatraju se podobnim instrumentima materijalne kreditne zaštite, ako su ispunjeni sledeći uslovi:
1) postoji likvidno tržište na kome se imovina može u kratkom roku i po prihvatljivoj ceni prodati, pri čemu je banka dužna da vrši periodičnu proveru utrživosti sredstva i tržišnih cena;
2) postoje pouzdane i javno dostupne tržišne cene za tu imovinu, pri čemu se pod pouzdanim tržišnim cenama podrazumevaju cene iz pouzdanih izvora informacija kao što su javni indeksi koji odražavaju cene pod normalnim uslovima, a pod javno dostupnim cenama podrazumevaju se obelodanjene, lako i regularno dostupne cene, bez administrativnog ili finansijskog troška;
3) banka vrši analize tržišnih cena, vremena i troškova realizacije sredstava obezbeđenja, kao i ostvarenih prihoda od realizacije sredstva;
4) ostvareni prihod od realizacije datog sredstva obezbeđenja nije u više od 10% svih slučajeva niži od 70% vrednosti sredstva obezbeđenja, a kada postoji značajna volatilnost tržišnih cena, banka treba da dokaže da je njeno vrednovanje sredstava obezbeđenja u dovoljnoj meri oprezno.
Banka je dužna da na odgovarajući način dokumentuje ispunjenost uslova iz stava 1. ove tačke.
147. Ako su ispunjeni uslovi iz tačke 159. ove odluke banka, za potrebe tačke 186. stav 4. te odluke, može izloženosti po osnovu transakcija davanja u lizing nepokretnosti trećem licu tretirati kao kredit koji je obezbeđen predmetom lizinga.
Ostali instrumenti materijalne kreditne zaštite
148. Podobnim ostalim instrumentima materijalne kreditne zaštite smatraju se:
1) gotovina i gotovinski ekvivalenti deponovani kod banke koja nije jedna od ugovornih strana, a koji su založeni u korist banke koja je jedna od ugovornih strana;
2) polise životnog osiguranja vinkulirane u korist banke;
3) finansijski instrumenti koje je izdala banka koja nije jedna od ugovornih strana, a koje će ta banka otkupiti na zahtev njihovog vlasnika.
b) Nematerijalna kreditna zaštita
Podobnost pružalaca zaštite u svim pristupima
149. Podobnim pružaocima nematerijalne kreditne zaštite smatraju se:
1) države i centralne banke;
2) teritorijalne autonomije i jedinice lokalne samouprave;
3) međunarodne razvojne banke;
4) međunarodne organizacije kojima se u skladu s tačkom 45. ove odluke dodeljuje ponder 0%;
5) javna administrativna tela na čije izloženosti se primenjuju odredbe iz tačke 43. ove odluke;
6) banke i finansijske institucije na čije izloženosti se primenjuju odredbe iz tačke 46. ove odluke;
7) privredna društva, uključujući matično društvo i podređena društva banke, s raspoloživim kreditnim rejtingom podobne agencije za rejting, odnosno u slučaju banke koja ima saglasnost za primenu IRB pristupa, bez raspoloživog kreditnog rejtinga podobne agencije za rejting ali sa internim rejtingom koji je dodelila banka;
8) centralni tržišni učesnici.
Ako banka računa iznos rizikom ponderisane izloženosti i iznos očekivanog gubitka korišćenjem IRB pristupa, dužna je da pružaocu zaštite, radi priznavanja njegove podobnosti, dodeli interni rejting u skladu sa odeljkom 2. ove glave.
Podobnost pružalaca zaštite u slučaju primene IRB pristupa
150. Podobnim pružaocima nematerijalne kreditne zaštite smatraju se banka, društvo za osiguranje, društvo za reosiguranje i agencija za kreditiranje izvoza, ako se na njih može primeniti tretman iz tačke 118. stav 3. ove odluke i ako ispunjavaju sledeće uslove:
1) da pružalac kreditne zaštite ima dovoljno iskustva u pružanju nematerijalne kreditne zaštite;
2) da je pružalac kreditne zaštite lice u finansijskom sektoru na koje se primenjuju odgovarajući propisi kojima se uređuje poslovanje tih lica i nadzor nad tim poslovanjem uporedivi sa onima koji se primenjuju na banke ili da u trenutku pružanja kreditne zaštite ima raspoloživ kreditni rejting podobne agencije za rejting kome odgovara nivo kreditnog kvaliteta 3 ili bolji za izloženosti prema privrednim društvima u skladu s odeljkom 1. ove glave;
3) da pružalac zaštite, u trenutku pružanja kreditne zaštite, kao i u bilo kom trenutku nakon toga, ima interni rejting kome je pridružen PD parametar jednak PD parametru kome odgovara nivo kreditnog kvaliteta 2 ili bolji za izloženosti prema privrednim društvima, u skladu s odeljkom 1. ove glave;
4) da pružalac zaštite ima interni rejting kome je pridružen PD parametar jednak PD parametru kome odgovara nivo kreditnog kvaliteta 3 ili bolji za izloženosti prema privrednim društvima, u skladu s odeljkom 1. ove glave.
Ako je instrument nematerijalne kreditne zaštite koju pruža agencija za kreditiranje izvoza obezbeđen kontragarancijom države, ova kontragarancija neće se uzimati u obzir pri izračunavanju efekata kreditne zaštite.
Podobnost instrumenata nematerijalne kreditne zaštite
151. Banka može kao podobne instrumente nematerijalne kreditne zaštite da koristi garanciju, odnosno jemstvo, ako pružalac zaštite ispunjava uslove iz tač. 149, odnosno 150. ove odluke.
152. Podobnim kreditnim derivatima smatraju se:
1) CDS derivat,
2) TRS derivat i
3) CLN derivat do iznosa do kog je pokriven gotovinom.
Banka može da koristi kao podobne instrumente nematerijalne zaštite i instrumente sačinjene od derivata iz stava 1. ove tačke, odnosno instrumente sa sličnim ekonomskim efektima.
Izuzetno od stava 1. ove tačke, TRS derivat ne smatra se podobnim kreditnim derivatom kad banka neto plaćanja primljena po osnovu ovog derivata evidentira kao prihod, a umanjenja vrednosti odnosne imovine ne evidentira kao rashod (bilo smanjenjem fer vrednosti bilo uvećanjem rezervisanja).
Ako banka internu zaštitu sprovodi korišćenjem kreditnog derivata, tj. smanjuje izloženost kreditnom riziku iz bankarske knjige korišćenjem kreditnih derivata iz knjige trgovanja, taj kreditni derivat smatra se podobnim samo ako je kreditni rizik koji je time unet u knjigu trgovanja prenet na treće/treća lica.
Ako je ispunjen uslov iz stava 4. ove tačke, kao i uslovi za priznavanje kreditne zaštite propisani ovom odlukom, banka pri izračunavanju iznosa rizikom ponderisanih izloženosti i iznosa očekivanog gubitka primenjuje odredbe iz pododeljaka 4. do 6. ovog odeljka.
3. Uslovi za priznavanje kreditne zaštite
a) Materijalna kreditna zaštita
Uslovi za priznavanje bilansnog netiranja
153. Bilansno netiranje koje nije standardizovani sporazum o netiranju na koje se primenjuje tačka 154. ove odluke, priznaje se za ublažavanje kreditnog rizika ako su ispunjeni sledeći uslovi:
1) da je moguća realizacija sporazuma o netiranju međusobnih novčanih potraživanja i obaveza (uključujući i slučaj stečaja ili likvidacije druge ugovorne strane) u skladu s merodavnim pravom;
2) da banka može u svakom trenutku utvrditi potraživanja i obaveze koji su predmet sporazuma iz odredbe pod 1) ove tačke;
3) da banka kontinuirano prati i kontroliše rizike povezane s prestankom kreditne zaštite pre ugovorenog roka;
4) da banka kontinuirano prati i kontroliše odnosne izloženosti na neto osnovi.
Uslovi za priznavanje standardizovanog sporazuma o netiranju čiji su predmet repo transakcija, transakcija davanja ili uzimanja u zajam hartija od vrednosti ili robe druge transakcije s pravom dodatnog obezbeđenja
154. Standardizovani sporazumi o netiranju, čiji su predmet repo transakcije, transakcije davanja ili uzimanja u zajam hartija od vrednosti ili robe i druge transakcije s pravom dodatnog obezbeđenja, priznaju se za ublažavanje kreditnog rizika ako, pored uslova iz tačke 155. stav 1. ove odluke, ispunjavaju i sledeće uslove:
1) da se mogu realizovati (uključujući i slučaj stečaja ili likvidacije druge ugovorne strane) u skladu s merodavnim pravom;
2) da, u slučaju neizmirenja obaveze jedne ugovorne strane (uključujući i slučaj stečaja i likvidacije te strane), daju drugoj ugovornoj strani pravo da u najkraćem roku zatvori sve transakcije;
3) da obezbeđuju međusobno netiranje dobitaka i gubitaka po osnovu izvršenja svih transakcija koje su predmet tih sporazuma tako da, nakon tog izvršenja, samo jedna ugovorna strana duguje drugoj ugovornoj strani utvrđeni neto iznos.
Uslovi za priznavanje sredstava obezbeđenja u obliku finansijske imovine
155. Sredstva obezbeđenja u obliku finansijske imovine i zlato priznaju se za ublažavanje kreditnog rizika u svim pristupima i metodama ako su ispunjeni sledeći uslovi:
1) da ne postoji visoka pozitivna korelacija između vrednosti sredstva obezbeđenja i kreditne sposobnosti dužnika, što podrazumeva da značajno smanjenje vrednosti sredstva obezbeđenja ne uslovljava značajno pogoršanje kreditne sposobnosti dužnika, odnosno da značajno pogoršanje kreditne sposobnosti dužnika ne uslovljava značajno smanjenje vrednosti sredstva obezbeđenja;
2) da hartije od vrednosti nije izdao dužnik ili lice povezano s dužnikom, izuzev u slučaju pokrivenih obveznica koje ispunjavaju uslove iz tačke 57. ove odluke, koje predstavljaju sredstvo obezbeđenja za repo transakcije i ispunjavaju uslov iz odredbe pod 1) ovog stava;
3) da banka preduzima potrebne aktivnosti u skladu sa ugovorom i zakonom radi realizacije sredstva obezbeđenja, kao i da redovno proverava mogućnost te realizacije;
4) da je banka pribavila odgovarajuću dokumentaciju za sredstva obezbeđenja i uspostavila jasne i sveobuhvatne procedure za blagovremenu realizaciju sredstava obezbeđenja;
5) da je banka utvrdila jasne i sveobuhvatne procedure za upravljanje rizicima u vezi s pribavljenim sredstvima obezbeđenja (uključujući i rizik nemogućnosti realizovanja ovih sredstava, rizik neadekvatnog vrednovanja, rizik prestanka kreditne zaštite pre ugovorenog roka i rizik koncentracije), kao i međusobni uticaj tih rizika na rizični profil banke;
6) da je banka procedurama utvrdila vrste i iznose sredstava obezbeđenja koje prihvata;
7) da banka utvrđuje tržišnu vrednost sredstava obezbeđenja najmanje jednom u šest meseci, ali i češće ako je došlo do znatnog smanjenja ove vrednosti;
8) da je banka za sredstva obezbeđenja koja su kod trećeg lica pribavila odgovarajući dokaz da to lice ova sredstva u svojim poslovnim knjigama vodi odvojeno od ostale imovine;
9) da je banka obezbedila dovoljno sredstava za uredno funkcionisanje sporazuma o margini u slučaju OTC derivata i finansiranja hartija od vrednosti sa drugim ugovornim stranama, mereno blagovremenošću i tačnošću poslatih zahteva za marginom i vremenom odziva na primljene zahteve za marginom;
10) da je banka uspostavila proces upravljanja sredstvima obezbeđenja u cilju kontrole, praćenja i izveštavanja o:
- riziku kojem izložena po osnovu sporazuma o margini,
- riziku koncentracije prema određenim vrstama sredstava obezbeđenja,
- ponovnoj upotrebi sredstva obezbeđenja, uključujući potencijalni pad likvidnosti koji nastaje usled ponovne upotrebe sredstava obezbeđenja primljenih od drugih ugovornih strana,
- prenetim pravima na sredstvo obezbeđenja dato drugoj ugovornoj strani.
Ako banka efekte tehnika ublažavanja kreditnog rizika izračunava primenom jednostavnog metoda, sredstva obezbeđenja u obliku finansijske imovine, pored uslova iz stava 1. ove tačke, moraju ispunjavati i uslov da ugovoreni period obezbeđenja bude najmanje jednak preostaloj ročnosti odnosne izloženosti.
Uslovi za priznavanje hipoteke na nepokretnosti kao sredstva obezbeđenja
156. Hipoteka na nepokretnosti priznaje se za ublažavanje kreditnog rizika ako su ispunjeni sledeći uslovi:
1) da je hipoteka punovažna u skladu s pravom merodavnim u trenutku odobrenja kredita i da se njena punovažnost redovno proverava;
2) da je hipoteka upisana u zemljišne knjige, katastar nepokretnosti ili drugi odgovarajući registar;
3) da se ugovornim odredbama i odgovarajućim pravnim postupkom obezbeđuje namirenje iz vrednosti hipotekovane nepokretnosti u razumnom roku;
4) da banka redovno prati vrednost nepokretnosti i da, osim u slučaju hipotekovane stambene nepokretnosti kod koje iznos preostalog potraživanja banke ne prelazi 40% njene vrednosti umanjene za iznos svih potraživanja s višim pravom prvenstva nad tom nepokretnošću, tržišnu vrednost nepokretnosti utvrđuje na osnovu procene ovlašćenog procenjivača najmanje jednom u tri godine, kao i češće - ako su osetnije promenjeni uslovi na tržištu ovih nepokretnosti ili je fizičko stanje te nepokretnosti promenjeno;
5) da je banka svojim politikama, procedurama ili drugim aktima definisala vrste stambenih i poslovnih nepokretnosti koje prihvata kao sredstvo obezbeđenja, kao i uslove i način odobravanja kredita obezbeđenih hipotekom na nepokretnosti;
6) da je banka uspostavila jasne i sveobuhvatne procedure za praćenje i proveru adekvatnosti osiguranja od rizika nastupanja štete na nepokretnosti koja je predmet hipoteke.
Pod redovnim praćenjem vrednosti nepokretnosti iz stava 1. odredba pod 4) ove tačke podrazumeva se provera te vrednosti na osnovu raspoloživih podataka i informacija, uključujući korišćenje statističkih modela, pri čemu banka ovu proveru mora sprovoditi najmanje jednom godišnje za poslovne nepokretnosti, odnosno najmanje jednom u tri godine za stambene i ostale nepokretnosti.
Uslovi za priznavanje potraživanja kao sredstva obezbeđenja
157. Potraživanje se priznaje za ublažavanje kreditnog rizika ako su ispunjeni sledeći uslovi:
1) da su ugovorne odredbe koje se odnose na potraživanje punovažne u skladu s merodavnim pravom i da banci omogućavaju pravo na ostvarene prihode po osnovu naplate, odnosno prodaje potraživanja;
2) da banka preduzima sve neophodne pravne radnje za naplatu potraživanja i ima pravo prvenstva u njihovoj naplati;
3) da banka redovno proverava mogućnost namirenja iz potraživanja;
4) da banka poseduje odgovarajuću dokumentaciju koja se odnosi na potraživanje kao sredstvo obezbeđenja i da su uspostavljene jasne i sveobuhvatne procedure za njegovu blagovremenu naplatu;
5) da je banka uspostavila procedure kojima se uređuje način praćenja svih uslova neophodnih za proglašavanje statusa neizmirenja obaveza dužnika i blagovremeno pokretanje postupka naplate tog potraživanja;
6) da je ugovoreno da u slučaju finansijskih poteškoća ili nastupanja statusa neizmirenja obaveza dužnika banka može, bez prethodne saglasnosti dužnika, prodati ovo potraživanje ili ga preneti na drugo lice;
7) da banka ima uspostavljene jasne i sveobuhvatne procedure za identifikaciju kreditnog rizika koji može nastati po osnovu potraživanja kao sredstva obezbeđenja (ove procedure obuhvataju i analizu poslovanja dužnika i njegove osnovne delatnosti, kao i vrstu klijenata s kojima dužnik posluje), pri čemu ako banka koristi procenu kreditnog rizika po osnovu potraživanja dužnika prema trećem licu koju je izvršio sam dužnik, dužna je da proveri i procedure odobravanja pravnih poslova dužnika po osnovu kojih nastaju njegova potraživanja, odnosno primenu tih procedura radi utvrđivanja njihove adekvatnosti i pouzdanosti;
8) da razlika između iznosa izloženosti i vrednosti potraživanja obuhvata sve bitne faktore, uključujući i troškove naplate potraživanja, učešće potraživanja jednog dužnika u ukupnim potraživanjima koja služe kao sredstvo obezbeđenja, kao i mogući rizik koncentracije u ukupnim izloženostima banke, kao i da banka redovno prati potraživanja i na redovnoj osnovi proverava usklađenost sa ugovornim odredbama i propisima;
9) da su potraživanja koja je dužnik pružio kao sredstvo obezbeđenja diversifikovana i s niskim stepenom korelacije između njihove vrednosti i kreditnog kvaliteta dužnika banke, a ako postoji značajniji stepen korelacije, banka je dužna da pri određivanju margina za skup svih sredstava obezbeđenja obuhvati i sa tim povezane rizike;
10) da potraživanja koja su pružena kao sredstvo obezbeđenja nisu potraživanja od lica povezanih s dužnikom (uključujući i njegove zaposlene);
11) da je banka uspostavila odgovarajuće procedure za naplatu potraživanja u vanrednim okolnostima, kao i neophodna sredstva za naplatu, čak i u slučajevima kada očekuju urednu naplatu od dužnika.
Uslovi za priznavanje ostalih instrumenata materijalne kreditne zaštite
158. Ostala materijalna sredstva obezbeđenja priznaju se za ublažavanje kreditnog rizika u okviru IRB pristupa ako su ispunjeni sledeći uslovi:
1) da su ugovorne odredbe koje uređuju ovo sredstvo punovažne u skladu s merodavnim pravom i da banci omogućavaju realizaciju tog sredstva u razumnom roku;
2) da banka ima pravo prvenstva u naplati po osnovu realizacije materijalnog sredstva obezbeđenja u odnosu na ostale poverioce;
3) da banka redovno prati, a najmanje jednom godišnje proverava vrednost ovog sredstva, kao i češće ako su osetnije promenjeni uslovi na tržištu tog sredstva;
4) da ugovor o kreditu sadrži detaljan opis ovog sredstva, načine za utvrđivanje njegove vrednosti, kao i rokove u kojima se sprovodi to utvrđivanje;
5) da je banka donela unutrašnje akte, odnosno uspostavila procedure kojima se uređuju vrste imovine koju prihvata kao ovo sredstvo, kao i određivanje prihvatljivog odnosa između vrednosti tog sredstva i iznosa izloženosti, i to po vrstama ovih sredstava;
6) da je banka u okviru svoje politike odobravanja kredita, i to po vrstama kredita, definisala uslove koje sredstvo obezbeđenja mora da ispuni u odnosu na iznos izloženosti, mogućnost blagovremene realizacije sredstva obezbeđenja, način utvrđivanja cene ili tržišne vrednosti, učestalost procene vrednosti sredstva obezbeđenja (uključujući i procenu od strane procenjivača) i volatilnost, odnosno procenu volatilnosti vrednosti sredstva obezbeđenja;
7) da početna i naknadna procena vrednosti ovog sredstva uzimaju u obzir svako pogoršanje njegovog kvaliteta, kao i uticaj proteka vremena na njegovu vrednost;
8) da banka ima pravo da vrši neposrednu proveru ovog sredstva i da je uspostavila procedure koje se odnose na sprovođenje ove provere;
9) da je banka uspostavila jasne i sveobuhvatne procedure za praćenje i proveru adekvatnosti osiguranja od rizika nastupanja štete na imovini koja se koristi kao sredstvo obezbeđenja.
Uslovi za priznavanje izloženosti nastalih po osnovu lizing transakcija kao obezbeđenih izloženosti
159. Banka može izloženosti nastale po osnovu lizing transakcija da tretira kao izloženosti obezbeđene istom vrstom imovine koja je predmet lizinga ako su ispunjeni sledeći uslovi:
1) uslovi iz tač. 156. ili 158. ove odluke, zavisno od predmeta lizinga i mogućnosti da imovina iz tih tačaka bude predmet lizinga u skladu s merodavnim pravom;
2) da davalac lizinga ima uspostavljen odgovarajući sistem za upravljanje rizicima koji podrazumeva praćenje vrednosti predmeta lizinga, lokacije, veka trajanja, njegovog namenskog korišćenja i amortizacije u periodu korišćenja;
3) da davalac lizinga ima pravo svojine nad predmetom lizinga, kao i mogućnost da to pravo pod zakonom utvrđenim uslovima blagovremeno ostvari;
4) da razlika između neamortizovane i tržišne vrednosti predmeta lizinga, ako nije uključena u izračunavanje LGD parametra, ne bude veća od efekata kreditne zaštite po osnovu predmeta lizinga kao sredstva obezbeđenja.
Uslovi za priznavanje ostalih materijalnih sredstava obezbeđenja
160. Gotovina i gotovinski ekvivalenti koji se nalaze kod druge banke priznaju se za ublažavanje kreditnog rizika u skladu s tačkom 148. ove odluke ako su ispunjeni sledeći uslovi:
1) da se potraživanje od druge banke po osnovu ove gotovine i gotovinskih ekvivalenata, koje je pruženo kao sredstvo obezbeđenja ili preneto na banku, može bezuslovno i neopozivo realizovati u skladu s merodavnim pravom;
2) da je banka kod koje su sredstva deponovana obaveštena o zalozi ili prenosu tih sredstava;
3) kao rezultat obaveštenja iz odredbe pod 2) ove tačke banka kod koje su sredstva deponovana može ta sredstva prenositi samo banci koja je korisnik kreditne zaštite ili drugim licima uz prethodnu saglasnost te banke.
161. Polise životnog osiguranja priznaju se za ublažavanje kreditnog rizika ako su ispunjeni sledeći uslovi:
1) da su vinkulirane u korist banke u skladu s merodavnim pravom;
2) da je društvo za osiguranje koje ih je izdalo obavešteno o vinkuliranju i ne može vršiti ugovorene isplate korisniku osiguranja bez saglasnosti te banke;
3) da banka ima pravo da otkaže polisu osiguranja i da naplati njenu otkupnu vrednost u slučaju nastupanja statusa neizmirenja obaveza dužnika;
4) da je banka obaveštena o svim slučajevima neizvršenja obaveza plaćanja osiguranika po osnovu tih polisa;
5) da imaju najmanje istu ročnost kao i odnosna izloženost, a u slučaju kada polisa osiguranja ističe pre okončanja kreditnog odnosa, banka je dužna da obezbedi da iznos dobijen nakon isteka polise osiguranja služi kao kreditna zaštita sve do prestanka kreditnog odnosa;
6) da je njihovu otkupnu vrednost utvrdilo društvo za osiguranje koje ih je izdalo i da se ta vrednost ne može umanjivati;
7) da je njihova otkupna vrednost naplativa na zahtev u kratkom roku;
8) da njihova otkupna vrednost ne može biti isplaćena bez saglasnosti banke;
9) da društvo za osiguranje koje ih je izdalo ima sedište u Republici Srbiji ili državi članici Evropske unije, odnosno državi koja nije članica Evropske unije ako su njeni propisi kojima se uređuje poslovanje društava za osiguranje i nadzor nad tim poslovanjem usklađeni s propisima Evropske unije.
b) Nematerijalna kreditna zaštita i CLN derivati
Opšti uslovi za priznavanje garancija i kreditnih derivata
162. Da bi bili priznati za ublažavanje kreditnog rizika, uzimajući u obzir odredbe tačke 163. ove odluke, garancija ili kreditni derivat treba da ispunjavaju sledeće opšte uslove:
1) da je kreditna zaštita direktna;
2) da je nivo, odnosno iznos kreditne zaštite jasno utvrđen i da se ne može osporiti;
3) da ugovor po osnovu kog su pribavljeni instrumenti kreditne zaštite ne sadrži odredbe koje:
- pružaocu kreditne zaštite omogućavaju da jednostrano otkaže ovaj ugovor,
- uvećavaju trošak kreditne zaštite kao rezultat pogoršanja kreditnog kvaliteta odnosne izloženosti,
- utiču na obavezu pružaoca kreditne zaštite da blagovremeno izvrši plaćanje u slučaju da dužnik banke po odnosnoj izloženosti ne izvrši bilo koju dospelu obavezu plaćanja ili u slučaju isteka ugovora o lizingu da prizna garantovanje preostalog iznosa u skladu s tačkom 62. stav 7. i tačkom 113. stav 5. ove odluke,
- pružaocu kreditne zaštite omogućavaju da skrati rok na koji je ugovorena ta zaštita;
4) da se mogu realizovati u skladu s merodavnim pravom.
Banka je dužna da upravlja rizikom koncentracije koji može nastati usled korišćenja garancija i kreditnih derivata, kao i da dokumentuje način na koji je strategija korišćenja ovih instrumenata uključena u sveobuhvatan proces upravljanja rizicima.
Banka je dužna da preduzima sve potrebne aktivnosti u skladu sa ugovorom i zakonom radi realizacije sredstva obezbeđenja, kao i da kontinuirano proverava mogućnost realizacije uspostavljenog instrumenta zaštite u skladu sa merodavnim pravom.
Kontragarancije države i drugih lica iz javnog sektora
163. Ako je izloženost banke obezbeđena garancijom za koji postoji kontragarancija lica iz stava 2. ove tačke, takva izloženost može se tretirati kao izloženost obezbeđena garancijom ovih lica ako su ispunjeni sledeći uslovi:
1) da kontragarancija pokriva sve elemente kreditnog rizika po osnovu potraživanja;
2) da garancija i kontragarancija ispunjavaju uslove propisane tačkom 162. ove odluke, osim što kontragarancija ne mora biti direktna;
3) da je pokriće pouzdano i da ne postoje istorijski podaci koji ukazuju na to da je pokriće kontragarancije manje pouzdano od direktne garancije tih lica.
Tretman iz stava 1. ove tačke primenjuje se na izloženosti obezbeđene garancijom za koje postoji kontragaracija sledećih lica:
1) države i centralne banke;
2) teritorijalne autonomije i jedinice lokalne samouprave;
3) javnog administrativnog tela za koje se ponder rizika, u skladu s tačkom 43. stav 5. ove odluke, dodeljuje na način koji je propisan za izloženosti prema državi u kojoj je osnovano;
4) međunarodne razvojne banke ili međunarodne organizacije kojima se, u skladu s tač. 44. i 45. ove odluke, dodeljuje ponder rizika 0%;
5) javnog administrativnog tela za koje se ponder rizika dodeljuje u skladu s tačkom 43. st. 1. do 3. ove odluke.
Tretman iz stava 1. ove tačke primenjuje se i na izloženost za koju postoji kontragarancija pravnih lica koja nisu navedena u stavu 2. te tačke, ako je za kontragaranciju za tu izloženost pravno lice iz tog stava dalo direktnu garanciju i ako su ispunjeni uslovi iz stava 1. te tačke.
Posebni uslovi za priznavanje garancija
164. Garancija se priznaje za ublažavanje kreditnog rizika ako su, pored uslova iz tačke 162. ove odluke, ispunjeni sledeći uslovi:
1) da banka ima pravo da, u slučaju neizmirenja obaveza dužnika banke ili nastanka drugog kreditnog događaja koji se odnosi na tog dužnika, od izdavaoca garancije zahteva blagovremeno plaćanje svih dospelih potraživanja po osnovu odnosne izloženosti koje nije uslovljeno obavezom banke da prethodno zahteva ispunjenje obaveza od dužnika;
2) da je garancija jasno dokumentovana obaveza izdavaoca garancije;
3) da garancija pokriva sve vrste plaćanja koje je dužnik obavezan da izvrši po osnovu odnosne izloženosti, a da je, izuzetno, kad određene vrste plaćanja nisu pokrivene garancijom, takvo ograničeno pokriće jasno naznačeno.
Za izloženosti po osnovu kredita obezbeđenog hipotekom na stambenoj nepokretnosti garancija se priznaje za ublažavanje kreditnog rizika ako su ispunjeni uslovi iz tačke 162. stav 1. odredba pod 3) alineja treća ove odluke i stava 1. ove tačke i ako je ugovoreno da banka može od izdavaoca garancije zahtevati plaćanje najkasnije u roku od 24 meseca od dana nastupanja statusa neizmirenja obaveza ili nastanka drugog ugovorenog događaja ako ne uspe da tu izloženost naplati realizacijom hipoteke.
U slučaju garancija koje su primljene u okviru garantnih šema ili kontragarancija lica navedenih u tački 163. stav 2. ove odluke, uslov iz stava 1. odredba pod 1) ove tačke smatra se ispunjenim u jednom od sledećih slučajeva:
1) banka ima pravo da u razumnom roku primi od davaoca garancije privremena plaćanja u iznosu procenjenog ekonomskog gubitka koji ima veliku verovatnoću nastanka, srazmerno pokriću garancije, uključujući i gubitke nastale usled neplaćanja kamate i ostalih vrsta plaćanja koje je dužnik u obavezi da izvrši ili
2) banka je u mogućnosti da dokaže da realizacijom garancije mogu da budu pokriveni svi gubici na koje se garancija odnosi, uključujući gubitke nastale po osnovu neplaćanja kamate i ostalih vrsta plaćanja koje je dužnik u obavezi da izvrši.
Posebni uslovi za priznavanje kreditnih derivata
165. Kreditni derivati priznaju se za ublažavanje kreditnog rizika ako su, pored opštih uslova iz tačke 162. ove odluke, ispunjeni i sledeći uslovi:
1) da je ugovorom o kreditnom derivatu utvrđeno da kreditni događaj nastaje u slučaju:
- neizmirenja dospele novčane obaveze u skladu sa uslovima ugovorenim za odnosnu izloženost, koji važe u trenutku neizmirenja (sa periodom počeka koji je usklađen ili kraći od perioda počeka date obaveze),
- da dužnik ne izmiruje dospele novčane obaveze prema svim poveriocima (npr. stečaj ili drugi oblik nemogućnosti dužnika da svoje obaveze izmiruje u rokovima dospeća - blokada dužnikovih računa, izjava dužnika o nemogućnosti izmirenja obaveza i sl.),
- restrukturiranja odnosne izloženosti u vidu otpisa ili produženja roka plaćanja glavnice, kamate ili naknada, čija je posledica nastanak gubitka (npr. ispravka vrednosti ili druga slična promena u bilansu uspeha);
2) da banka za kreditne derivate kod kojih je ugovoreno izmirenje u novcu primenjuje sveobuhvatan proces vrednovanja radi procene gubitaka, uključujući i jasno utvrđen period za vrednovanje date obaveze nakon nastanka kreditnog događaja;
3) za kreditne derivate kod kojih je ugovoreno poravnanje uz prenos odnosne izloženosti na pružaoca zaštite, da ugovor kojim je uređena ta izloženost ne sadrži odredbu kojom se neopravdano sprečava takav prenos;
4) da je jasno određeno ko je odgovoran za utvrđivanje nastanka kreditnog događaja, pri čemu to lice ne može biti isključivo pružalac kreditne zaštite;
5) da korisnik kreditne zaštite ima pravo da pružaoca ove zaštite obavesti o nastanku kreditnog događaja.
Izuzetno, ako ugovorom o kreditnom derivatu nije predviđeno da kreditni događaj nastaje u slučaju restrukturiranja iz stava 1. odredbe pod 1) alineja treća - kreditni derivat može se priznati za ublažavanje kreditnog rizika ako je njegova vrednost umanjena na način utvrđen u tački 189. stav 2. ove odluke.
Za kreditne derivate kod kojih je referentna obaveza i/ili obaveza koja se koristi za utvrđivanje nastanka kreditnog događaja različita od odnosne izloženosti, treba da budu ispunjeni i sledeći uslovi:
1) da su referentna obaveza ili obaveza koja se koristi za utvrđivanje nastanka kreditnog događaja podređene ili da imaju isti redosled namirenja kao i odnosna izloženost;
2) da je isti dužnik po referentnoj obavezi ili obavezi koja se koristi za utvrđivanje nastanka kreditnog događaja i po odnosnoj izloženosti, pri čemu su ugovorene odredbe o međusobno zavisnom neizmirenju obaveza (cross-default clauses) ili o međusobno zavisnom ubrzanom dospeću (cross-acceleration clauses).
Posebni uslovi za primenu tretmana iz tačke 118. stav 3. ove odluke
166. Garancija ili kreditni derivat smatra se podobnim instrumentom kreditne zaštite za potrebe primene tretmana iz tačke 118. stav 3. ove odluke, ako su ispunjeni sledeći uslovi:
1) odnosna obaveza je:
- izloženost prema privrednim društvima u smislu tač. 73. do 79. ove odluke, osim društava za osiguranje i reosiguranje,
- izloženost prema jedinicama teritorijalne autonomije i lokalne samouprave ili prema javnim administrativnim telima na koje se ne primenjuje isti tretman kao na izloženosti prema državi u kojoj su osnovani, u skladu s tač. 73. do 79. ove odluke,
- izloženost prema malim i srednjim preduzećima koja su razvrstana u klasu izloženosti prema fizičkim licima, u skladu s tačkom 76. ove odluke;
2) dužnici po odnosnoj obavezi nisu članovi iste grupe povezanih lica kao i pružalac zaštite;
3) izloženost je zaštićena sledećim instrumentima:
- kreditnim derivatima ili garancijama sa jednim referentnim licem,
- kreditnim derivatima sa prvim neizmirenjem obaveze,
- kreditnim derivatima sa n-tim neizmirenjem obaveze;
4) kreditna zaštita ispunjava uslove iz tač. 162, 164. i 165. ove odluke, ako je primenljivo;
5) ponder rizika koji je dodeljen izloženosti pre primene tretmana iz tačke 118. stav 3. ove odluke nije prethodno prilagođen po osnovu kreditne zaštite;
6) banka ima pravo da primi plaćanje od pružaoca zaštite bez preduzimanja pravnih radnji prema dužniku i sprovodi odgovarajuće aktivnosti kojima obezbeđuje spremnost pružaoca zaštite da, u slučaju nastanka kreditnog događaja, u najkraćem roku izvrši ugovoreno plaćanje;
7) kreditna zaštita obuhvata sve gubitke koji se odnose na obezbeđenu izloženost, a nastali su po osnovu nastupanja kreditnih događaja;
8) ako struktura plaćanja podrazumeva fizičko izmirenje obaveze, ne postoje pravna ograničenja u odnosu na mogućnosti isporuke kredita, obveznice ili potencijalne obaveze;
9) ako banka namerava da isporuči imovinu koja nije odnosna imovina, ta imovina mora da bude dovoljno likvidna kako bi banka imala mogućnost da je pribavi za potrebe isporuke u skladu sa ugovorom;
10) uslovi i drugi elementi kreditne zaštite utvrđeni su ugovornim odnosom između pružaoca zaštite i banke;
11) banka je uspostavila proces za utvrđivanje visokog stepena korelacije između kreditnog kvaliteta pružaoca zaštite i dužnika po osnovu odnosne obaveze, a koja nastaje zbog toga što na njihovo poslovanje utiču od slični faktori, osim faktora sistemskog rizika;
12) u slučaju zaštite od rizika smanjenja vrednosti potraživanja, prodavac kupljenog potraživanja ne pripada grupi povezanih lica kojoj pripada pružalac zaštite.
Za potrebe stava 1. odredba pod 3) alineja druga ove tačke, banka tretman iz tačke 118. stav 3. ove odluke primenjuje na imovinu u okviru grupe sa najmanjim iznosom rizikom ponderisane izloženosti.
Za potrebe stava 1. odredba pod 3) alineja treća ove tačke, banka tretman iz tačke 118. stav 3. ove odluke primenjuje na imovinu u okviru grupe sa najmanjim iznosom rizikom ponderisane izloženosti samo ako je već pribavljena podobna zaštita za imovinu od prvog do (n-1) neizmirenja obaveza ili ako je već nastupilo (n-1) neizmirenje obaveze.
4. Izračunavanje efekata kreditne zaštite
a) Materijalna kreditna zaštita
CLN derivati
167. CLN derivat koji je izdala banka ima tretman sredstva obezbeđenja u obliku gotovine, za potrebe izračunavanja rizikom ponderisane izloženosti, ako ugrađeni CDS derivat ispunjava uslove propisane za podobne instrumente nematerijalne kreditne zaštite propisane tačkom 136. stav 5. ove odluke.
Bilansno netiranje
168. Radi prilagođavanja rizikom ponderisanih izloženosti za efekte korišćenja bilansnog netiranja - potraživanja i obaveze po osnovu kredita i depozita u istoj valuti koji su predmet bilansnog netiranja imaju tretman sredstva obezbeđenja u obliku gotovine.
Primena supervizorskih ili sopstvenih procena faktora volatilnosti za standardizovane sporazume o netiranju
169. Za potrebe prilagođavanja rizikom ponderisane izloženosti za efekte korišćenja standardizovanih sporazuma o netiranju čiji su predmet repo transakcije, transakcije davanja ili uzimanja u zajam hartija od vrednosti ili robe i/ili druge transakcije s pravom dodatnog obezbeđenja, banka faktore volatilnosti za složeni metod utvrđuje u skladu s tač. 174. do 182. ove odluke, korišćenjem ili supervizorskih faktora volatilnosti ili sopstvenih faktora volatilnosti. Banka je dužna da sve uslove propisane za primenu složenog metoda primenjuje i u slučaju korišćenja pristupa sopstvene procene.
Za potrebe izračunavanja efektivne vrednosti odnosne izloženosti (E*) banka je dužna da:
1) neto poziciju u svakoj grupi hartija od vrednosti ili vrsti robe utvrđuje oduzimanjem iznosa ukupne vrednosti grupe hartija od vrednosti ili robe iste vrste koji su kupljeni, uzeti u zajam ili primljeni po osnovu standardizovanog sporazuma o netiranju od iznosa ukupne vrednosti ove grupe hartija od vrednosti ili robe koje su prodate, date u zajam ili predate po osnovu ovog sporazuma;
2) neto poziciju u svakoj valuti, osim valute poravnanja standardizovanog sporazuma o netiranju, utvrđuje oduzimanjem iznosa ukupne vrednosti hartija od vrednosti izraženih u toj valuti koje su kupljene, uzete u zajam ili primljene po osnovu ovog sporazuma od iznosa ukupne vrednosti hartija od vrednosti izraženih u toj valuti koje su prodate, date u zajam ili predate po osnovu tog sporazuma;
3) na apsolutnu vrednost neto pozicije u svakoj grupi hartija od vrednosti primenjuje odgovarajući faktor volatilnosti za datu grupu ili za novčanu poziciju;
4) na apsolutnu vrednost neto pozicije u svakoj valuti, osim valute poravnanja standardizovanog sporazuma o netiranju, primenjuje odgovarajući faktor volatilnosti za valutnu neusklađenost za datu valutu.
Efektivna vrednost odnosne izloženosti po standardizovanim sporazumima o netiranju (E*) izračunava se u skladu sa sledećom formulom:
![]()
gde je:
Ei = vrednost pojedinačnih izloženosti i po osnovu standardizovanog sporazuma o netiranju, pod pretpostavkom da ne postoji kreditna zaštita, utvrđena prema standardizovanom, odnosno IRB pristupu, u zavisnosti od toga koji pristup banka koristi;
Ci = vrednost hartije od vrednosti ili robe koja je kupljena, uzeta u zajam ili primljena, ili gotovine koja je uzeta u zajam ili primljena po osnovu izloženosti i,
Ejsec= neto pozicija (pozitivna ili negativna) u grupi identičnih hartija od vrednosti j;
Ekfx = neto pozicija (pozitivna ili negativna) u valuti k, osim valute poravnanja standardizovanog sporazuma o netiranju,
Hjsec = faktor volatilnosti za sredstvo obezbeđenja utvrđen za svaku vrstu hartija od vrednosti j;
Hkfx = faktor volatilnosti za valutnu neusklađenost za valutu k.
Banka za potrebe prilagođavanja rizikom ponderisane izloženosti za efekte korišćenja standardizovanih sporazuma o netiranju čiji su predmet repo transakcije, transakcije davanja ili uzimanja u zajam hartija od vrednosti ili robe i/ili druge transakcije s pravom dodatnog obezbeđenja, koristi efektivnu vrednost odnosne izloženosti (E*) izračunatu u skladu sa stavom 3. ove tačke, kao vrednost izloženosti prema drugoj ugovornoj strani koja proizilazi iz transakcija obuhvaćenih standardizovanim sporazumom o netiranju za potrebe tačke 39. ove odluke ako primenjuje standardizovani pristup, odnosno za potrebe odeljka 2. ove glave ako primenjuje IRB pristup.
Grupa hartija od vrednosti obuhvata hartije od vrednosti emitovane od strane istog lica, istog dana, sa istim datumom dospeća, sa istim ugovorenim uslovima i istim likvidacionim periodom u smislu tač. 180. i 181. ove odluke.
Primena metoda internih modela za standardizovane sporazume o netiranju
170. Banka može, uz prethodnu saglasnost Narodne banke Srbije, rizikom ponderisanu izloženost prilagođavati za efekte korišćenja standardizovanih sporazuma o netiranju čiji su predmet repo transakcije, transakcije davanja ili uzimanja u zajam hartija od vrednosti ili robe i/ili druge transakcije s pravom dodatnog obezbeđenja, primenom internih modela koji obuhvataju korelacije između pozicija u hartijama od vrednosti koje su predmet ovih sporazuma i likvidnost tih hartija.
Banka može, uz prethodnu saglasnost Narodne banke Srbije, da koristi interne modele za transakcije kreditiranja trgovine hartijama od vrednosti ako su ove transakcije pokrivene dvostranim standardizovanim sporazumima o netiranju koji ispunjavaju uslove iz odeljka 5. pododeljka 6. ove glave.
Banka može da primenjuje pristup internih modela nezavisno od toga da li koristi standardizovani ili IRB pristup za računanje iznosa rizikom ponderisanih izloženosti, pri čemu je dužna da ove modele primeni na sve druge ugovorne strane i na sve hartije od vrednosti, osim na portfolija koja nisu materijalno značajna i za koja može koristiti faktore volatilnosti u skladu s tačkom 169. ove odluke.
Ako banka ima saglasnost Narodne banke Srbije za korišćenje internih modela u skladu sa glavom VII odeljak 6. ove odluke, može da primenjuje pristup internih modela iz ove tačke. Ako banka nema datu saglasnost, može Narodnoj banci Srbije da podnese zahtev za davanje prethodne saglasnosti za korišćenje internih modela iz ove tačke.
171. Narodna banka Srbije može banci dati prethodnu saglasnost za primenu internih modela pod uslovom da banka ima uspostavljen sveobuhvatan, pouzdan i jedinstven sistem upravljanja rizicima koji mogu nastati po osnovu transakcija iz standardizovanog sporazuma o netiranju i ako su ispunjeni sledeći uslovi:
1) da je interni model za upravljanje rizicima koji banka koristi za računanje potencijalne promene vrednosti ovih transakcija uključen u svakodnevni proces upravljanja rizicima banke i da služi kao osnova za izveštavanje rukovodstva o rizičnim izloženostima banke;
2) da banka ima organizacionu jedinicu u čijem je delokrugu kontrola rizika koja je nezavisna od organizacione jedinice u čijem je delokrugu ugovaranje transakcija, koja direktno izveštava rukovodstvo, koja je odgovorna za uspostavljanje i sprovođenje sistema upravljanja rizicima banke, izradu i analiziranje dnevnih izveštaja o rezultatu internih modela za merenje rizika i o predloženim merama u vezi s limitima za pojedine pozicije;
3) da organizaciona jedinica u čijem je delokrugu kontrola rizika dnevne izveštaje dostavlja onom nivou rukovodstva koje je ovlašćeno da ograniči ili smanji ukupnu izloženost banke rizicima i pozicija koje zaposleni ovlašćeni za ugovaranje transakcija zauzimaju;
4) da banka u organizacionoj jedinici u čijem je delokrugu kontrola rizika ima dovoljan broj zaposlenih koji su stručni i osposobljeni za korišćenje složenih internih modela;
5) da je banka uspostavila postupak za praćenje i obezbeđivanje usklađenosti sa svojim unutrašnjim aktima i kontrolnim mehanizmima koji se odnose na sistem merenja rizika;
6) da postoji dokumentacija o pouzdanosti i tačnosti internog modela za merenje rizika dobijena back testiranjem, odnosno proverom tih modela na osnovu realizovanih vrednosti, korišćenjem podataka za period od najmanje jedne godine;
7) da banka redovno sprovodi rigorozno stres testiranje, čije rezultate analizira rukovodstvo banke i, u skladu s njim, menja unutrašnje akte i uspostavljene limite;
8) da unutrašnja revizija banke najmanje jednom godišnje sprovodi nezavisnu procenu sistema za upravljanje rizicima, koja obuhvata aktivnosti organizacione jedinice u čijem je delokrugu ugovaranje transakcija trgovanja i organizacione jedinice u čijem je delokrugu kontrola rizika;
9) da banka najmanje jednom godišnje vrši reviziju svog sistema za upravljanje rizicima;
10) da interni model ispunjava uslove iz tačke 279. st. 6. i 7. i tačke 281. ove odluke.
Interni model za upravljanje rizicima koji banka koristi treba da obuhvati dovoljan broj relevantnih faktora rizika kako kako bi modelom bili obuhvaćeni svi materijalno značajni cenovni rizici.
Banka može koristiti empirijske korelacije u okviru određene rizične kategorije ili između rizičnih kategorija samo ako je sistem za merenje ovih korelacija pouzdan i sveobuhvatan.
Pri podnošenju zahteva za dobijanje prethodne saglasnosti iz stava 1. ove tačke, banka je dužna da Narodnoj banci Srbije dostavi odgovarajuću dokumentaciju kojom dokazuje ispunjenost uslova iz tog stava.
Narodna banka Srbije može banci ukinuti saglasnost iz stava 1. ove tačke ako utvrdi da više nisu ispunjeni uslovi iz tog stava.
172. Efektivna vrednost izloženosti banke (E*) se, primenom internih modela, izračunava korišćenjem sledeće formule:
E* = max{0,(SiEi - SiCi)+ potencijalna promena vrednosti}
gde je:
Ei = vrednost pojedinačne izloženosti i po osnovu standardizovanog sporazuma o netiranju, pod pretpostavkom da ne postoji kreditna zaštita, utvrđena primenom standardizovanog, odnosno IRB pristupa, u zavisnosti od toga koji pristup banka koristi;
Ci = vrednost hartije od vrednosti koja je kupljena, uzeta u zajam ili primljena, ili gotovine koja je uzeta u zajam ili primljena po osnovu izloženosti i.
Banka je dužna da, prilikom izračunavanja iznosa rizikom ponderisanih izloženosti primenom pristupa internih modela, koristi rezultate modela od prethodnog radnog dana.
Banka je dužna da pri izračunavanju potencijalne promene vrednosti iz stava 1. ove tačke obezbedi ispunjenje sledećih uslova:
1) da se ove promene izračunavaju najmanje jednom dnevno;
2) da jednostrani interval poverenja iznosi 99%;
3) da se za repo transakcije ili transakcije davanja ili uzimanja u zajam hartija od vrednosti koristi petodnevni, a za ostale transakcije desetodnevni period realizacije;
4) da vremenska serija podataka nije kraća od jedne godine, osim u slučaju znatnog povećanja volatilnosti cena, kad korišćenje kraće vremenske serije može biti opravdano;
5) da se vremenska serija podataka ažurira najmanje jednom u tri meseca.
U slučaju repo transakcije, transakcija davanja ili uzimanja u zajam hartija od vrednosti ili transakcija kreditiranja trgovine hartijama od vrednosti ili sličnih transakcija ili skupa za netiranje, koji ispunjavaju uslove propisane tačkom 271. st. 1. do 4. ove odluke, minimalni period držanja treba da bude usklađen sa periodom rizika margine koji bi se primenio u skladu sa navedenim odredbama i odredbom tačke 271. stav 5. te odluke.
Za potrebe prilagođavanja rizikom ponderisane izloženosti za efekte korišćenja standardizovanih sporazuma o netiranju čiji su predmet repo transakcije, transakcije davanja ili uzimanja u zajam hartija od vrednosti ili robe i/ili druge transakcije s pravom dodatnog obezbeđenja, banka je dužna da koristi efektivnu vrednost izloženosti (E*) izračunatu u skladu s tačkom 172. stav 1. ove odluke, kao vrednost izloženosti prema drugoj ugovornoj strani koja proizlazi iz transakcija obuhvaćenih standardizovanim sporazumom o netiranju za potrebe tačke 39. te odluke ako primenjuje standardizovani pristup, odnosno za potrebe odeljka 2. ove glave ako primenjuje IRB pristup.
Jednostavni metod za finansijska sredstva obezbeđenja
173. Banka može da koristi jednostavni metod samo ako iznos rizikom ponderisanih izloženosti računa primenom standardizovanog pristupa. Banka ne može istovremeno koristiti i jednostavni i složeni metod izuzev u slučajevima iz tačke 81. stav 1. i tačke 83. stav 1. ove odluke. Banka ovo izuzeće ne može da koristi selektivno sa namerom smanjenja kapitalnih zahteva ili zaobilaženja drugih obaveza iz propisa.
Banka je dužna da podobnim sredstvima obezbeđenja u obliku finansijske imovine dodeljuje vrednost jednaku njihovoj tržišnoj vrednosti utvrđenoj u skladu s tačkom 155. stav 1. odredba pod 7) ove odluke.
Banka delu izloženosti - do visine tržišne vrednosti sredstva obezbeđenja u obliku finansijske imovine, dodeljuje ponder rizika koji bi, u skladu sa odeljkom 1. ove glave, dodelila direktnoj izloženosti prema tom sredstvu obezbeđenja. Vrednost vanbilansnih stavki se utvrđuje primenom faktora konverzije 100% umesto faktora konverzije propisanih u tački 37. ove odluke. Ponder rizika sredstva obezbeđenja ne može biti manji od 20%, osim u slučajevima iz st. 4. do 6. ove tačke. Neobezbeđenom delu izloženosti banka je dužna da dodeli ponder rizika dužnika u skladu sa odeljkom 1. ove glave.
Banka dodeljuje ponder rizika 0% obezbeđenom delu izloženosti po osnovu repo transakcija i transakcija davanja ili uzimanja u zajam hartija od vrednosti koje ispunjavaju uslove iz tačke 183. ove odluke. Ako druga ugovorna strana u ovim transakcijama nije ključni tržišni učesnik, banka tim transakcijama dodeljuje ponder rizika 10%.
Banka ponder rizika 0% dodeljuje obezbeđenom delu izloženosti, izračunatom u skladu sa odeljkom 5. ove glave, po osnovu finansijskih derivata iz Priloga 1 ove odluke koji su obezbeđeni gotovinom ili gotovinskim ekvivalentima u valuti u kojoj je ugovoreno izmirenje po finansijskom derivatu, pod uslovom da su navedeni finansijski derivati predmet dnevnog vrednovanja po tekućoj tržišnoj vrednosti. Banka ponder rizika 10% dodeljuje delu izloženosti po osnovu finansijskih derivata obezbeđenih dužničkim hartijama od vrednosti koje su izdale države ili centralne banke kojima se, u skladu s odeljkom 1. ove glave, dodeljuje ponder rizika 0%.
Banka može da dodeli ponder rizika 0% izloženostima po osnovu ostalih transakcija ako su izloženost i sredstvo obezbeđenja izraženi u istoj valuti i ako je sredstvo obezbeđenja:
1) gotovina ili gotovinski ekvivalent ili
2) dužnička hartija od vrednosti države ili centralne banke kojoj se, u skladu s tačkom 41. ove odluke, dodeljuje ponder rizika 0%, pri čemu se tržišna vrednost ovih hartija umanjuje za 20%.
Dužničke hartije od vrednosti države ili centralne banke iz st. 5. i 6. ove tačke obuhvataju i:
1) dužničke hartije od vrednosti teritorijalnih autonomija i jedinica lokalne samouprave kojima se u skladu s tačkom 42. ove odluke dodeljuje ponder rizika na način koji je propisan za izloženosti prema državama i centralnim bankama;
2) dužničke hartije od vrednosti međunarodnih razvojnih banaka kojima se u skladu s tačkom 44. te odluke dodeljuje ponder rizika 0%;
3) dužničke hartije od vrednosti međunarodnih organizacija kojima se u skladu s tačkom 45. te odluke dodeljuje ponder rizika 0%;
4) dužničke hartije od vrednosti javnih administrativnih tela kojima se u skladu s tačkom 43. te odluke dodeljuje ponder rizika 0%.
Složeni metod za finansijska sredstva obezbeđenja
174. Ako banka koristi složeni metod dužna je da, prilikom određivanja vrednosti finansijskog sredstva obezbeđenja, primenjuje faktore volatilnosti na tržišnu vrednost sredstva obezbeđenja u skladu s tač. 180. do 183. ove odluke.
Ako je sredstvo obezbeđenja u valuti različitoj od valute odnosne izloženosti, banka je dužna da primeni faktore volatilnosti za valutnu neusklađenost na način definisan u tač. 180. do 183. ove odluke.
Banka je dužna da za transakcije sa OTC derivatima koji su predmet sporazuma o netiranju u skladu sa odeljkom 5. ove glave, kod kojih je sredstvo obezbeđenja izraženo u valuti koja se razlikuje od valute poravnanja, primeni faktor volatilnosti za valutnu neusklađenost. Ako je u transakciju uključeno više valuta, banka primenjuje samo jedan faktor volatilnosti za valutnu neusklađenost.
175. Vrednost sredstva obezbeđenja korigovana faktorom volatilnosti (CVA) za sve transakcije, osim za transakcije koje su predmet standardizovanog sporazuma o netiranju u skladu s tač. 169. do 172. ove odluke, izračunava se na sledeći način:
CVA = C x (1-HC-HFX)
gde je:
C = vrednost sredstva obezbeđenja;
HC = faktor volatilnosti za sredstvo obezbeđenja izračunat u skladu s tač. 180. do 183. ove odluke;
HFX = faktor volatilnosti za valutnu neusklađenost izračunat u skladu s tač. 180. do 183. te odluke.
176. Prilagođena vrednost odnosne izloženosti (EVA) izračunava se prema sledećoj formuli:
EVA = E x (1+HE),
gde je:
E = vrednost izloženosti koja bi bila utvrđena, korišćenjem standardizovanog ili IRB pristupa kreditnom riziku, da izloženost nije obezbeđena;
HE = faktor volatilnosti primenljiv na odnosnu izloženost, u skladu s tač. 180. do 183. ove odluke.
U slučaju transakcija sa OTC derivatima:
EVA = E
Banka je dužna da za određivanje vrednosti izloženosti E iz stava 1. ove tačke primeni faktor konverzije 100% umesto:
- faktora konverzije iz tačke 37. ove odluke, za banku koja izračunava iznos rizikom ponderisanih izloženosti primenom standardizovanog pristupa kreditnom riziku,
- faktora konverzije iz tačke 113. st. 8. do 10. te odluke, za banku koja izračunava iznos rizikom ponderisanih izloženosti primenom IRB pristupa kreditnom riziku.
177. Banka je dužna da potpuno prilagođenu, odnosno efektivnu vrednost izloženosti (E*) utvrđuje uzimajući u obzir faktore volatilnosti i efekte tehnika ublažavanja kreditnog rizika korišćenjem sledeće formule:
E* = max {0, [EVA - CVAM]},
gde je:
EVA = prilagođena vrednost odnosne izloženosti u skladu s tačkom 176. ove odluke;
CVAM = prilagođena vrednost sredstva obezbeđenja u skladu sa odredbama pododeljka 5. ovog odeljka.
178. Banka može da određuje faktore volatilnosti korišćenjem supervizorskih faktora volatilnosti u skladu s tačkom 180. ove odluke ili sopstvenih procena faktora volatilnosti u skladu s tačkom 181. te odluke, nezavisno od toga da li koristi standardizovani ili IRB pristup za računanje iznosa rizikom ponderisanih izloženosti.
Ako koristi sopstvene procene faktora volatilnosti, banka je dužna da ovaj pristup primenjuje na sve vrste instrumenata, osim na portfolija koja nisu materijalno značajna, a na koja može da primenjuje supervizorske faktore volatilnosti.
179. Ako se kreditna zaštita koja se primenjuje na jednu izloženost sastoji od više podobnih sredstava obezbeđenja, banka je dužna da primenjuje sledeći faktor volatilnosti:
H = Σi aiHi
gde je:
H = faktor volatilnosti u slučaju materijalne kreditne zaštite koju čini više sredstava obezbeđenja;
ai = učešće sredstva obezbeđenja i u ukupnoj kreditnoj zaštiti i
Hi = faktor volatilnosti koje se primenjuje na pojedinačno sredstvo obezbeđenja i.
Supervizorski faktori volatilnosti za složeni metod
180. U slučaju dnevnog vrednovanja izloženosti, odnosno sredstva obezbeđenja - banka za obračun prilagođene vrednosti odnosne izloženosti i sredstva obezbeđenja koristi propisane faktore volatilnosti iz sledećih tabela (tabele 13-16):
Tabela 13.
Nivo kreditnog |
Preostala ročnost |
Faktori volatilnosti za dužničke HOV iz tačke 139. stav 1. odredba pod 2) ove odluke |
Faktori volatilnosti za dužničke HOV iz tačke 139. stav 1. odredbe pod 3) i 4) ove odluke |
Faktori volatilnosti za dužničke HOV iz tačke 139. stav 1. odredba pod 8) ove odluke |
||||||
20-dnevni period |
10-dnevni period realizacije (%) |
5-dnevni period realizacije (%) |
20-dnevni period realizacije (%) |
10-dnevni period realizacije (%) |
5-dnevni period realizacije (%) |
20-dnevni period realizacije (%) |
10-dnevni period realizacije (%) |
5-dnevni period realizacije (%) |
||
1 |
≤ 1 godine |
0,707 |
0,5 |
0,354 |
1,414 |
1 |
0,707 |
2,829 |
2 |
1,414 |
>1 ≤ 5 godina |
2,828 |
2 |
1,414 |
5,657 |
4 |
2,828 |
11,314 |
8 |
5,657 |
|
> 5 godina |
5,657 |
4 |
2,828 |
11,314 |
8 |
5,657 |
22,628 |
16 |
11,313 |
|
2-3 |
≤ 1 godine |
1,414 |
1 |
0,707 |
2,828 |
2 |
1,414 |
5,657 |
4 |
2,828 |
>1 ≤ 5 godina |
4,243 |
3 |
2,121 |
8,485 |
6 |
4,243 |
16,971 |
12 |
8,485 |
|
> 5 godina |
8,485 |
6 |
4,243 |
16,971 |
12 |
8,485 |
33,942 |
24 |
16,970 |
|
4 |
≤ 1 godine |
21,213 |
15 |
10,607 |
- |
- |
- |
- |
- |
- |
>1 ≤ 5 godina |
21,213 |
15 |
10,607 |
- |
- |
- |
- |
- |
- |
|
> 5 godina |
21,213 |
15 |
10,607 |
- |
- |
- |
- |
- |
- |
|
Tabela 14.
Nivo kreditnog kvaliteta u koji je raspoređen kratkoročni kreditni rejting dužničke HOV |
Faktori volatilnosti za dužničke HOV iz tačke 139. stav 1. odredba |
Faktori volatilnosti za dužničke HOV iz tačke 139. stav 1. odredba pod 3) i 4) ove odluke |
Faktori volatilnosti za dužničke HOV iz tačke 139. stav 1. odredba pod 8) ove odluke |
||||||
20-dnevni period realizacije (%) |
10-dnevni period realizacije (%) |
5-dnevni period realizacije (%) |
20-dnevni period realizacije (%) |
10-dnevni period realizacije (%) |
5-dnevni period realizacije (%) |
20-dnevni period realizacije (%) |
10-dnevni period realizacije (%) |
5-dnevni period realizacije (%) |
|
1 |
0,707 |
0,5 |
0,354 |
1,414 |
1 |
0,707 |
2,829 |
2 |
1,414 |
2-3 |
1,414 |
1 |
0,707 |
2,828 |
2 |
1,414 |
5,657 |
4 |
2,828 |
Tabela 15.
Ostale vrste sredstava obezbeđenja ili izloženosti |
20-dnevni period realizacije (%) |
10-dnevni period realizacije (%) |
5-dnevni period realizacije (%) |
Akcije ili konvertibilne obveznice koje su uključene u glavne berzanske indekse |
21,213 |
15 |
10,607 |
Ostale akcije ili konvertibilne obveznice kojima se trguje na priznatoj berzi |
35,355 |
25 |
17,678 |
Gotovina |
0 |
0 |
0 |
Zlato |
21,213 |
15 |
10,607 |
Tabela 16.
Faktori volatilnosti za valutnu neusklađenost |
||
20-dnevni |
10-dnevni |
5-dnevni |
11,314 |
8 |
5,657 |
Banka primenjuje faktore volatilnosti propisane ovom tačkom za sledeće periode realizacije:
1) 20 radnih dana za transakcije bez prava dodatnog obezbeđenja;
2) 5 radnih dana za repo transakcije (osim onih transakcija čiji je predmet roba ili zagarantovana prava koja se odnose na robu) i transakcije davanja ili uzimanja u zajam hartija od vrednosti;
3) 10 radnih dana za transakcije s pravom dodatnog obezbeđenja.
U slučaju transakcije ili skupa za netiranje koji ispunjava uslove iz tačke 271. st. 1. do 4. ove odluke, banka je dužna da minimalni period držanja uskladi sa periodom rizika margine propisanog tom tačkom.
Nivo kreditnog kvaliteta koji je pridružen kreditnom rejtingu dužničkih hartija od vrednosti u tabelama 13. do 16. je nivo kreditnog kvaliteta određen na osnovu kreditnog rejtinga koji je dodelila agencija za rejting ili agencija za kreditiranje izvoza u skladu s odeljkom 1. pododeljak 3. ove glave. Za potrebe utvrđivanja nivoa kreditnog kvaliteta koji je pridružen kreditnom rejtingu dužničkih hartija od vrednost banka je dužna da primenjuje i odredbe iz tačke 139. stav 4. ove odluke.
Banka je dužna da na hartije od vrednosti ili robu koji su dati u zajam ili prodati u repo transakcijama ili transakcijama davanja ili uzimanja u zajam hartija od vrednosti ili robe, a ne ispunjavaju uslove podobnosti - primenjuje faktor volatilnosti koji se primenjuje na akcije koje nisu uključene u glavni berzanski indeks, a kojima se trguje na priznatoj berzi.
Banka na investicione jedinice investicionih fondova koje su priznate kao podobno sredstvo obezbeđenja primenjuje:
- faktor volatilnosti koji predstavlja ponderisani prosek faktora volatilnosti koji bi se primenili na imovinu u koju je fond investirao, uzimajući u obzir period realizacije iz st. 2. i 3. ove tačke ili
- najviši faktor volatilnosti koji se primenjuje za imovinu u koju fond ima pravo da investira u skladu sa investicionom politikom i zakonom kojim se uređuju investicioni fondovi, ako banka ne raspolaže informacijama o imovini u koju fond ulaže.
Banka na dužničke hartije od vrednosti banaka koje su bez rejtinga a ispunjavaju uslove propisane tačkom 140. ove odluke primenjuje faktor volatilnosti koji je ovom tačkom propisan za hartije od vrednosti banaka ili privrednih društava čiji kreditni rejting odgovara nivou kreditnog kvaliteta 2 ili 3.
Sopstvene procene faktora volatilnosti za složeni metod
181. Banka može, uz prethodnu saglasnost Narodne banke Srbije, koristiti sopstvene procene faktora volatilnosti za obračun prilagođene vrednosti odnosne izloženosti i sredstva obezbeđenja ako su ispunjeni uslovi iz stava 4. ove tačke. Banka koja je dobila saglasnost za korišćenje sopstvenih procena faktora volatilnosti ne može preći na neki od drugih pristupa, osim ako je dokazala Narodnoj banci Srbije da za to ima opravdane razloge i dobila prethodnu saglasnost Narodne banke Srbije da pređe na upotrebu drugog pristupa.
Banka je dužna da faktore volatilnosti procenjuje za svaku pojedinačnu dužničku hartiju od vrednosti, odnosno za svako sredstvo obezbeđenja, a, izuzetno, da tu procenu vrši na grupnoj osnovi za dužničke hartije od vrednosti kojima je dodeljen kreditni rejting izabrane agencije za rejting kome odgovara nivo kreditnog kvaliteta 3 ili bolji. Ako banka ovu procenu vrši na grupnoj osnovi, ta procena je reprezentativna za hartije od vrednosti raspoređene u odgovarajuću grupu, pri čemu raspored ovih hartija u grupe vrši uzimajući u obzir klasu kojoj pripada njihov izdavalac, zatim kreditni rejting tih hartija, njihovu preostalu ročnost i modifikovano trajanje.
Banka koja koristi pristup sopstvene procene je dužna da faktor volatilnosti procenjuje za sredstvo obezbeđenja ili za valutnu neusklađenost ne uzimajući u obzir korelaciju između neobezbeđene izloženosti, sredstva obezbeđenja i/ili deviznog kursa.
Banka je dužna da pri sopstvenoj proceni faktora volatilnosti ispuni sledeće uslove:
1) da pri proceni faktora volatilnosti koristi interval poverenja od 99%;
2) da pri proceni faktora volatilnosti koristi periode realizacije iz tačke 180. stav 2. ove odluke a, izuzetno, da tu procenu vrši na osnovu kraćeg ili dužeg perioda realizacije, pri čemu je dužna da ove faktore prilagodi periodima realizacije iz te tačke korišćenjem sledeće formule:
gde je:
TN = odgovarajući period realizacije iz tačke stav 2. ove odluke,
TM = period realizacije koji je kraći ili duži od TN,
HN = faktor volatilnosti za period realizacije TN,
HM = prilagođeni faktor volatilnosti za period realizacije TM;
3) da prilagođava naviše period realizacije za manje kvalitetna sredstva obezbeđenja usled njihove smanjene likvidnosti, kao i kad istorijski podaci ukazuju na moguću potcenjenost volatilnosti, pri čemu je neophodno da takve slučajeve obuhvati stres testovima;
4) da faktore volatilnosti procenjuje na osnovu istorijskog perioda posmatranja koji nije kraći od jedne godine, i ako banka koristi šeme ponderisanja ili neki drugi sličan metod, pri čemu Narodna banka Srbije može da naloži banci da ovu procenu vrši na osnovu istorijskog perioda posmatranja koji je kraći od jedne godine, ako je došlo do znatnog povećanja volatilnosti cena;
5) da redovno ažurira svoje vremenske serije podataka i da faktore volatilnosti procenjuje najmanje jednom u tri meseca, odnosno i češće u slučaju znatnih promena tržišnih cena;
6) da koristi procenjene faktore volatilnosti u svakodnevnom upravljanju rizicima, kao i pri određivanju limita izloženosti;
7) da, kada je period realizacije koji koristi u svakodnevnom procesu upravljanja rizicima duži od onog za tu vrstu transakcija, obezbedi primenu faktora volatilnosti izračunatog u skladu sa formulom iz odredbe pod 2) ovog stava;
8) da je svojim unutrašnjim aktima uredila način i postupak procene faktora volatilnosti, kao i njihovo korišćenje u upravljanju rizicima, i da je uspostavila takav sistem unutrašnjih kontrola koji obezbeđuje dosledno sprovođenje tih akata;
9) da redovno, a najmanje jednom godišnje, sprovodi unutrašnju reviziju sistema za procenu faktora volatilnosti, koja obuhvata naročito:
- uključivanje te procene u dnevno upravljanje rizicima,
- proveru svih značajnijih promena u procesu te procene,
- proveru doslednosti korišćenog perioda i pouzdanosti izvora podataka za tu procenu, kao i nezavisnost tih izvora,
- tačnost i adekvatnost pretpostavki korišćenih za tu procenu.
Pri podnošenju zahteva za dobijanje saglasnosti iz stava 1. ove tačke, banka je dužna da Narodnoj banci Srbije dostavi odgovarajuću dokumentaciju kojom dokazuje ispunjenost uslova iz tog stava.
Narodna banka Srbije može banci ukinuti saglasnost iz stava 1. ove tačke ako utvrdi da više nisu ispunjeni uslovi iz tog stava.
Prilagođavanje faktora volatilnosti u složenom metodu
182. Banka koja koristi sopstvene procene faktora volatilnosti dužna je da faktore volatilnosti računa na osnovu dnevnog utvrđivanja vrednosti. Ako je učestalost utvrđivanja vrednosti manja od dnevne, banka je dužna da faktore volatilnosti prilagođava naviše korišćenjem sledeće formule:
gde je:
H = prilagođeni faktor volatilnosti,
HM = faktor volatilnosti koji važi u slučaju dnevnog vrednovanja izloženosti/sredstva obezbeđenja,
NR = broj radnih dana između dva vrednovanja izloženosti/sredstva obezbeđenja,
TM = period realizacije za odnosnu transakciju.
Uslovi za primenu faktora volatilnosti 0% u složenom metodu
183. Banka može, umesto faktora volatilnosti iz tač. 180. do 182. ove odluke, da koristi faktor volatilnosti 0% za repo transakcije i transakcije uzimanja ili davanja u zajam hartija od vrednosti, bilo da primenjuje supervizorske ili sopstvene procene faktora volatilnosti, ako su ispunjeni sledeći uslovi:
1) da su izloženost i sredstvo obezbeđenja gotovina ili dužničke hartije od vrednosti država ili centralnih banaka iz tačke 139. stav 1. odredba pod 2) ove odluke koje ispunjavaju uslove za primenu pondera rizika 0% u skladu sa odeljkom 1. ove glave;
2) da su izloženost i sredstvo obezbeđenja izraženi u istoj valuti;
3) da rok dospeća transakcije nije duži od jednog dana ili da su i izloženost i sredstvo obezbeđenja predmet dnevnog vrednovanja po tekućoj tržišnoj vrednosti, odnosno dnevnog odmeravanja margina;
4) da period između poslednjeg vrednovanja po tekućoj tržišnoj vrednosti (pre nastupanja nemogućnosti odmeravanja margina) i realizacije sredstva obezbeđenja nije duži od četiri radna dana;
5) da se poravnanje transakcija izvršava u odgovarajućem sistemu za poravnanje hartija od vrednosti;
6) da je priložena standardna tržišna dokumentacija za repo transakcije ili transakcije davanja i uzimanja u zajam hartija od vrednosti;
7) da je ugovoreno pravo jedne ugovorne strane da odmah okonča transakciju ako druga ugovorna strana ne prenese novčana sredstva, ne prenese hartije od vrednosti ili na drugi način ne izmiri svoju obavezu, odnosno ako ne održava marginu na ugovorenom nivou;
8) da je druga ugovorna strana ključni tržišni učesnik.
Pod ključnim tržišnim učesnikom, u smislu stava 1. odredbe pod 8) ove tačke, podrazumeva se:
1) lice koje je izdavalac hartija od vrednosti iz tačke 139. stav 1. odredba pod 2) ove odluke kome se, u skladu sa odeljkom 1. ove glave, dodeljuje ponder rizika 0%;
2) banka;
3) finansijska institucija (uključujući društvo za osiguranje) čijim izloženostima se, u skladu sa odeljkom 1. ove glave, dodeljuje ponder rizika 20% ili kojoj je dodeljen interni rejting, u slučaju da banka koristi IRB pristup, a ove finansijske institucije nemaju kreditni rejting podobne agencije za rejting;
4) društvo za upravljanje investicionim fondovima nad čijim poslovanjem nadzor vrši nadležno regulatorno telo i koje podleže zahtevima koji se odnose na kapital ili na najviši nivo učešća iznosa pozajmljenih sredstava u iznosu kapitala;
5) društvo za upravljanje penzijskim fondom nad čijim poslovanjem nadzor vrši nadležno regulatorno telo;
6) priznata klirinška kuća (npr. klirinška kuća na priznatoj berzi).
Banka koja u skladu s tačkom 170. ove odluke koristi interne modele ne primenjuje odredbe ove tačke.
Izračunavanje iznosa rizikom ponderisanih izloženosti i iznosa očekivanih gubitaka primenom složenog metoda
184. Banka koja primenjuje standardizovani pristup kreditnom riziku dužna je da prilikom izračunavanja iznosa rizikom ponderisanih izloženosti u skladu s tačkom 39. ove odluke kao vrednost izloženosti koristi E* utvrđeno u skladu s tačkom 177. te odluke. U slučaju vanbilansnih pozicija iz tačke 37. stav 3. ove odluke banka je dužna da E* izračuna kao vrednost izloženosti na koju su primenjeni ponderi iz tačke 37. stav 2. te odluke.
Banka koje primenjuje IRB pristup kreditnom riziku dužna je da koristi prilagođeni LGD (LGD*) izračunat na sledeći način:
LGD* = LGD × (E*/E),
gde je:
LGD* = prilagođeni LGD parametar,
LGD = LGD parametar koji bi, u skladu sa odeljkom 2. ove glave, bio primenjen da izloženost nije obezbeđena,
E = vrednost izloženosti koja bi bila utvrđena u skladu s tačkom 176. ove odluke korišćenjem IRB pristupa kao da izloženost nije obezbeđena, pre primene faktora konverzije,
E* = efektivna vrednost izloženosti u skladu s tačkom 177. ove odluke.
Vrednovanje ostalih podobnih sredstava obezbeđenja u IRB pristupu
185. U slučaju kada je nepokretnost sredstvo obezbeđenja, njenu vrednost utvrđuje ovlašćeni procenjivač, pri čemu ova vrednost ne može da bude veća od tržišne vrednosti nepokretnosti. Banka je dužna da zahteva od procenjivača dokumentovanu procenu tržišne vrednosti nepokretnosti na jasan i transparentan način.
Vrednost nepokretnosti utvrđuje se kao tržišna vrednost umanjena na način koji odražava rezultate ponovne procene iz tačke 156. ove odluke, uzimajući u obzir sva potraživanja s pravom prvenstva nad hipotekovanom nepokretnošću.
U slučaju potraživanja kao podobnog sredstva obezbeđenja, vrednost potraživanja jednaka je iznosu na koji glasi potraživanje koje služi kao sredstvo obezbeđenja.
U slučaju ostale materijalne imovine kao podobnog sredstva obezbeđenja vrednost imovine jednaka je njenoj tržišnoj vrednosti. Za potrebe ovog stava, tržišna vrednost je procenjeni novčani iznos za koji nepokretnost, na dan utvrđivanja njene vrednosti, može biti prodata pod uslovom da kupac i prodavac postupaju dobrovoljno, informisano, oprezno i bez prinude.
Izračunavanje iznosa rizikom ponderisanih izloženosti i iznosa očekivanih gubitaka za ostala podobna sredstava obezbeđenja u IRB pristupu
186. Ako je odnos vrednosti sredstva obezbeđenja (C) i vrednosti izloženosti (E) manji od zahtevanog najmanjeg nivoa obezbeđenja izloženosti (C*) iz tabele iz ove tačke (Tabela 17), banka je dužna da kao prilagođeni LGD parametar koristi LGD parametar za neobezbeđene izloženosti prema drugoj ugovornoj strani u skladu sa ovim odeljkom. Za određivanje iznosa izloženosti vanbilansnih stavki iz tačke 113. st. 8. do 10. ove odluke banka je dužna da koristi faktor konverzije 100%.
Ako je odnos vrednosti sredstva obezbeđenja (C) i iznosa izloženosti (E) veći od drugog najvećeg zahtevanog nivoa obezbeđenja izloženosti za puno priznavanje LGD parametra (C**) iz Tabele 17 - banka je dužna da primenjuje prilagođeni LGD parametar iz te tabele.
Ako je odnos vrednosti sredstva obezbeđenja (C) i iznosa celokupne izloženosti (E) veći od nivoa obezbeđenja C* a manji od nivoa obezbeđenja C** - banka će ovu izloženost tretirati kao dve odvojene izloženosti: izloženost za koju je postignut zahtevani nivo obezbeđenja C** i izloženost koja predstavlja razliku između celokupne izloženosti i one izloženosti za koju je taj nivo postignut.
U sledećoj tabeli utvrđeni su zahtevani nivoi obezbeđenja i s njima povezani LGD* parametri koje je banka dužna da primenjuje:
Tabela 17.
Minimalni LGD parametar za obezbeđene delove izloženosti
Prilagođeni LGD parametar za (potencijalna) |
Prilagođeni LGD parametar za (potencijalna) |
Zahtevani najmanji nivo obezbeđenja izloženosti (C*) |
Zahtevani nivo obezbeđenja |
|
Potraživanja |
35% |
65% |
0% |
125% |
Stambene i poslovne nepokretnosti |
35% |
65% |
30% |
140% |
Ostala materijalna sredstva obezbeđenja |
40% |
70% |
30% |
140% |
Izračunavanje iznosa rizikom ponderisanih izloženosti i iznosa očekivanih gubitaka u slučaju pokrića sa više različitih vrsta sredstava obezbeđenja
187. Banka za potrebe odeljka 2. ove glave koristi LGD* koji je izračunat na način iz st. 2. i 3. ove tačke ako su ispunjeni sledeći uslovi:
1) banka računa iznos rizikom ponderisanih izloženosti i iznos očekivanih gubitaka primenom IRB pristupa kreditnom riziku;
2) izloženost je obezbeđena i finansijskim sredstvom obezbeđenja i drugim podobnim sredstvom obezbeđenja.
Ako je izloženost obezbeđena različitim sredstvima obezbeđenja, banka je dužna da podeli prilagođeni iznos izloženosti (odnosno vrednost nakon primene faktora volatilnosti izračunatu u skladu s tačkom 177. ove odluke) na delove od kojih je svaki pokriven samo jednom vrstom sredstva obezbeđenja (npr. deo pokriven sredstvom obezbeđenja u obliku finansijske imovine, deo pokriven potraživanjima, deo pokriven stambenim i poslovnim nepokretnostima, deo pokriven ostalim materijalnim sredstvima obezbeđenja) i na neobezbeđeni deo.
Banka je dužna da za svaki deo izloženosti iz stava 2. ove tačke posebno računa LGD* na odgovarajući način.
Ostali instrumenti materijalne kreditne zaštite
188. Ako su ispunjeni uslovi iz tačke 160. ove odluke - gotovina, odnosno gotovinski ekvivalenti imaju tretman garancije banke kod koje su deponovani.
Ako su ispunjeni uslovi iz tačke 161. ove odluke - banka na obezbeđeni deo odnosne izloženosti (vrednost te izloženosti do visine otkupne vrednosti polise životnog osiguranja) primenjuje:
1) pondere rizika iz stava 4. ove tačke, ako za izračunavanje iznosa rizikom ponderisanih izloženosti koristi standardizovani pristup;
2) LGD od 40%, ako za izračunavanje iznosa rizikom ponderisanih izloženosti koristi FIRB pristup.
Banka je dužna da, u slučaju valutne neusklađenosti između izloženosti i podobnog instrumenta kreditne zaštite, smanji otkupnu vrednost polise životnog osiguranja na način iz tačke 189. stav 3. ove odluke.
Banka koja koristi standardizovani pristup dužna je da na obezbeđeni deo odnosne izloženosti primenjuje sledeće pondere rizika:
1) 20% - ako se neobezbeđenoj izloženosti s pravom prvenstva naplate prema društvu za osiguranje koje pruža usluge životnog osiguranja dodeljuje ponder rizika 20%;
2) 35% - ako se neobezbeđenoj izloženosti s pravom prvenstva naplate prema društvu za osiguranje koje pruža usluge životnog osiguranja dodeljuje ponder rizika 50%;
3) 70% - ako se neobezbeđenoj izloženosti s pravom prvenstva naplate prema društvu za osiguranje koje pruža usluge životnog osiguranja dodeljuje ponder rizika 100%;
4) 150% - ako se neobezbeđenoj izloženosti s pravom prvenstva naplate prema društvu za osiguranje koje pruža usluge životnog osiguranja dodeljuje ponder rizika 150%.
Banka može finansijske instrumente otkupljive na zahtev koji se smatraju podobnim u skladu s tačkom 148. stav 1. odredba pod 3) ove odluke da tretira kao garanciju banke koja ih je izdala, pri čemu je vrednost ovih instrumenata jednaka:
1) njihovom nominalnom iznosu, ako se otkup tih instrumenata vrši po nominalnoj vrednosti ili
2) njihovoj vrednosti utvrđenoj na način propisan za utvrđivanje vrednosti dužničkih hartija od vrednosti iz tačke 140. ove odluke, ako se otkup tih instrumenata vrši po tržišnoj ceni.
b) Instrumenti nematerijalne kreditne zaštita
Vrednovanje instrumenata nematerijalne kreditne zaštite
189. Vrednost instrumenta nematerijalne kreditne zaštite je iznos za koji se pružalac te zaštite obavezao da će ga platiti banci u slučaju neizmirenja obaveza ili neplaćanja dužnika banke ili usled nastanka drugih kreditnih događaja.
U slučaju kreditnih derivata koji kao kreditni događaj ne uključuju restrukturiranje odnosne obaveze u vidu otpisa ili odlaganja isplata glavnice, kamate ili provizije čija je posledica nastanak gubitka (npr. ispravke vrednosti ili druge slične promene u bilansu uspeha), banka prilagođava vrednost instrumenta nematerijalne kreditne zaštite na sledeći način:
1) umanjuje ga za 40% - ako se pružalac zaštite obavezao da plati iznos koji nije veći od vrednosti izloženosti ili
2) ako se pružalac zaštite obavezao da plati iznos koji je veći od vrednosti izloženosti - taj nominalni iznos ne može biti veći od 60% vrednosti izloženosti.
Ako je instrument nematerijalne kreditne zaštite izražen u valuti koja se razlikuje od one u kojoj je izloženost izražena, odnosno kada postoji valutna neusklađenost, banka izračunava prilagođenu vrednost instrumenta kreditne zaštite na sledeći način:
G* = G x (1-Hfx)
gde je:
G* = vrednost instrumenta nematerijalne kreditne zaštite prilagođena za valutnu neusklađenost;
G = nominalna vrednost instrumenta nematerijalne kreditne zaštite;
Hfx = faktor volatilnosti za valutnu neusklađenost između kreditne zaštite i odnosne izloženosti utvrđen u skladu sa stavom 5. ove tačke.
Ako su valuta izloženosti i valuta kreditne zaštite iste Hfx = 0.
U slučaju dnevnog vrednovanja izloženosti, banka za obračun faktora volatilnosti za valutnu neusklađenost koristi 10-dnevni period realizacije korišćenjem propisanih faktora volatilnosti ili sopstvene procene faktora volatilnosti u skladu s tač. 180. i 181. ove odluke. Banka je dužna da prilagođava faktore volatilnosti u skladu s tačkom 182. te odluke.
Izračunavanje iznosa rizikom ponderisanih izloženosti i iznosa očekivanih gubitaka u slučaju delimične zaštite i prenosa rizika putem tranši
190. Banka koja vrši prenos dela rizika po osnovu kredita na druga lica putem jedne ili više tranši, prilikom izračunavanja rizikom ponderisane izloženosti i iznosa očekivanog gubitka dužna je da primenjuje odredbe odeljka 4. ove glave. Materijalno značajan iznos, odnosno iznos ispod kojeg nijedno plaćanje neće biti izvršeno u slučaju gubitka, jednak je zadržanim pozicijama prvog gubitka i prouzrokuje prenos rizika u tranšama.
Izračunavanje iznosa rizikom ponderisanih izloženosti u standardizovanom pristupu
191. Banka je dužna da za potrebe tačke 39. ove odluke rizikom ponderisanu izloženost prilagođenu za efekte korišćenja instrumenata nematerijalne kreditne zaštite izračunava prema sledećoj formuli:
max {0, (E-GA} x r + GA x g,
gde je:
E = vrednost izloženosti utvrđena u skladu s tačkom 37. ove odluke, pri čemu u slučaju vanbilansnih stavki umesto faktora konverzije iz tačke 37. stav 2. ove odluke, primenjuje 100%;
GA = vrednost instrumenta nematerijalne kreditne zaštite (G*) izračunata u skladu s tačkom 189. ove odluke prilagođena za ročnu neusklađenost u skladu s pododeljkom 5. ovog odeljka;
r = ponder rizika odnosne izloženosti dodeljen u skladu sa odeljkom 1. ove glave;
g = ponder rizika koji se u skladu sa odeljkom 1. ove glave dodeljuje izloženostima prema pružaocu kreditne zaštite.
Kada je vrednost instrumenta nematerijalne kreditne zaštite (GA) manja od vrednosti odnosne izloženosti (E) banka primenjuje formulu iz stava 1. ove tačke samo u slučaju da banka i pružalac zaštite imaju isto pravo prvenstva naplate, odnosno proporcionalno snose gubitke.
Banka može na izloženosti ili delove izloženosti koje su pokrivene garancijom države ili centralne banke, a garancija i izloženost su izražene i finansirane u domaćoj valuti dužnika, primeniti isti tretman kao na izloženosti iz tačke 41. st. 3. i 5. ove odluke.
Izračunavanje iznosa rizikom ponderisanih izloženosti i iznosa očekivanih gubitaka u IRB pristupu
192. Banka koja primenjuje IRB pristup može za obezbeđeni deo vrednosti izloženosti (E) zasnovan na prilagođenoj vrednosti kreditne zaštite GA, da koristi PD parametar pružaoca zaštite ili vrednost PD parametra koja je između PD parametra dužnika i PD parametra pružaoca zaštite ako je procenila da potpuna zamena nije u potpunosti opravdana. U slučaju izloženosti bez prava prvenstva naplate, koje su obezbeđene instrumentima nematerijalne kreditne zaštite s pravom prvenstva naplate, banka može da koristi LGD parametar koji se dodeljuje izloženostima s pravom prvenstva naplate.
Za neobezbeđeni deo vrednosti izloženosti (E) banka je dužna da koristi PD parametar dužnika i LGD parametar izloženosti.
Za potrebe ove tačke GA je vrednost instrumenta nematerijalne kreditne zaštite (G*) izračunata u skladu s tačkom 189. ove odluke prilagođena za ročnu neusklađenost u skladu s pododeljkom 5. ovog odeljka, a E je vrednost izloženosti izračunata u skladu sa odeljkom 2. pododeljak 4. ove glave. Za određivanje vrednosti izloženosti vanbilansnih stavki iz tačke 113. st. 8. do 10. ove odluke banka je dužna da koristi faktor konverzije 100%.
193. Ročna neusklađenost između instrumenta kreditne zaštite i odnosne izloženosti postoji ako je preostali rok važenja ovog instrumenta kraći od M parametra odnosne izloženosti. Banka kao podoban instrument kreditne zaštite ne može koristiti instrument čiji je preostali period važenja kraći od tri meseca, a postoji ročna neusklađenost.
Ako postoji ročna neusklađenost, instrument kreditne zaštite se ne smatra podobnim, ako je ispunjen neki od navedenih uslova:
- inicijalno ugovoreni period važenja instrumenta kreditne zaštite je kraći od jedne godine;
- izloženost je kratkoročna i predmet je jednodnevnog donjeg limita za M parametar propisanog tačkom 109. stav 3. ove odluke.
Ročnost instrumenta kreditne zaštite
194. M parametar odnosne izloženosti izražava se u godinama i ne može biti duža od pet godina. Preostali rok važenja instrumenta kreditne zaštite predstavlja period do najranijeg datuma kad kreditna zaštita prestaje da važi ili može prestati da važi.
Kad pružalac kreditne zaštite ima pravo da jednostrano okonča tu zaštitu, preostalim rokom važenja instrumenta kreditne zaštite će se smatrati vreme do najranijeg datuma kada pružalac kreditne zaštite može da iskoristi to pravo.
Kad korisnik kreditne zaštite ima pravo da jednostrano okonča tu zaštitu, a ugovoreni uslovi koji se odnose na kreditnu zaštitu uključuju i odredbu koja banci daje pravo da može da traži izvršenje transakcije pre ugovorenog roka dospeća, preostalim rokom važenja instrumenta kreditne zaštite će se smatrati vreme do najranijeg datuma kad ta opcija može da bude izvršena. U suprotnom, može se smatrati da takva opcija ne utiče na ročnost zaštite.
Ako je moguće okončati ugovor o kreditnom derivatu pre isteka perioda potrebnog za nastanak statusa neizmirenja obaveza po odnosnoj obavezi, a usled nemogućnosti plaćanja, rok važenja instrumenta kreditne zaštite biće umanjen za trajanje tog perioda.
Vrednovanje instrumenata kreditne zaštite
195. Banka koja rizikom ponderisanu izloženost prilagođava za efekte korišćenja instrumenata materijalne kreditne zaštite primenom jednostavnog metoda - ne može tu aktivu prilagođavati za efekte onih instrumenata kod kojih postoji ročna neusklađenost u odnosu na odnosnu izloženost.
196. Banka koja rizikom ponderisanu izloženost prilagođava za efekte korišćenja instrumenata materijalne kreditne zaštite primenom složenog metoda - prilagođenu vrednost sredstva obezbeđenja utvrđuje prema sledećoj formuli:
CVAM = CVA × (t-t*)/(T-t*)
gde je:
CVAM = prilagođena vrednost sredstva obezbeđenja;
CVA = izloženost ili vrednost sredstva obezbeđenja korigovana faktorima volatilnosti izračunata u skladu s tačkom 175. ove odluke, zavisno od toga koja je niža;
t = broj godina preostalog roka važenja instrumenta materijalne kreditne zaštite, izračunat u skladu s tačkom 194. ove odluke ili T, zavisno od toga koji je period kraći;
T = broj godina preostalog roka važenja instrumenta materijalne kreditne zaštite izračunat u skladu s tačkom 194. ove odluke ili 5 godina, zavisno od toga koji je period kraći;
t* = 0,25.
Banka je dužna da koristi CVAM kao CVA za potrebe izračunavanja potpuno prilagođene vrednosti izloženosti (E*) iz tačke 177. ove odluke.
197. Banka koja rizikom ponderisanu izloženost prilagođava za efekte korišćenja instrumenata nematerijalne kreditne zaštite - prilagođenu vrednost sredstva obezbeđenja utvrđuje prema sledećoj formuli:
GA = G* x (t-t*)/(T-t*)
gde je:
GA = G* prilagođen za ročnu neusklađenost;
G* = vrednost nematerijalne kreditne zaštite prilagođena za valutnu neusklađenost;
t = broj godina preostalog roka važenja instrumenta materijalne kreditne zaštite, izračunat u skladu s tačkom 194. ove odluke ili T, zavisno od toga koji je period kraći;
T = broj godina preostalog roka važenja instrumenta materijalne kreditne zaštite izračunat u skladu s tačkom 194. ove odluke ili 5 godina, zavisno od toga koji je period kraći;
t* = 0,25.
Banka je dužna da koristi GA kao vrednost nematerijalne kreditne zaštite za potrebe izračunavanja potpuno prilagođene vrednosti izloženost (E*) iz tač. 189. do 192. ove odluke.
6. Grupa kreditnih derivata kao instrument kreditne zaštite
a) Grupa kreditnih derivata sa prvim neizmirenjem obaveza
198. Ako je banka uspostavila jedan instrument kreditne zaštite za više izloženosti, pod uslovom da prvo neizmirenje obaveza kod tih izloženosti prouzrokuje plaćanje i da nastupanjem tog kreditnog događaja ugovor prestaje da važi, banka može da izmeni način izračunavanja iznosa rizikom ponderisanih izloženosti (i iznosa očekivanih gubitaka) koje bi, u slučaju da ne postoji instrument kreditne zaštite, imale najniži iznos rizikom ponderisanih izloženosti u skladu sa ovim odeljkom, na sledeći način:
1) za banku koja primenjuje standardizovani pristup - iznos rizikom ponderisane izloženosti izračunava se primenom standardizovanog pristupa iz odeljka 1. ove glave;
2) za banku koja primenjuje IRB pristup - iznos rizikom ponderisane izloženosti utvrđuju kao zbir iznosa rizikom ponderisane izloženosti izračunatog primenom IRB pristupa iz odeljka 2. ove glave i iznosa očekivanog gubitka pomnoženog sa 12,5.
Banka može da primenjuje odredbe ove tačke samo ako je vrednost izloženosti manja ili jednaka vrednosti instrumenta kreditne zaštite.
b) Grupa kreditnih derivata sa n-tim neizmirenjem obaveze
199. Ako je banka uspostavila jedan instrument kreditne zaštite za više izloženosti pod uslovom da n-to neizmirenje obaveze među izloženostima prouzrokuje plaćanje, banka može da koristi ovaj instrument kreditne zaštite za računanje iznosa rizikom ponderisanih izloženosti (i iznosa očekivanih gubitaka) samo ako je već kupljena podobna zaštita za imovinu od 1 do (n-1) neizmirenja obaveza ili ako je već nastupilo (n-1) neizmirenje obaveze. U takvim slučajevima, banka može da izmeni način izračunavanja iznosa rizikom ponderisanih izloženosti (i iznosa očekivanih gubitaka) koje bi, u slučaju da ne postoji instrument kreditne zaštite, imale n-ti najniži iznos rizikom ponderisanih izloženosti u skladu sa ovim odeljkom. Banka je dužna da računa n-ti najniži iznos rizikom ponderisanih izloženosti u skladu s tačkom 198. ove odluke.
Banka može da primenjuje odredbe ove tačke samo ako je vrednost izloženosti manja ili jednaka vrednosti instrumenta kreditne zaštite.
Sve izloženosti u grupi treba da ispunjavaju uslove iz tačke 152. stav 4. i tačka 165. stav 1. odredba pod 4) ove odluke.
SEKJURITIZACIJA
1. Minimalni zahtevi za priznavanje prenosa značajnog kreditnog rizika
200. Smatra se da je banka prenela značajan kreditni rizik u sekjuritizaciji ako je ispunjen jedan od sledećih uslova:
1) iznosi rizikom ponderisanih izloženosti za središnje sekjuritizovane pozicije koje drži banka inicijator ne prelaze 50% iznosa rizikom ponderisanih izloženosti svih središnjih sekjuritizovanih pozicija u toj sekjuritizaciji;
2) ne postoje središnje sekjuritizovane pozicije u datoj sekjuritizaciji, ali banka inicijator može da dokaže da je iznos izloženosti po osnovu sekjuritizovanih pozicija koje predstavljaju odbitne stavke od osnovnog akcijskog kapitala ili se na njih primenjuje ponder rizika 1.250% značajno veći od konzervativne procene očekivanog gubitka po osnovu sekjuritizovanih izloženosti, pri čemu banka inicijator ne drži više od 20% ovakvih izloženosti.
Izuzetno od stava 1. ove tačke, pri proceni potencijalnog smanjenja iznosa rizikom ponderisanih izloženosti banke inicijatora postignutog sekjuritizacijom, Narodna banka Srbije može, uzimajući u obzir okolnosti svakog pojedinačnog slučaja, da odluči:
- da banka i pored ispunjenosti uslova iz stava 1. ove tačke nije prenela značajan kreditni rizik, ako ovo smanjenje nije opravdano srazmernim i materijalno značajnim prenosom kreditnog rizika na treća lica;
- da je, iako nisu ispunjeni uslovi iz stava 1. ove tačke, banka prenela značajan kreditni rizik, ako banka dokaže da je to smanjenje opravdano srazmernim i materijalno značajnim prenosom kreditnog rizika na treća lica, da su uspostavljene adekvatne politike i procedure za procenu prenosa rizika, kao i da takav prenos kreditnog rizika koristi za potrebe upravljanja rizicima i internu raspodelu kapitala.
a) Minimalni zahtevi za priznavanje prenosa značajnog kreditnog rizika u tradicionalnoj sekjuritizaciji
201. Banka inicijator može da iz obračuna iznosa rizikom ponderisanih izloženosti i ako je primenljivo, iznosa očekivanog gubitka, isključi sekjuritizovane izloženosti po osnovu tradicionalne sekjuritizacije, u sledećim slučajevima:
1) ako je prenela značajan kreditni rizik po osnovu sekjuritizovanih izloženosti na treća lica;
2) ako primenjuje ponder rizika 1.250% na sve sekjuritizovane pozicije koje drži u određenoj sekjuritizaciji ili ih iskazuje kao odbitnu stavku od osnovnog akcijskog kapitala.
Smatra se da je banka prenela značajan kreditni rizik, ako su pored uslova propisanih tačkom 200. ove odluke, ispunjeni i sledeći uslovi:
1) dokumentacija u vezi sa sekjuritizacijom sadrži jasne podatke o ekonomskim karakteristikama transakcije, pri čemu ugovorna dokumentacija:
- ne sadrži odredbe kojima se, osim u slučaju ugovorene prevremene otplate, banka inicijator obavezuje da poboljša sekjuritizovane pozicije uključujući, između ostalog, promenu odnosnih sekjuritizovanih izloženosti ili povećanje prinosa vlasnicima sekjuritizovanih pozicija usled pogoršanja kreditnog kvaliteta sekjuritizovanih izloženosti,
- ne sadrži odredbe kojima se povećava prinos vlasnicima sekjuritizovanih pozicija usled pogoršanja kreditnog kvaliteta odnosnog skupa imovine,
- jasno definiše da je, ako je to primenljivo, bilo koja kupovina ili otkup sekjuritizovanih pozicija od strane banke inicijatora ili sponzora koja prevazilazi njihove ugovorne obaveze, izuzetak i da se može izvršiti samo pod tržišnim uslovima;
2) banka inicijator i njeni poverioci ne mogu raspolagati sekjuritizovanim izloženostima, uključujući i slučaj postupka likvidacije ili stečaja banke inicijatora, o čemu je obezbeđeno odgovarajuće pravno mišljenje;
3) banka inicijator nema obavezu plaćanja po osnovu emitovanih hartija od vrednosti;
4) banka inicijator ne zadržava direktnu ili indirektnu kontrolu nad prenetim izloženostima, što podrazumeva da banka inicijator nema pravo da od lica na koje je prenela izloženosti otkupi prethodno prenete izloženosti u cilju ostvarivanja dobiti, niti je dužna da ponovo preuzme preneti rizik, pri čemu se servisiranje prava i obaveza po osnovu prenetih izloženosti od strane banke inicijatora ne smatra kontrolom nad izloženostima;
5) ako je ugovorena opcija otkupa, moraju da budu ispunjeni i sledeći uslovi:
- banka inicijator ima diskreciono pravo da iskoristi ovu opciju,
- opcija može da bude iskorišćena samo kada je neamortizovano ne više od 10% inicijalnog iznosa sekjuritizovanih izloženosti,
- namena opcije nije izbegavanje raspoređivanja gubitaka na pozicije poboljšanja kreditnog kvaliteta (ili druge pozicije investitora), niti poboljšanje kreditnog kvaliteta na drugi način.
b) Minimalni zahtevi za priznavanje prenosa značajnog kreditnog rizika u sintetičkoj sekjuritizaciji
202. Banka inicijator može da iz iznosa rizikom ponderisanih izloženosti i ako je primenljivo, iznosa očekivanih gubitaka, isključi sekjuritizovane izloženosti po osnovu sintetičke sekjuritizacije u skladu sa pododeljkom 5. ovog odeljka u sledećim slučajevima:
1) ako je prenela značajan kreditni rizik na treća lica korišćenjem materijalne ili nematerijalne kreditne zaštite;
2) ako primenjuje ponder kreditnog rizika 1.250% na sve sekjuritizovane pozicije koje drži u određenoj sekjuritizaciji ili ih iskazuje kao odbitnu stavku od osnovnog akcijskog kapitala.
Smatra se da je banka prenela značajan kreditni rizik, ako su pored uslova propisanih tačkom 200. ove odluke, ispunjeni i sledeći uslovi:
1) kreditna zaštita kojom se prenosi kreditni rizik ispunjava uslove propisane tačkom 217. stav 3. te odluke;
2) instrumenti koji se koriste za prenos kreditnog rizika ne sadrže odredbe kojima se:
- određuje visok prag materijalne značajnosti ispod kojeg se kreditna zaštita neće aktivirati u slučaju nastanka kreditnog događaja,
- omogućava prestanak kreditne zaštite usled pogoršanja kreditnog kvaliteta sekjuritizovanih izloženosti,
- zahteva poboljšanje sekjuritizovanih pozicija od strane banke inicijatora (osim u slučaju ugovorene prevremene otplate),
- zahteva povećanje troškova banke u vezi sa kreditnom zaštitom ili povećanje prinosa vlasnicima pozicija u sekjuritizaciji, usled pogoršanja kreditnog kvaliteta sekjuritizovanih izloženosti;
3) pribavljeno je odgovarajuće pravno mišljenje o tome da se kreditna zaštita može realizovati u skladu sa merodavnim pravom;
4) na osnovu dokumentacije u vezi sa sekjuritizacijom je jasno definisano da se, ako je to primenljivo, bilo koja kupovina ili otkup sekjuritizovanih pozicija od strane banke inicijatora ili sponzora, koja prevazilazi njihove ugovorne obaveze, može izvršiti samo pod tržišnim uslovima.
2. Izloženosti po osnovu prenetog kreditnog rizika
a) Zahtev za banku investitora
203. Banka koja nije inicijator, sponzor ili inicijalni zajmodavac, može biti izložena kreditnom riziku po osnovu sekjuritizovanih pozicija u knjizi trgovanja ili bankarskoj knjizi, ako se inicijator, sponzor ili inicijalni zajmodavac obavezao banci da će, na kontinuiranoj osnovi, zadržati značajan neto ekonomski udeo koji ne može biti manji od 5%.
Pod zadržavanjem neto ekonomskog udela koji nije manji od 5% u smislu stava 1. ove tačke podrazumevaju se isključivo sledeći slučajevi:
1) zadržavanje najmanje 5% nominalne vrednosti svake tranše koja se proda ili prenosi investitorima;
2) zadržavanje udela inicijatora od najmanje 5% nominalne vrednosti sekjuritizovanih izloženosti u slučaju sekjuritizacije revolving izloženosti;
3) zadržavanje nasumično izabranih izloženosti koje bi inače bile predmet sekjuritizacije (pri čemu je broj potencijalno sekjuritizovanih izloženosti najmanje 100 na početku sekjuritizacije) u iznosu od najmanje 5% nominalne vrednosti sekjuritizovanih izloženosti;
4) zadržavanje tranše prvog gubitka i, ako je potrebno, drugih tranši iste ili veće rizičnosti koje ne dospevaju pre onih koje su prenete ili prodate investitorima, pri čemu ukupan iznos koji se zadržava iznosi najmanje 5% nominalne vrednosti sekjuritizovanih izloženosti;
5) zadržavanje izloženosti prvog gubitka u iznosu od najmanje 5% svake sekjuritizovane izloženosti u sekjuritizaciji.
Neto ekonomski udeo izračunat na početku sekjuritizacije održava se na tom nivou na kontinuiranoj osnovi.
Neto ekonomski udeo, uključujući zadržane pozicije, udele ili izloženosti ne može biti predmet kreditne zaštite, interne zaštite ili prodaje, niti može postojati kratka pozicija po tom osnovu.
Neto ekonomski udeo vanbilansnih stavki utvrđuje se na osnovu njihove hipotetičke vrednosti.
Ni za jednu sekjuritizaciju se zahtevi za zadržavanjem ne primenjuju više puta.
204. Izuzetno od tačke 203. ove odluke, smatra se da uslov iz te tačke ispunjava na konsolidovanoj osnovi matično društvo koje je banka iz Republike Srbije ili Evropske Unije, ako ovo društvo ili podređeno društvo tog društva, kao inicijator ili sponzor, sekjuritizuje izloženosti više banaka, investicionih društava ili finansijskih institucija koje su uključene u superviziju na konsolidovanoj osnovi.
Tretman iz stava 1. se primenjuje samo ako banke, investiciona društva ili finansijske institucije čije su izloženosti sekjuritizovane, ispunjavaju uslove iz tačke 210. ove odluke i ako su inicijatoru ili sponzoru i matičnom društvu iz stava 1. ove tačke blagovremeno obelodanile informacije neophodne za ispunjavanje uslova iz tačke 211. te odluke.
205. Tačka 203. ove odluke se ne primenjuje ako su dužnici sekjuritizovanih izloženosti, odnosno ako za njih u celosti, bezuslovno i neopozivo garantuju sledeća lica:
1) država ili centralna banka;
2) jedinica teritorijalne autonomije i lokalne samouprave ili javno administrativno telo;
3) banka kojoj je, u skladu sa odeljkom 1. ove glave, dodeljen ponder rizika 50% ili niži;
4) međunarodna razvojna banka.
Tačka 203. ove odluke ne primenjuje se ni na transakcije koje su zasnovane na jasnom, transparentnom i dostupnom indeksu, gde su odnosni instrumenti isti kao oni koji čine berzanski indeks ili su instrumenti kojima se trguje na priznatim berzama, osim sekjuritizovanih pozicija.
206. Banka je dužna da pre i nakon ulaganja, bude u potpunosti upoznata sa svakom od svojih sekjuritizovanih pozicija, kao i da ima uspostavljena interna akta u skladu sa svojom knjigom trgovanja, bankarskom knjigom i rizičnim profilom ulaganja u sekjuritizovane pozicije u cilju analize i izveštavanja o:
1) informacijama koje u skladu s tačkom 203. ove odluke objavljuje inicijator ili sponzor radi izračunavanja neto ekonomskog udela koji zadržava na kontinuiranoj osnovi tokom sekjuritizacije;
2) rizičnim karakteristikama pojedinačnih sekjuritizovanih pozicija;
3) rizičnim karakteristikama odnosnih izloženosti sekjuritizovane pozicije;
4) reputaciji i realizovanim gubicima iz ranijih sekjuritizacija inicijatora ili sponzora u odnosnim klasama izloženosti koje su osnova sekjuritizovane pozicije;
5) izveštajima i obelodanjivanju inicijatora ili sponzora ili njihovih servisera, u vezi sa detaljnom analizom sekjuritizovanih izloženosti i, ako je primenljivo, o kvalitetu sredstava obezbeđenja tih sekjuritizovanih izloženosti;
6) ako je primenljivo, metodologiji i načelima na kojima se zasniva vrednovanje sredstava obezbeđenja sekjuritizovanih izloženosti, kao i internim aktima inicijatora ili sponzora kojima se obezbeđuje nezavisnost procenjivača;
7) svim strukturnim karakteristikama sekjuritizacije koje mogu značajno da utiču na kvalitet sekjuritizovanih pozicija banke, kao što su ugovoreni redosled isplate i uslovi za ovu isplatu, kreditna poboljšanja, poboljšanja likvidnosti, uticaj tržišne vrednosti na prava i obaveze učesnika u sekjuritizaciji (market value triggers) i specifične definicije statusa neizmirenja obaveza.
207. Banka je dužna da redovno sprovodi stres testiranje u skladu sa svojim sekjuritizovanim pozicijama.
Za sprovođenje stres testiranja iz stava 1. ove tačke banka može da koristi finansijske modele koje je razvila agencija za rejting ako može da dokaže da je pre investiranja ocenila sve relevantne pretpostavke i strukturu modela, kao i da je u potpunosti upoznata sa metodologijom, pretpostavkama i rezultatima modela.
208. Banka je dužna da u cilju urednog i kontinuiranog praćenja informacija o izloženostima sekjuritizovanih pozicija (osim kada je inicijator ili sponzor ili inicijalni zajmodavac), uspostavi procedure u skladu sa svojom knjigom trgovanja, bankarskom knjigom i rizičnim profilom ulaganja u te pozicije.
Informacije iz stava 1, ako je primenljivo, obuhvataju:
- vrstu izloženosti,
- procenat kredita koji nisu naplaćeni a dospeli su pre 30, 60 ili 90 dana,
- stopu nastupanja statusa neizmirenja obaveza,
- procenat prevremeno otplaćenih kredita,
- kredite koji su u postupku prinudne naplate,
- vrstu i iskorišćenost sredstava obezbeđenja,
- distribuciju učestalosti, odnosno procenat ili broj opservacija za svaku od kreditnih ocena ili drugih mera kreditne sposobnosti odnosnih izloženosti,
- sektorsku i geografsku diversifikaciju,
- distribuciju učestalosti, odnosno procenat ili broj opservacija za svaku vrednost LTV pokazatelja (odnos iznosa kredita i procenjene tržišne vrednosti odnosnog sredstva obezbeđenja) sa rasponima koji omogućavaju adekvatnu analizu osetljivosti.
U slučaju kada su odnosne izloženosti sekjuritizovane pozicije, banka je dužna da raspolaže informacijama navedenim u prethodnom stavu ove tačke ne samo o odnosnim tranšama u sekjuritizaciji (npr. podacima o izdavaocu i kreditnom kvalitetu), već i o karakteristikama i performansama odnosnog skupa izloženosti tih tranši.
Banka je dužna da primenjuje iste kriterijume analize prilikom učestvovanja u sekjuritizaciji ili pružanja usluga pokroviteljstva, za ABCP/tranše sekjuritizacije koje je kupila od trećih lica, bez obzira da li namerava da ove pozicije drži u knjizi trgovanja ili u bankarskoj knjizi.
209. Narodna banka Srbije će banci koja ne ispunjava uslove iz tač. 203. do 208. ili tačke 211. ove odluke, odrediti dodatni ponder rizika od najmanje 250% (sa gornjom granicom od 1.250%) koji se primenjuje na relevantne sekjuritizovane pozicije, koji će se primenjivati za potrebe obračuna iz tač. 215. stav 7. i 340. te odluke, pri čemu će navedeni ponder rizika postepeno povećavati sa svakim sledećim nepoštovanjem uslova u vezi sa detaljnom analizom iz tač. 206. do 208. te odluke.
b) Zahtev za banku sponzora ili inicijatora
210. Banka sponzor, odnosno banka inicijator je dužna da za izloženosti koje će biti sekjuritizovane primenjuje kriterijume za odobravanje plasmana, postupke za izmenu uslova, obnavljanje i refinansiranje plasmana, u skladu sa odlukom kojom se uređuje upravljanje rizicima banke, koje primenjuje za izloženosti koje vodi u svojoj bankarskoj knjizi.
Na banku inicijatora koja ne ispunjava kriterijume iz stava 1. ove tačke, ne primenjuju se odredbe iz tačke 215. stav 1. ove odluke i ona ne može iz obračuna kapitalnih zahteva da isključi sekjuritizovane izloženosti.
211. Banka sponzor, inicijator ili inicijalni zajmodavac, dužna je da obelodani investitorima informacije o aktivnostima u vezi sa održavanjem neto ekonomskog udela u sekjuritizaciji u skladu s tačkom 203. ove odluke.
Banka iz stava 1. ove tačke je dužna da investitorima obezbedi pristup svim relevantnim podacima o kreditnom kvalitetu i performansama pojedinačnih odnosnih izloženosti, tokovima gotovine, sredstvima obezbeđenja za sekjuritizovane izloženosti, kao i informacije potrebne za kvalitetno sprovođenje stres testova u vezi sa tokovima gotovine i vrednošću korišćenih sredstava obezbeđenja.
Podatke iz stava 2. ove tačke banka definiše za datu sekjuritizaciju na datum sekjuritizacije, a posle tog datuma, ako je to potrebno zbog karakteristika sekjuritizacije.
3. Korišćenje kreditnih rejtinga
212. Banka može da koristi kreditni rejting agencije za rejting za dodeljivanje pondera kreditnog rizika sekjuritizovanim pozicijama samo ako je Narodna banka Srbije priznala podobnost kreditnih rejtinga izabrane agencije za rejting za ove potrebe.
213. Banka može za potrebe izračunavanja iznosa rizikom ponderisanih izloženosti sekjuritizovanih pozicija u skladu sa pododeljkom 4. ovog odeljka, da koristi kreditne rejtinge ako su ispunjeni sledeći uslovi:
- ne postoji neusklađenost između vrsta plaćanja na koje se odnosi kreditni rejting i onih na koje banka ima pravo na osnovu ugovora iz kojeg proizilazi sekjuritizovana pozicija;
- agencija za rejting objavljuje analize gubitaka i novčanih tokova, osetljivost rejtinga na promene u odnosnim pretpostavkama, uključujući performanse odnosnog skupa imovine, kao i kreditne rejtinge, procedure, metodologije, pretpostavke i ključne elemente na kojima se zasnivaju procene kreditnih rejtinga ove agencije, pri tome se informacije koje su dostupne samo ograničenom broju lica ne smatraju objavljenim informacijama, a kreditni rejtinzi su uključeni u tranzitivnu matricu te agencije;
- kreditni rejting se ne zasniva delimično niti u celosti na nematerijalnoj zaštiti koju pruža sama banka - u tom slučaju, relevantna pozicija se, za potrebe obračuna rizikom ponderisanih izloženosti, smatra pozicijom bez rejtinga.
214. Banka može izabrati jednu ili više agencija za rejting čije će kreditne rejtinge koristiti prilikom izračunavanja iznosa rizikom ponderisanih izloženosti za sekjuritizovane pozicije.
Banka je dužna da kreditne rejtinge izabrane agencije dosledno i neprekidno koristi za sve svoje sekjuritizovane pozicije u skladu sa sledećim:
- banka ne može u okviru iste sekjuritizacije za pozicije u različitim tranšama da koristi kreditne rejtinge više različitih agencija za rejting;
- ako za istu poziciju postoje dva kreditna rejtinga koja su dodelile izabrane agencije za rejting i koji se, prema rasporedu kreditnih rejtinga u nivoe kreditnog kvaliteta, odnose na različite pondere rizika - banka je dužna da koristi onaj kome odgovara veći ponder rizika;
- ako za istu poziciju postoji tri ili više kreditnih rejtinga koje su dodelile izabrane agencije za rejting i koji se, prema rasporedu kreditnih rejtinga u nivoe kreditnog kvaliteta, odnose na različite pondere rizika, banka je dužna da koristi manji od dva najveća pondera rizika, a ako se odnose na isti ponder rizika - banka koristi taj ponder;
- banka ne sme zahtevati niti na drugi način uticati na povlačenje nepovoljnih rejtinga.
Ako je podobna kreditna zaštita u skladu sa odeljkom 3. ove glave pružena direktno društvu za sekjuritizaciju, a obuhvaćena je kreditnim rejtingom pozicije izabrane agencije za rejting, banka može da koristi ponder rizika koji odgovara ovom kreditnom rejtingu, pri čemu ne može tu kreditnu zaštitu priznavati za druge namene. Banka ne može koristiti kreditni rejting koji uzima u obzir efekte kreditne zaštite koja nije pružena društvu za sekjuritizaciju već direktno sekjuritizovanoj poziciji.
4. Obračun rizikom ponderisanih izloženosti za sekjuritizovane pozicije
215. Ako je prenela značajan kreditni rizik po osnovu sekjuritizovanih izloženosti u skladu sa uslovima iz pododeljka 1. ovog odeljka, banka inicijator može da:
1) u slučaju tradicionalne sekjuritizacije, iz obračuna iznosa rizikom ponderisanih izloženosti i, ako je primenljivo, iznosa očekivanog gubitka, isključi izloženosti koje su predmet sekjuritizacije;
2) u slučaju sintetičke sekjuritizacije, izračuna iznos rizikom ponderisanih izloženosti, i ako je primenljivo, iznos očekivanog gubitka za sekjuritizovane izloženosti, u skladu sa pododeljkom 5. ovog odeljka.
Ako primenjuje tretman iz stava 1. ove tačke, banka inicijator je dužna da izračuna iznos rizikom ponderisanih izloženosti za pozicije koje može da ima u sekjuritizaciji u skladu sa ovim odeljkom.
Ako banka inicijator nije prenela značajan kreditni rizik po osnovu sekjuritizovanih izloženosti ili ne primenjuje tretman iz stava 1. ove tačke, ona ne računa iznos rizikom ponderisanih izloženosti za pozicije koje može da ima u sekjuritizaciji, već uključuje sekjuritizovane izloženosti u obračun rizikom ponderisanih izloženosti kao da nisu sekjuritizovane.
Ako banka ima izloženost po osnovu različitih tranši u sekjuritizaciji, izloženost po osnovu svake tranše smatra se posebnom sekjuritizovanom pozicijom. Pružaoci kreditne zaštite sekjuritizovanim pozicijama smatraju se imaocima sekjuritizovanih pozicija. Banka je dužna da u sekjuritizovane pozicije uključi izloženosti u sekjuritizaciji po osnovu kamatnih ili valutnih finansijskih derivata.
Iznos rizikom ponderisanih izloženosti za sekjuritizovane pozicije uključuje se u obračun ukupnog iznosa rizikom ponderisanih izloženosti banke, osim u slučajevima kada se ove pozicije tretiraju kao odbitna stavka od osnovnog akcijskog kapitala.
Rizikom ponderisana izloženost za sekjuritizovane pozicije izračunava se tako što se iznos izloženosti, izračunat u skladu s tačkom 216. ove odluke, pomnoži odgovarajućim ukupnim ponderom rizika.
Ukupan ponder rizika predstavlja zbir pondera rizika određenih u ovom pododeljku i dodatnih pondera rizika u skladu s tačkom 209. ove odluke.
216. Iznos izloženosti po osnovu sekjuritizovanih pozicija jednak je:
1) u slučaju da banka koristi standardizovani pristup:
- za bilansne izloženosti - neto knjigovodstvenoj vrednosti (bruto knjigovodstvenoj vrednosti umanjenoj za iznos specifičnih prilagođavanja za kreditni rizik) sekjuritizovanih pozicija,
- za vanbilansne izloženosti - bruto knjigovodstvenoj vrednosti umanjenoj za iznos specifičnih prilagođavanja za kreditni rizik za vanbilansne stavke pomnoženoj faktorima konverzije propisanim ovom odlukom, pri čemu je banka dužna da koristi faktor konverzije 100%, ako nije drugačije propisano;
2) u slučaju da banka koristi IRB pristup:
- za bilansne izloženosti - bruto knjigovodstvenoj vrednosti sekjuritizovanih pozicija,
- za vanbilansne izloženosti - bruto knjigovodstvenoj vrednosti pomnoženoj faktorima konverzije propisanim ovom odlukom, pri čemu je banka dužna da koristi faktor konverzije 100%, ako nije drugačije propisano;
3) u slučaju izloženosti riziku druge ugovorne strane koje proizilaze iz finansijskih derivata navedenih u Prilogu 1 ove odluke iznos izloženosti se izračunava u skladu sa odeljkom 5. te odluke.
Ako banka ima dve ili više sekjuritizovanih pozicija koje se preklapaju, dužna je da, do iznosa u kojem se te pozicije preklapaju, u obračun rizikom ponderisanih izloženosti uključi samo poziciju, ili deo pozicije, kojoj odgovara viši iznos rizikom ponderisanih izloženosti. Banka može priznati ovo preklapanje između kapitalnih zahteva za specifični rizik za pozicije iz knjige trgovanja i kapitalnih zahteva za sekjuritizovane pozicije iz bankarske knjige, pod uslovom da je u mogućnosti da izračuna i uporedi kapitalne zahteve za relevantne pozicije. Preklapanjem se, u smislu ovog stava, smatra slučaj kada pozicije, u potpunosti ili delimično, predstavljaju izloženost istom riziku tako da, do iznosa u kom se preklapaju, postoji samo jedna izloženost.
Ako se tačka 213. stav 1. alineja treća ove odluke odnosi na pozicije u ABCP programu, banka može primenjivati ponder rizika koji je dodeljen okvirnoj liniji za likvidnost radi izračunavanja rizikom ponderisane izloženosti za ABCP program, pod uslovom da je 100% ABCP programa pokriveno tom ili drugim linijama za likvidnost i da su sve te linije za likvidnost jednako rangirane kao ABCP program tako da se te pozicije preklapaju. Banka je dužna da obavesti Narodnu banku Srbije ako primenjuje ovaj tretman, kao i o načinu na koji ga sprovodi.
217. Ako je sekjuritizovana pozicija predmet materijalne ili nematerijalne kreditne zaštite, banka može priznati takvu zaštitu u skladu sa odeljkom 3. ove glave, ako su ispunjeni uslovi iz tog i ovog odeljka.
Podobna materijalna kreditna zaštita je ograničena na finansijsku imovinu koja se priznaje za potrebe prilagođavanja rizikom ponderisanih izloženosti u standardizovanom pristupu kreditnom riziku i koja ispunjava uslove propisane u odeljku 3. ove glave.
Podobna nematerijalna kreditna zaštita i podobni pružaoci nematerijalne kreditne zaštite su oni koji su definisani kao podobni u odeljku 3. ove glave i ukoliko su ispunjeni uslovi iz tog odeljka.
Izuzetno od stava 3. ove tačke, podobni pružaoci nematerijalne kreditne zaštite iz tačke 149. ove odluke, osim QCCP lice, ne mogu imati raspoloživi kreditni rejting izabrane agencije za rejting kome odgovara nivo kreditnog kvaliteta lošiji od 3, odnosno lošiji od 2 u trenutku inicijalnog priznavanja kreditne zaštite. Ako banka ima saglasnost Narodne banke Srbije za primenu IRB pristupa na direktne izloženosti prema pružaocima kreditne zaštite, ona može proceniti podobnost pružaoca nematerijalne kreditne zaštite iz ovog stava poređenjem PD parametra ovog lica sa PD parametrima mapiranim na nivoe kreditnog kvaliteta.
Izuzetno od stava 3. ove tačke, društvo za sekjuritizaciju se smatra podobnim pružaocem kreditne zaštite ako poseduje imovinu koja se priznaje kao podobna finansijska imovina i nad kojom ne postoje (potencijalna) prava koja su nadređena ili jednaka potencijalnim pravima banke korisnika nematerijalne kreditne zaštite, pri čemu su ispunjeni svi uslovi za priznavanje finansijske imovine kao podobne kreditne zaštite iz odeljka 3. ove glave. U navedenim slučajevima GA (vrednost instrumenta nematerijalne kreditne zaštite korigovana za faktor volatilnosti za valutnu neusklađenost i faktor ročne neusklađenosti u skladu sa odeljkom 3. ove glave) je jednaka tržišnoj vrednosti te imovine prilagođenoj za volatilnost, a g (ponder kreditnog rizika koji se u skladu sa standardizovanim pristupom dodeljuje izloženostima prema pružaocu kreditne zaštite) se određuje kao ponderisani prosečni ponder rizika koji bi se primenjivao na tu imovinu u skladu sa standardizovanim pristupom.
218. Banka sponzor ili banka inicijator sekjuritizacije koja primenjuje tačku 215. ove odluke pri obračunu rizikom ponderisanih izloženosti ili koja je prodala instrumente iz svoje knjige trgovanja i u skladu sa time više nije dužna da drži kapital za pokriće rizika po osnovu tih instrumenata, ne može da, u cilju smanjenja potencijalnih ili stvarnih gubitaka investitora, pruža podršku sekjuritizaciji van svojih ugovorenih obaveza. Ne smatra se da je transakcijom pružena podrška ako je ona izvršena pod tržišnim uslovima i uzeta u obzir pri proceni prenosa značajnog rizika. Banka je dužna da za svaku takvu transakciju sprovede analizu njenog odobravanja i procene kreditnog rizika, nezavisno od toga da li predstavlja pružanje podrške ili ne, kao i da o tome obavesti Narodnu banku Srbije. Pri određivanju da li je transakcija strukturirana na način da pruža podršku, banka je dužna da razmotri najmanje sledeće:
- cenu otkupa,
- kapital i likvidnost banke pre i posle otkupa,
- kvalitet sekjuritizovanih izloženosti,
- kvalitet sekjuritizovanih pozicija,
- uticaj podrške na gubitke za koje se očekuje da će snositi inicijator u odnosu na investitore.
Ako banka inicijator ili sponzor ne postupi u skladu sa stavom 1. ove tačke dužna je da za datu sekjuritizaciju drži najmanje toliko kapitala za sve odnosne sekjuritizovane izloženosti kao da one nisu sekjuritizovane.
a) Obračun iznosa rizikom ponderisanih izloženosti primenom standardizovanog pristupa
219. Banka je dužna da izračunava iznos rizikom ponderisanih izloženosti za sekjuritizovane i resekjuritizovane pozicije sa rejtingom tako što iznosima izloženosti dodeljuje odgovarajuće pondere rizika u skladu sa tabelom 18. a na osnovu procene kreditnog rizika pozicije u skladu s tač. 212. do 214. ove odluke.
Tabela 18.
Nivo kreditnog kvaliteta |
1 |
2 |
3 |
4 (samo za kreditne rejtinge koji nisu kratkoročni) |
Svi ostali nivoi kreditnog kvaliteta |
Sekjuritizovane pozicije |
20% |
50% |
100% |
350% |
1,250% |
Resekjuritizovane pozicije |
40% |
100% |
225% |
650% |
1,250% |
Banka je dužna da prilikom izračunavanja iznosa rizikom ponderisanih izloženosti za sekjuritizovane pozicije bez rejtinga primenjuje ponder rizika 1.250%.
Izuzetno od stava 2. ove tačke, banka može za pozicije bez rejtinga da koristi pondere rizika propisane tač. 220. do 223. ove odluke, ako su ispunjeni uslovi navedeni u tim tačkama.
Banka inicijator i banka sponzor
220. Izuzetno od tačke 219. ove odluke, banka inicijator ili banka sponzor može da ograniči iznos rizikom ponderisanih izloženosti za svoje sekjuritizovane pozicije na iznos rizikom ponderisanih izloženosti koji bi bio izračunat da odnosne izloženosti nisu bile sekjuritizovane, pri čemu se na sve izloženosti u statusu neizmirenja obaveza i izloženosti koje se u skladu s tačkom 56. te odluke smatraju visokorizičnim izloženostima, primenjuje ponder rizika 150%.
Tretman pozicija bez rejtinga
221. Banka može, prilikom izračunavanja iznosa rizikom ponderisanih izloženosti, na sekjuritizovanu poziciju bez rejtinga da primeni ponderisani prosek pondera rizika koji bi bili primenjeni na sekjuritizovane izloženosti primenom standardizovanog pristupa kreditnom riziku od strane banke koja drži izloženosti, pomnožen pokazateljem koncentracije, pod uslovom da je u svakom trenutku upoznata sa strukturom skupa sekjuritizovanih izloženosti.
Pokazatelj koncentracije predstavlja odnos zbira nominalnih iznosa svih tranši i zbira nominalnih iznosa tranši nižeg ili jednakog prava prvenstva u naplati kao tranša u kojoj je pozicija, uključujući i tu tranšu.
Utvrđeni ponder rizika, iz stava 1. ove tačke, ne sme biti veći od 1.250% niti manji od pondera rizika primenjenog na tranšu sa rejtingom koja je višeg ranga. Ako banka ne može da utvrdi pondere rizika koji bi bili primenjeni na sekjuritizovane izloženosti, primenom standardizovanog pristupa kreditnom riziku, dužna je da na poziciju primeni ponder rizika 1.250%.
Tretman sekjuritizovanih pozicija u tranšama drugog gubitka ili višeg ranga u ABCP programu
222. Ako su ispunjeni uslovi iz tačke 223. ove odluke za primenu povoljnijeg tretmana za slučajeve okvirnih linija za likvidnost, na sekjuritizovane pozicije koje ispunjavaju uslove propisane stavom 2. ove tačke, banka može da primeni veći od sledeća dva pondera rizika:
- 100% ili
- najveći ponder rizika koji bi bio primenjen na bilo koju sekjuritizovanu izloženost od strane banke koja ima tu izloženost primenom standardizovanog pristupa.
Banka može primeniti ponder iz stava 1. ove tačke ako su ispunjeni sledeći uslovi:
- sekjuritizovana pozicija je u tranši koja je pozicija drugog gubitka ili višeg ranga, pri čemu tranša prvog gubitka pruža značajno kreditno poboljšanje tranši drugog gubitka,
- nivo kreditnog kvaliteta sekjuritizovane pozicije je u skladu sa standardizovanim pristupom 3 ili bolji,
- banka nema istovremeno i sekjuritizovanu poziciju u tranši prvog gubitka.
Tretman okvirnih linija za likvidnost bez rejtinga
223. Banka može, prilikom utvrđivanja iznosa izloženosti sekjuritizovanih pozicija bez rejtinga u obliku okvirne linije za likvidnost, na nominalni iznos okvirne linije za likvidnost da primeni faktor konverzije 50% samo ako su ispunjeni sledeći uslovi:
1) u dokumentaciji okvirne linije za likvidnost su jasno definisani uslovi pod kojima se sredstva iz ove linije mogu povlačiti, odnosno koristiti;
2) okvirna linija ne može biti korišćena u cilju pružanja kreditne podrške za pokriće gubitaka koji su već postojali u trenutku povlačenja sredstava (npr. za pružanje likvidnosti izloženostima koje su u statusu neizmirenja obaveza u trenutku povlačenja sredstava ili za kupovinu imovine po ceni većoj od fer vrednosti);
3) okvirna linija se može koristiti samo za finansiranje privremenih razlika između novčanih priliva i odliva, a ne za trajno ili redovno finansiranje sekjuritizacije;
4) otplata povučenih sredstava po osnovu okvirne linije nije podređena potraživanjima investitora (osim potraživanjima po osnovu kamatnih ili valutnih finansijskih derivata, naknada ili sličnih plaćanja), niti je predmet otpisa ili odlaganja plaćanja;
5) okvirna linija za likvidnost ne može biti iskorišćena ako su već iskorišćena sva primenljiva kreditna poboljšanja okvirne linije za likvidnost;
6) ugovor koji se odnosi na okvirnu liniju za likvidnost sadrži odredbu kojom se:
- automatski smanjuje iznos koji može da bude povučen za iznos izloženosti koje su u statusu neizmirenja obaveza ili
- ako je reč o skupu sekjuritizovanih izloženosti koja se sastoji od instrumenata sa rejtingom, ukida okvirna linija ako prosečan kvalitet ovog skupa padne ispod nivoa kreditnog kvaliteta 3.
Banka je dužna da na sekjuritizovane pozicije u obliku okvirnih linija za likvidnost bez rejtinga iz stava 1. ove tačke primeni najveći ponder rizika koji bi bio primenjen od strane banke koja drži odnosne izloženosti u skladu sa standardizovanim pristupom.
Prilikom utvrđivanja iznosa izloženosti po osnovu okvirne linije za likvidnost, banka može da primeni faktor konverzije 0% na nominalni iznos okvirne linije za likvidnost ako su, pored uslova propisanih stavom 1. ove tačke, ispunjeni i sledeći uslovi:
- banka okvirnu liniju može bezuslovno da otkaže,
- otplate povučenih sredstava po osnovu okvirne linije imaju prvenstvo naplate u odnosu na sva druga potraživanja iz novčanih tokova po osnovu sekjuritizovanih izloženosti.
Dodatni kapitalni zahtevi po osnovu sekjuritizacije revolving izloženosti koje sadrže odredbu o prevremenoj otplati
224. Ako banka inicijator vrši sekjuritizaciju revolving izloženosti iz ugovora o sekjuritizaciji koji sadrži odredbu o prevremenoj otplati, dužna je da pored iznosa rizikom ponderisanih izloženosti za sekjuritizovane pozicije, izračunava dodatni iznos rizikom ponderisanih izloženosti u skladu s tač. 225. do 232. ove odluke zbog mogućeg povećanja nivoa kreditnog rizika kojem je izložena usled mogućnosti prevremene otplate.
225. Banka je dužna da izračuna iznos rizikom ponderisanih izloženosti u odnosu na zbir iznosa izloženosti udela inicijatora i udela investitora.
Ako sekjuritizovane izloženosti sadrže revolving i nerevolving izloženosti, banka inicijator je dužna da na deo skupa odnosne imovine koji sadrži revolving izloženosti primenjuje odredbe iz tač. 226. do 230. ove odluke.
Iznos izloženosti udela inicijatora je iznos izloženosti onog ugovorenog dela skupa povučenih iznosa koji su sekjuritizovani, a čije učešće u ukupnom iznosu skupa imovine koja je sekjuritizovana služi za određivanje učešća novčanih tokova koji proizilaze iz naplate glavnice i kamata, kao i drugih iznosa koji nisu raspoloživi za isplatu investitorima. Udeo inicijatora ne sme biti podređen udelu investitora. Iznos izloženosti udela investitora je iznos izloženosti preostalog dela skupa povučenih iznosa, koji ne obuhvata udeo inicijatora.
Iznos rizikom ponderisanih izloženosti koji se odnosi na iznos izloženosti udela inicijatora obračunava se kao proporcionalna izloženost u odnosnim izloženostima kao da one nisu sekjuritizovane.
226. Banka inicijator nije dužna da obračunava dodatni iznos rizikom ponderisanih izloženosti, odnosno da primenjuje odredbe iz tačke 224. ove odluke, u slučaju sledećih vrsta sekjuritizacije:
- sekjuritizacije revolving izloženosti kod kojih investitor ostaje u potpunosti izložen svim budućim povlačenjima sredstava od strane dužnika, tako da se rizik povezan sa odnosnim izloženostima ne vraća banci inicijatoru u slučaju nastupanja događaja koji u skladu sa ugovorom pokreće prevremenu otplatu,
- sekjuritizacije kod kojih se odredba prevremene otplate pokreće samo u slučaju nastanka događaja koji nisu povezani sa performansama sekjuritizovane imovine ili banke inicijatora, kao što su promene u poreskim ili drugim propisima.
227. Ako banka inicijator računa dodatni kapitalni zahtev u skladu s tačkom 224. ove odluke, ukupan iznos rizikom ponderisanih izloženosti za njene pozicije u udelima investitora i onih izračunatih u skladu sa tom tačkom ne može biti veći od većeg od sledeća dva iznosa:
- iznosa rizikom ponderisanih izloženosti izračunatog za njene pozicije u udelu investitora i
- iznosa rizikom ponderisanih izloženosti, za njene pozicije u udelu investitora, koji bi bio izračunat da odnosne izloženosti nisu bile sekjuritizovane.
Neto dobici od kapitalizovanog budućeg prihoda od sekjuritizovane imovine koji se isključuju iz vrednosti kapitala banke u skladu s tačkom 11. ove odluke, ne uključuju se u obračun iz stava 1. ove tačke.
228. Dodatni iznos rizikom ponderisanih izloženosti, koji je banka dužna da izračunava u skladu s tačkom 224. ove odluke, izračunava se množenjem:
- iznosa izloženosti udela investitora,
- odgovarajućeg faktora konverzije propisanog tač. 230. do 232. te odluke i
- ponderisanog proseka pondera rizika koji bi bio primenjen na odnosne izloženosti u slučaju da nisu bile sekjuritizovane.
229. Odredba o prevremenoj otplati smatra se kontrolisanom ako su ispunjeni sledeći uslovi:
1) banka inicijator je uspostavila odgovarajući plan kapitala i plan likvidnosti koji obezbeđuje dovoljan nivo kapitala i likvidnosti u slučaju prevremene otplate;
2) za vreme trajanja sekjuritizacije inicijator i investitor, proporcionalno svojim udelima, učestvuju u naplati kamata i glavnice, u troškovima, gubicima i naplatama po osnovu stanja potraživanja na jedan ili više referentnih datuma tokom svakog meseca;
3) period otplate nakon aktiviranja odredbe o prevremenoj otplati je dovoljno dug, odnosno smatra se da će tokom tog perioda 90% ukupnog duga (udela inicijatora i investitora) preostalog u trenutku započinjanja prevremene otplate biti otplaćeno ili će biti proglašen status neizmirenja obaveza;
4) dinamika otplate nije brža od dinamike koja bi bila postignuta jednakim otplatama glavnice u periodu iz stava 1. odredbe pod 3) ove tačke.
230. U slučaju sekjuritizacije izloženosti prema fizičkim licima koje banka može bezuslovno i bez prethodne najave otkazati, a koja sadrži odredbu o prevremenoj otplati koja se pokreće padom iznosa marže ispod utvrđenog nivoa, banka je dužna da poredi tromesečni prosek iznosa marže sa nivoima na kojima se zahteva održavanje iznosa marže.
Za potrebe ove tačke i tačke 231. ove odluke pod iznosom marže podrazumeva se razlika svih prihoda i rashoda nastalih po osnovu sekjuritizovanih izloženosti.
Ako nije ugovoreno održavanje iznosa marže na određenom nivou, smatra se da je taj nivo 4,5 procentna poena iznad nivoa iznosa marže na kojem se pokreće prevremena otplata.
Banka je dužna da primeni faktor konverzije koji je određen realizovanim tromesečnim prosekom iznosa marže u skladu sa sledećom tabelom:
Tabela 19.
Tromesečni prosek iznosa marže |
Faktori konverzije |
|
Sekjuritizacija sa odredbom o prevremenoj otplati koja je kontrolisana |
Sekjuritizacija sa odredbom o prevremenoj otplati koja nije |
|
Iznad nivoa A |
0% |
0% |
Nivo A |
1% |
5% |
Nivo B |
2% |
15% |
Nivo V |
10% |
50% |
Nivo G |
20% |
100% |
Nivo D |
40% |
100% |
Utvrđivanje tromesečnog proseka iznosa marže vrši se na sledeći način:
- nivo A predstavlja iznose marže koji su manji od 133,33%, ali nisu manji od 100% nivoa održavanja;
- nivo B predstavlja iznose marže koji su manji od 100%, ali nisu manji od 75% nivoa održavanja;
- nivo V predstavlja iznose marže koji su manji od 75%, ali nisu manji od 50% nivoa održavanja;
- nivo G predstavlja iznose marže koji su manji od 50%, ali nisu manji od 25% nivoa održavanja i
- nivo D predstavlja iznose marže koji su manji od 25% nivoa održavanja.
231. U slučaju sekjuritizacije izloženosti prema fizičkim licima koje banka može bezuslovno i bez prethodne najave otkazati, a koja sadrži odredbu o prevremenoj otplati koja se pokreće drugim iznosom koji nije tromesečni prosek iznosa marže, banka može, samo uz saglasnost Narodne banke Srbije, da primeni alternativni metod za utvrđivanje faktora konverzije pri čemu ovaj metod mora biti sličan metodu iz tačke 230. ove odluke i moraju biti ispunjeni sledeći uslovi:
- ovaj metod je primereniji jer banka može da odrediti iznos koji je, u smislu pokretanja odredbe o prevremenoj otplati, ekvivalentan nivou održavanja iznosa marže;
- taj metod omogućava utvrđivanja uvećane izloženosti banke kreditnom riziku po osnovu aktiviranja odredbe o prevremenoj otplati, koja je jednako konzervativna kao ona obračunata u skladu s tačkom 230. ove odluke.
232. Na sve ostale sekjuritizacije revolving izloženosti (npr. izloženosti prema fizičkim licima koje nisu bezuslovno otkazive, izloženosti prema privrednim društvima i sl.) primenjuje se sledeći faktor konverzije:
1) 90%, ako ugovor sadrži odredbu o prevremenoj otplati koja je kontrolisana;
2) 100%, ako ugovor sadrži odredbu o prevremenoj otplati koja nije kontrolisana.
Priznavanje tehnika ublažavanja kreditnog rizika za sekjuritizovane pozicije
233. Ako je pribavljena kreditna zaštita za sekjuritizovanu poziciju, banka može da prilagodi obračun iznosa rizikom ponderisanih izloženosti u skladu sa odeljkom 3. ove glave.
Umanjenje iznosa rizikom ponderisanih izloženosti
234. Ako sa na sekjuritizovanu poziciju primenjuje ponder rizika 1.250% banka može, umesto uključivanja tih pozicija u obračun iznosa rizikom ponderisanih izloženosti, da prikaže iznos izloženosti po osnovu tih pozicija kao odbitnu stavku od osnovnog akcijskog kapitala u skladu s tačkom 13. stav 1. odredba pod 11) alineja druga ove odluke. Iznos izloženosti po osnovu tih pozicija banka može umanjiti za efekte kreditne zaštite u skladu s tačkom 233. ove odluke.
Ako banka primenjuje tretman odbitnih stavki u skladu s tačkom 13. stav 1. odredba pod 11) alineja druga ove odluke, ona može od iznosa iz tačke 220. te odluke, kao iznos rizikom ponderisanih izloženosti koji bi bio izračunat u tom trenutku da sekjuritizovane izloženosti nisu sekjuritizovane, oduzeti iznos ovih odbitnih stavki pomnožen sa 12,5.
b) Obračun iznosa rizikom ponderisanih izloženosti primenom IRB pristupa
Redosled korišćenja metoda
235. Banka je dužna da pri izračunavanju iznosa rizikom ponderisanih izloženosti primenjuje sledeći redosled korišćenja metoda:
1) za pozicije sa rejtingom ili pozicije kojima se može dodeliti izvedeni rejting - primenom metoda zasnovanog na rejtinzima u skladu s tačkom 237. ove odluke;
2) za pozicije bez rejtinga - uz prethodnu saglasnost Narodne banke Srbije, primenom metoda supervizorske formule iz tačke 238. ove odluke, ako tim metodom može da se proceni PD parametar i, ako je primenljivo, iznos izloženosti i LGD parametar kao elemente koji se uključuju u supervizorsku formulu u skladu sa zahtevima za procenu tih parametara prema IRB pristupu u skladu sa odeljkom 2. ove glave;
3) izuzetno od odredbe pod 2) ovog stava, samo za pozicije bez rejtinga u ABCP programu (npr. kreditne linije ili kreditna poboljšanja) banka može, uz prethodnu saglasnost Narodne banke Srbije, koristiti pristup interne procene u skladu sa stavom 4. ove tačke;
4) u svim ostalim slučajevima na sve sekjuritizovane pozicije bez rejtinga se primenjuje ponder 1.250%;
5) izuzetno od odredbe pod 4) ovog stava, banka može računati ponder rizika za poziciju bez rejtinga u ABCP programu u skladu s tač. 221. ili 222. ove odluke, ako pozicija bez rejtinga nije u komercijalnom zapisu i ako je obuhvaćena pristupom interne procene za koji je banka podnela zahtev za dobijanje prethodne saglasnosti Narodne banke Srbije iz ove tačke, pri tome ukupan iznos izloženosti na koji se primenjuje ovo izuzeće ne sme biti materijalno značajan, odnosno mora biti manji od 10% ukupnog iznosa izloženosti na koji banka primenjuje pristup interne procene i ovo izuzeće banka ne može više da koristi ako nije dobila prethodnu saglasnost Narodne banke Srbije za korišćenje pristupa interne procene.
Za potrebe korišćenja izvedenih kreditnih rejtinga, banka sekjuritizovanoj poziciji bez rejtinga dodeljuje izvedeni kreditni rejting koji je jednak kreditnom rejtingu sekjuritizovanih pozicija sa najvišim pravom prvenstva u naplati (u daljem tekstu: referentne pozicije) koje su prema svim karakteristikama podređene sekjuritizovanoj poziciji kojoj se dodeljuje izvedeni rejting samo ako su ispunjeni sledeći uslovi:
1) referentne pozicije su prema svim karakteristikama podređene sekjuritizovanoj poziciji bez rejtinga;
2) rok dospeća referentnih pozicija je jednak ili duži od roka dospeća pozicija bez rejtinga kojima se dodeljuje izvedeni rejting;
3) izvedeni rejtinzi se kontinuirano ažuriraju u cilju odražavanja eventualnih promena u kreditnom rejtingu referentnih pozicija.
Narodna banka Srbije može dati banci prethodnu saglasnost za korišćenje pristupa interne procene u skladu stavom 4. ove tačke, ako su ispunjeni sledeći uslovi:
1) pozicijama u komercijalnim zapisima emitovanim u okviru ABCP programa je dodeljen kreditni rejting;
2) interna procena kreditnog kvaliteta pozicije zasnovana je na javno dostupnoj metodologiji, jedne ili više podobnih agencija za rejting, za dodeljivanje rejtinga hartijama od vrednosti pokrivenim izloženostima koje su iste vrste kao i sekjuritizovane izloženosti;
3) metodologije iz odredbe pod 2) ovog stava moraju da uključe i metodologije agencija za rejting koje su dodelile kreditni rejting komercijalnim zapisima emitovanim u okviru ABCP programa, pri čemu kvantitativni elementi (kao što su stresni faktori), korišćeni za procenu kreditnog kvaliteta pozicija, moraju biti najmanje isto toliko konzervativni kao oni koji su korišćeni u relevantnoj metodologiji za dodeljivanje rejtinga podobne agencije za rejting;
4) pri razvoju svoje metodologije za interne procene banka uzima u obzir relevantne javno dostupne metodologije za dodeljivanja rejtinga agencija za rejting koje dodeljuju rejting komercijalnim zapisima u ABCP programu, što je dokumentovano i redovno preispitivano od strane banke na način iz odredbe pod 7) ovog stava;
5) metodologija za interne procene banke sadrži rejting kategorije, pri čemu je jasno dokumentovana veza između ovih rejting kategorija i kreditnih rejtinga podobnih agencija za rejting;
6) banka koristi metodologiju za interne procene u procesu upravljanja rizicima, uključujući odlučivanje, informisanje rukovodstva i raspodelu kapitala;
7) nezavisni revizor, agencija za rejting ili organizacioni deo u banci u čijoj nadležnosti je kontrola ili upravljanje rizicima obezbeđuju redovnu reviziju procesa interne procene, kao i kvaliteta internih procena kreditnog kvaliteta pozicija koje banka ima u ABCP programu, pri čemu je neophodno da je, ako reviziju procesa obavlja unutrašnja revizija banke ili organizaciona jedinica u čijoj je nadležnosti upravljanje rizicima, ta organizaciona jedinica nezavisna od organizacione jedinice odgovorne za ABCP program i kontakt sa klijentima;
8) banka kontinuirano prati performanse internih rejtinga u cilju ocene kvaliteta metodologije za interne procene, kao i u cilju njenog unapređenja ako kreditni kvalitet pozicija značajno odstupa od onog na koji ukazuju interni rejtinzi;
9) uspostavljeni su standardi za kupovinu imovine za ABCP program u formi kreditnih i investicionih uputstava, u skladu s kojim prilikom donošenja odluke o kupovini imovine rukovodilac ABCP programa uzima u obzir: vrstu imovine koja je predmet kupovine, vrstu i iznos izloženosti koje proizilaze iz odredbi o okvirnim linijama za likvidnost i kreditnom poboljšanju, raspodelu gubitaka, kao i pravnu i ekonomsku odvojenost prenete imovine od pravnog lica koje prodaje imovinu; pri čemu je sprovedena kreditna analiza rizičnog profila prodavca imovine koja obuhvata analizu: istorijskih i očekivanih finansijskih rezultata, trenutnu tržišnu poziciju, očekivanu konkurentnost, najvišeg nivoa učešća iznosa pozajmljenih sredstava u iznosu kapitala, novčane tokove, pokriće kamata i kreditni rejting prodavca, a sprovedena je i procena standarda prodavca za odobravanje kredita i njegove sposobnosti servisiranja i naplate potraživanja;
10) standardima iz odredbe pod 9) ovog stava su definisani minimalni kriterijumi prihvatljivosti imovine koji naročito:
- zabranjuju kupovinu imovine koja je značajno u docnji ili u statusu neizmirenja obaveza,
- ograničavaju prekomernu koncentraciju prema jednom licu, grupi povezanih lica ili geografskom području,
- ograničavaju rok dospeća imovine koja je predmet kupovine;
11) uspostavljena su interna akta za ABCP program u vezi sa naplatom potraživanja koja uzimaju u obzir operativnu sposobnost i kreditni kvalitet servisera, kao i adekvatne metode za ublažavanje rizika u vezi sa otplatnim kapacitetom prodavca imovine i servisera naplate (npr. definisanjem odredbe kojom je omogućeno jasno razdvajanje sredstava koja pripadaju licima uključenim u program u zavisnosti od utvrđenih promena kreditnog kvaliteta prodavca imovine i servisera);
12) ukupan procenjeni gubitak skupa imovine koju ABCP program namerava da kupi uključuje sve potencijalne izvore rizika, kao što su rizik neizmirenja obaveza i rizik smanjenja vrednosti potraživanja, pri čemu je banka dužna da formira odvojenu rezervu za rizik smanjenja vrednosti potraživanja, ako se kreditno poboljšanje koje pruža prodavac odnosi samo na gubitke po osnovu rizika neizmirenja obaveza, a postoji značajan rizik smanjenja vrednosti potraživanja, pri tome su, prilikom utvrđivanja potrebnog nivoa kreditnog poboljšanja, razmatrane višegodišnje istorijske informacije, uključujući gubitke, dospela nenaplaćena potraživanja, smanjenja vrednosti otkupljenih potraživanja i koeficijent obrta potraživanja;
13) ABCP program sadrži odredbe u vezi sa kupovinom izloženosti a u cilju ublažavanja potencijalnog pogoršanja kreditnog kvaliteta skupa odnosnih izloženosti, kao što je odredba o prevremenoj otplati.
U okviru pristupa interne procene, banka pozicije bez rejtinga razvrstava u jednu od internih rejting kategorija iz stava 3. odredbe pod 5) ove tačke i dužna je da poziciji bez rejtinga dodeli izvedeni rejting na osnovu kreditnog rejtinga podobne agencije za rejting koji odgovara rejting kategoriji u koju je svrstana pozicija. Ako je prilikom prve procene kreditnog kvaliteta sekjuritizovane izloženosti izvedenom rejtingu odgovara nivo kreditnog kvaliteta 3 ili bolji, banka može da koristi ovaj rejting za potrebe obračuna iznosa rizikom ponderisanih izloženosti primenom pondera rizika iz tabele 20. iz tačke 237. ove odluke.
Banka koja je dobila saglasnost Narodne banke Srbije za korišćenje pristupa interne procene, ne može preći na neki od drugih metoda, osim ako je dokazala Narodnoj banci Srbije da za to ima opravdane razloge i dobila prethodnu saglasnost Narodne banke Srbije da pređe na upotrebu nekog drugog metoda.
Najveći kapitalni zahtevi
236. Za banku inicijatora, banku sponzora ili drugu banku koja računa KIRB, iznos rizikom ponderisanih izloženosti za njene sekjuritizovane pozicije može biti ograničen na iznos koji bi proizveo kapitalni zahtev jednak zbiru:
1) 8% iznosa rizikom ponderisanih izloženosti izračunatih u slučaju da sekjuritizovane izloženosti nisu sekjuritizovane i da se nalaze u bilansu banke i
2) očekivanih gubitaka za sekjuritizovane izloženosti.
Metod zasnovan na rejtinzima
237. Ako banka za izračunavanje iznosa rizikom ponderisanih izloženosti koristi metod zasnovan na rejtinzima, iznos rizikom ponderisanih izloženosti za sekjuritizovane pozicije ili resekjuritizovane pozicije sa rejtingom dobija se primenom odgovarajućeg pondera rizika na iznos izloženosti i množenjem tako dobijenog iznosa sa 1,06.
Banka određuje odgovarajući ponder rizika u skladu sa sledećom tabelom (Tabela 20), pri čemu je nivo kreditnog kvaliteta pozicije određen na osnovu tač. 212. do 214. ove odluke.
Tabela 20.
Nivo kreditnog kvaliteta |
Sekjuritizovane pozicije |
Resekjuritizovane pozicije |
||||
Kreditni rejting osim kratkoročnog kreditnog rejtinga |
Kratkoročni kreditni rejting |
A |
B |
V |
G |
D |
1 |
1 |
7% |
12% |
20% |
20% |
30% |
2 |
8% |
15% |
25% |
25% |
40% |
|
3 |
10% |
18% |
35% |
35% |
50% |
|
4 |
2 |
12% |
20% |
35% |
40% |
65% |
5 |
20% |
35% |
35% |
60% |
100% |
|
6 |
35% |
50% |
50% |
100% |
150% |
|
7 |
3 |
60% |
75% |
75% |
150% |
225% |
8 |
100% |
100% |
100% |
200% |
350% |
|
9 |
250% |
250% |
250% |
300% |
500% |
|
10 |
425% |
425% |
425% |
500% |
650% |
|
11 |
650% |
650% |
650% |
750% |
850% |
|
ispod 11 i bez rejtinga |
1.250% |
1.250% |
1.250% |
1.250% |
1.250% |
|
Banka je dužna da primenjuje pondere rizika iz kolone V iz tabele 20. na pozicije u sekjuritizaciji koje nisu pozicije u resekjuritizaciji, a kod kojih je efektivan broj sekjuritizovanih izloženosti manji od 6.
Na ostale sekjuritizovane pozicije koje nisu pozicije u resekjuritizaciji, primenjuju se ponderi rizika iz kolone B iz tabele 20, osim ako je pozicija u tranši najvišeg ranga u sekjuritizaciji, kada se primenjuje ponder rizika iz kolone A iz tabele 20.
Na resekjuritizovane pozicije primenjuju se ponderi rizika iz kolone D, osim ako je resekjuritizovana pozicija u tranši najvišeg ranga u resekjuritizaciji i nijedna od odnosnih izloženosti nije resekjuritizovana izloženost, kada se primenjuju ponderi rizika iz kolone G iz tabele 20.
Prilikom utvrđivanja da li je tranša najvišeg ranga, banka nije dužna da uzme u obzir dospele iznose po osnovu kamatnih ili valutnih finansijskih derivata, dospelih naknada i drugih sličnih plaćanja.
Kod utvrđivanja efektivnog broja sekjuritizovanih izloženosti, višestruke izloženosti prema jednom dužniku se tretiraju kao jedna izloženost. Efektivan broj izloženosti se izračunava kao:
|
gde je EADi zbir iznosa svih izloženosti prema i-tom dužniku.
U slučaju resekjuritizacije, banka je dužna da koristi broj sekjuritizovanih izloženosti u skupu imovine koja je resekjuritizovana, a ne broj odnosnih izloženosti iz inicijalnih skupova koji su predmet odnosnih sekjuritizovanih izloženosti.
Ako je poznato učešće najveće izloženosti u portfoliju (C1), banka može da izračunava efektivan broj izloženosti kao:
|
Banka može da primenjuje tehnike ublažavanja kreditnog rizika na sekjuritizovane pozicije u skladu s tačkom 240. ove odluke, ako su ispunjeni uslovi iz tačke 217. te odluke.
Metod supervizorske formule
238. Ako banka za obračun iznosa rizikom ponderisanih izloženosti koristi metod supervizorske formule, na sekjuritizovanu poziciju primenjuje ponder rizika koji ne može biti manji od 20% za resekjuritizovane pozicije, odnosno 7% za sve ostale sekjuritizovane pozicije, a koji izračunava kao:
|
pri čemu je za x£ KIRBR:
S(x)=x
odnosno za x>KIRBR:
![]()
gde je:

Za potrebe ove tačke:
1) Beta[x;a,b] predstavlja kumulativnu beta raspodelu sa parametrima a i b procenjenim za x;
2) T predstavlja obuhvat tranše u kojoj banka ima poziciju i izračunava se kao količnik nominalnog iznosa tranše i zbira iznosa svih nominalnih iznosa sekjuritizovanih izloženosti, pri čemu se radi izračunavanja T za finansijske derivate iz Priloga 1 ove odluke, umesto nominalnog iznosa koristi zbir tekuće izloženosti i potencijalne izloženosti izračunatih u skladu sa odeljkom 5. ove glave;
3) KIRBR je količnik KIRB i zbira iznosa svih sekjuritizovanih izloženosti i iskazuje se u decimalnom obliku;
4) L predstavlja nivo kreditnog poboljšanja i izračunava se kao količnik nominalnog iznosa svih tranši koje su podređene tranši u kojoj je zadržana pozicija i zbira nominalnih iznosa svih sekjuritizovanih izloženosti, pri čemu se kapitalizovani budući prihodi ne uključuju u obračun, a dospela potraživanja od drugih ugovornih strana po osnovu finansijskih derivata iz Priloga 1 ove odluke, koji predstavljaju tranše nižeg ranga od tranše u kojoj je pozicija, banka može da vrednuje prema tekućoj izloženosti (bez uključivanja potencijalne izloženosti);
5) N je efektivan broj izloženosti izračunat u skladu s tačkom 237. ove odluke;
6) ELGD je prosečan LGD parametar ponderisan iznosom izloženosti i izračunava se kao:
|
pri čemu LGDi predstavlja prosečan LGD parametar svih izloženosti prema i-tom dužniku, gde je LGD parametar određen u skladu odeljkom 2. ove glave. U slučaju resekjuritizacije banka je dužna da primeni LGD od 100% na sekjuritizovane pozicije. Ako rizik neizmirenja obaveza i rizik smanjenja vrednosti kupljenih potraživanja tretira na grupnoj osnovi unutar sekjuritizacije, banka je dužna da LGDi izračuna kao ponderisani prosek LGD parametra za rizik neizmirenja obaveza i LGD parametra od 75% za rizik smanjenja vrednosti potraživanja. Pondere za ove ponderisane proseke predstavljaju pojedinačni udeli kapitalnih zahteva za kreditni rizik i rizik smanjenja vrednosti potraživanja.
Ako iznos najveće izloženosti u portfoliju (C1) nije veći od 3% zbira iznosa svih sekjuritizovanih izloženosti banka može, za potrebe metoda supervizorske formule, da primeni LGD parametar od 50% i N koji je jednak:

pri čemu Cm predstavlja količnik zbira iznosa najvećih m izloženosti i zbira iznosa svih sekjuritizovanih izloženosti. Banka može da definiše koje izloženosti smatra najvećim m izloženostima.
U slučaju sekjuritizacije izloženosti prema klijentima razvrstanim u klasu izloženosti prema fizičkim licima, Narodna banka Srbije može banci dati saglasnost za korišćenje pojednostavljene metode supervizorske formule, gde su h=0 i v=0, pod uslovom da broj izloženosti nije mali i da izloženosti nisu visokokoncentrisane.
Banka može da primenjuje tehnike ublažavanja kreditnog rizika na sekjuritizovane pozicije u skladu s tačkom 240. st. 2. do 5. ove odluke, ako su ispunjeni uslovi iz tačke 217. te odluke.
Okvirne linije za likvidnost
239. Banka može, prilikom izračunavanja iznosa izloženosti po osnovu sekjuritizovanih pozicija bez rejtinga u obliku okvirnih linija za likvidnost, da primenjuje faktor konverzije 0% na nominalni iznos okvirne linije za likvidnost, ako ova linija ispunjava uslove iz tačke 223. stav 3. ove odluke.
Ako banka za potrebe obračuna iznosa rizikom ponderisanih izloženosti sekjuritizovanih pozicija bez rejtinga u obliku okvirnih linija za likvidnost nije u mogućnosti da izračuna iznos rizikom ponderisanih izloženosti za sekjuritizovane izloženosti kao da one nisu sekjuritizovane, a okvirna linija za likvidnost ispunjava uslove propisane tačkom 223. st. 1. i 2. ove odluke, Narodna banka Srbije može, kao izuzeće koje se primenjuje u ograničenom periodu, dati saglasnost banci za primenu metoda iz stava 3. ove tačke. Za potrebe ove tačke smatra se da banka nije u mogućnosti da sprovede navedeni obračun ako je u situaciju u kojoj joj nije na raspolaganju primena izvedenih rejtinga, pristupa interne procene i metod supervizorske formule. Uz zahtev za saglasnost banka Narodnoj banci Srbije dostavlja dokumentaciju u kojoj su obrazloženi razlozi za izuzeće, kao i period za koji se izuzeće traži.
Banka može, na sekjuritizovanu poziciju u obliku okvirne linije za likvidnost, da primeni najveći ponder rizika koji bi primenom standardizovanog pristupa kreditnom riziku primenila na bilo koju od odnosnih izloženosti pod pretpostavkom da one nisu sekjuritizovane, pri čemu je dužna da pri određivanju iznosa izloženosti pozicije primeni faktor konverzije 100% na nominalni iznos okvirne linije za likvidnost.
Priznavanje tehnika ublažavanja kreditnog rizika za sekjuritizovane pozicije na koje se primenjuje IRB pristup
240. Ako banka koristi metod zasnovan na rejtinzima za obračun iznosa kreditnim rizikom ponderisanih izloženosti, iznos izloženosti i/ili ponder rizika koji se primenjuje na sekjuritizovanu poziciju za koju je ugovorena kreditna zaštita, može biti prilagođen u skladu sa odeljkom 3. ove glave na način na koji se koristi prilikom izračunavanja iznosa rizikom ponderisanih izloženosti u standardizovanom pristupu kreditnom riziku.
U slučaju potpune kreditne zaštite, kada banka za obračun iznosa rizikom ponderisanih izloženosti sekjuritizovanih pozicija koristi metod supervizorske formule, dužna je da primeni sledeće:
1) da izračuna efektivni ponder rizika pozicije kao količnik iznosa rizikom ponderisanih izloženosti pozicije i iznosa izloženosti pozicije pomnožen sa 100;
2) da u slučaju materijalne kreditne zaštite iznos rizikom ponderisanih izloženosti sekjuritizovanih pozicija izračunava kao proizvod efektivnog pondera rizika i efektivne vrednosti izloženosti (E*) izračunate u skladu sa odeljkom 3. ove glave za potrebe računanja iznosa rizikom ponderisanih izloženosti u standardizovanom pristupu kreditnom riziku, pri čemu je E iznos sekjuritizovane pozicije;
3) da u slučaju nematerijalne kreditne zaštite, iznos rizikom ponderisanih izloženosti sekjuritizovanih pozicija izračunava kao zbir:
- proizvoda pondera rizika pružaoca kreditne zaštite i GA (nominalnog iznosa nematerijalne kreditne zaštite prilagođenog za valutnu i ročnu neusklađenost u skladu sa odeljkom 3. ove glave) i
- proizvoda efektivnog pondera rizika i iznosa sekjuritizovane pozicije umanjenog za GA.
Ako banka koristi metod supervizorske formule i kreditna zaštita pokriva poziciju prvog gubitka ili gubitke na proporcionalnoj osnovi, ona može za izračunavanje iznosa rizikom ponderisanih izloženosti da primeni način obračuna iz stava 2. ove tačke. U svim drugim slučajevima, banka je dužna da sekjuritizovanu poziciju tretira kao dve ili više pozicija, pri čemu se nepokriveni deo smatra pozicijom nižeg kreditnog kvaliteta. Za potrebe obračuna iznosa rizikom ponderisanih izloženosti za nepokriveni deo pozicije, primenjuje se tačka 238. ove odluke, uz sledeće izmene:
- T se izjednačava sa e* u slučaju materijalne kreditne zaštite; odnosno sa (T-g) u slučaju nematerijalne kreditne zaštite,
- e* predstavlja količnik E* i ukupnog nominalnog iznosa skupa odnosne imovine,
- E* je efektivna vrednost izloženosti sekjuritizovanih pozicija obračunata u skladu sa odeljkom 3. ove glave, za potrebe računanja iznosa rizikom ponderisanih izloženosti u standardizovanom pristupu kreditnom riziku, pri čemu je E iznos sekjuritizovane pozicije,
- g je količnik nominalnog iznosa kreditne zaštite (prilagođenog za valutnu i ročnu neusklađenost u skladu sa odeljkom 3. ove glave) i zbira iznosa sekjuritizovanih izloženosti.
Ako banka primenjuje nematerijalnu kreditnu zaštitu, ponder rizika pružaoca zaštite se primenjuje na onaj deo pozicije koji ne spada u prilagođenu vrednost T.
U slučaju nematerijalne kreditne zaštite, kada je banka dobila saglasnost Narodne banke Srbije da računa iznos rizikom ponderisanih izloženosti za uporedivu direktnu izloženost prema pružaocu zaštite u skladu sa odeljkom 2. ove glave, ponder rizika g koji se dodeljuje izloženostima prema pružaocu kreditne zaštite iz tačke 191. ove odluke se određuje u skladu sa tim odeljkom.
Dodatni kapitalni zahtevi po osnovu sekjuritizacije revolving izloženosti koje sadrže odredbu o prevremenoj otplati
241. Ako banka inicijator vrši sekjuritizaciju revolving izloženosti iz ugovora o sekjuritizaciji koji sadrži odredbu o prevremenoj otplati, dužna je da pored iznosa rizikom ponderisanih izloženosti izračunatog za sekjuritizovane pozicije izračuna i dodatni iznos rizikom ponderisanih izloženosti na način propisan tač. 224. do 232. ove odluke.
Iznos izloženosti udela inicijatora, u smislu ove tačke, je zbir:
- iznosa izloženosti ugovorenog dela skupa povučenih iznosa koji su sekjuritizovani, a čije učešće u ukupnom iznosu skupa imovine koja je sekjuritizovana, služi za određivanje učešća novčanih tokova koji proizilaze iz naplate glavnice i kamata, kao i drugih iznosa koji nisu raspoloživi za isplatu investitorima i
- iznosa izloženosti skupa nepovučenih iznosa kreditnih linija čiji su povučeni iznosi prodati u sekjuritizaciji, a čije je učešće u ukupnom iznosu takvih nepovučenih iznosa jednako učešću iznosa izloženosti ugovorenog dela skupa povučenih iznosa koji su sekjuritizovani, definisanog u alineji prvoj ovog stava u iznosu izloženosti skupa povučenih iznosa, prodatih u sekjuritizaciji.
Udeo inicijatora ne sme biti podređen udelu investitora.
Udeo investitora predstavlja iznos izloženosti ugovorenog dela skupa povučenih iznosa, koji nije obuhvaćen stavom 2. alineja prva ove tačke, uvećan za iznos izloženosti onog dela skupa nepovučenih iznosa kreditnih linija čiji su povučeni iznosi prodati u sekjuritizaciji, a nisu obuhvaćeni stavom 2. alineja druga ove tačke.
Iznos rizikom ponderisanih izloženosti za iznos izloženosti udela inicijatora iz stava 2. alineja prva ove tačke računa se za srazmerni deo izloženosti u sekjuritizovanim povučenim iznosima izloženosti kao da one nisu sekjuritizovane, kao i za srazmerni deo izloženosti u nepovučenim iznosima kreditnih linija čiji su povučeni iznosi prodati u sekjuritizaciji.
Umanjenje iznosa rizikom ponderisanih izloženosti
242. Iznos rizikom ponderisanih izloženosti za sekjuritizovanu poziciju na koju se primenjuje ponder rizika 1.250% može biti umanjen za iznos specifičnih prilagođavanja za kreditni rizik koje je banka izdvojila u skladu s tačkom 36. ove odluke za sekjuritizovane izloženosti pomnožen sa 12,5. Ovaj iznos specifičnih prilagođavanja za kreditni rizik, banka ne sme da koristi prilikom obračuna iz tačke 134. ove odluke.
Banka može iznos rizikom ponderisanih izloženosti za sekjuritizovanu poziciju da umanji za iznos specifičnih prilagođavanja za kreditni rizik koje je izdvojila u skladu s tačkom 36. ove odluke za datu poziciju pomnožen sa 12,5.
Ako sa na sekjuritizovanu poziciju primenjuje ponder rizika 1.250%, banka može, umesto uključivanja te pozicije u obračun iznosa rizikom ponderisanih izloženosti, iznos izloženosti po osnovu te pozicije da iskaže kao odbitnu stavku od osnovnog akcijskog kapitala u skladu s tačkom 13. ove odluke, pri čemu se primenjuje sledeće:
1) iznos izloženosti po osnovu te pozicije može se odrediti na osnovu iznosa rizikom ponderisanih izloženosti, uzimajući u obzir umanjenja izvršena u skladu sa st. 1. i 2. ove tačke;
2) mogu se uzeti u obzir efekti primene podobne materijalne zaštite u skladu sa tač. 217. i 240. ove odluke ili
3) banka može da tretira poziciju kao dve pozicije, gde je L=KIRBR za poziciju koja je nadređena, ako za obračun iznosa rizikom ponderisanih izloženosti koristi metod supervizorske formule i ako je L≤KIRBR i [L+T]>KIRBR.
Ako primenjuje pristup iz stava 3. ove tačke, banka može najveći iznos rizikom ponderisanih izloženosti za sekjuritizovane pozicije izračunat u skladu s tačkom 236. ove odluke da umanji za iznos odbitne stavke iz tog stava pomnožen sa 12,5.
5. Obračun iznosa rizikom ponderisanih izloženosti za banku inicijatora sintetičke sekjuritizacije
243. Ako su ispunjeni uslovi iz tačke 202. ove odluke, banka inicijator sintetičke sekjuritizacije dužna je da, prilikom izračunavanja iznosa rizikom ponderisanih izloženosti po osnovu sekjuritizovanih izloženosti, uz primenu odredaba iz tačke 244. te odluke, koristi način obračuna propisan u ovom odeljku umesto u odeljku 1. ove glave. Ako banka izračunava iznos rizikom ponderisanih izloženosti i očekivani gubitak primenom IRB pristupa u skladu sa odeljkom 2. ove glave, iznos očekivanog gubitka po osnovu tih izloženosti je nula.
Način obračuna iz stava 1. ove tačke primenjuje se na ceo skup izloženosti uključenih u sekjuritizaciju. Uz primenu odredaba iz tačke 244. ove odluke, banka inicijator je dužna da izračunava iznos rizikom ponderisanih izloženosti za sve tranše u sekjuritizaciji u skladu sa pododeljkom 4. ovog odeljka, uključujući i one za koje banka koristi tehnike ublažavanja kreditnog rizika u skladu s tačkom 217. ove odluke, u kom slučaju se rizikom ponderisana izloženost može prilagoditi u skladu sa odeljkom 3. ove glave ako su ispunjeni uslovi iz tog odeljka.
244. Za potrebe obračuna rizikom ponderisanih izloženosti iz tačke 243. ove odluke, ako postoji ročna neusklađenost između kreditne zaštite kojom je izvršeno grupisanje u tranše i kojom je postignut prenos rizika, s jedne strane i sekjuritizovanih izloženosti s druge strane, banka inicijator je dužna da izračunava iznos rizikom ponderisanih izloženosti na sledeći način:
1) pod ročnošću sekjuritizovanih izloženosti smatra se najduži rok dospeća bilo koje od ovih izloženosti, pri čemu taj rok nije duži od 5 godina a ročnost kreditne zaštite se utvrđuje u skladu sa odeljkom 3. ove glave;
2) banka inicijator ne uzima u obzir ročnu neusklađenost prilikom izračunavanja iznosa rizikom ponderisanih izloženosti za tranše na koje se u skladu sa ovim odeljkom primenjuje ponder rizika 1.250% dok je za sve ostale tranše banka inicijator je dužna da primenjuje tretman definisan u slučaju ročne neusklađenosti u odeljku 3. ove glave u skladu sa sledećom formulom:
RW* = [RWSP ∙ (t-t*)/(T-t*)] + [RWAss ∙ (T-t)/(T-t*)]
pri čemu je:
RW* = iznos rizikom ponderisanih izloženosti za potrebe obračuna kapitalnih zahteva za kreditni rizik i rizik smanjenja vrednosti potraživanja iz tačke 3. stav 2. alineje prva ove odluke;
RWSP = iznos rizikom ponderisanih izloženosti izračunat u skladu s tačkom 243. ove odluke, pod pretpostavkom da ne postoji ročna neusklađenost;
RWAss = iznos rizikom ponderisanih izloženosti koji bi bio izračunat pod pretpostavkom da odnosne izloženosti nisu sekjuritizovane;
T = rok dospeća odnosnih izloženosti izražen u godinama;
t = rok dospeća kreditne zaštite izražen u godinama;
t* = 0,25.
RIZIK DRUGE UGOVORNE STRANE
245. Banka je dužna da izračunava iznos izloženosti po osnovu finansijskih derivata koji su utvrđeni u Prilogu 1 ove odluke, u skladu sa odredbama ovog odeljka.
Banka može iznos izloženosti za repo transakcije, transakcije davanja ili uzimanja u zajam hartija od vrednosti ili robe, transakcije kreditiranja trgovine hartijama od vrednosti i transakcije s dugim rokom izmirenja, da izračunava u skladu sa ovim odeljkom umesto u skladu sa odeljkom 3. ove glave.
1. Metodi za izračunavanje iznosa izloženosti
246. Za računanje iznosa izloženosti po osnovu finansijskih derivata utvrđenih u Prilogu 1 ove odluke, banka je dužna da koristi jedan od metoda iz pododeljaka 2. do 5. ovog odeljka, na način propisan ovim pododeljkom.
Izuzetno od stava 1. ove tačke, banka ne može metod originalne izloženosti iz pododeljka 3. ovog odeljka koristiti:
1) ako ne ispunjava uslove iz tačke 310. st. 4. do 7. ove odluke;
2) ako računa iznos izloženosti po osnovu finansijskih derivata utvrđenih u tački 3. Priloga 1 ove odluke.
Kombinovana primena metoda iz pododeljaka 2. do 5. ovog odeljka dozvoljena je samo na nivou bankarske grupe za istu vrstu transakcija, odnosno nije dozvoljena na nivou pojedinačne banke, osim za transakcije iz tačke 261. stav 1. ove odluke, kad banka može koristiti kombinaciju metoda tekuće izloženosti i standardizovanog metoda.
Standardizovani metod iz pododeljka 4. ovog odeljka banka može da primenjuje samo za izračunavanje iznosa izloženosti po osnovu OTC derivata i transakcija s dugim rokom izmirenja.
Banka može, uz prethodnu saglasnost Narodne banke Srbije, da izračunava iznos izloženosti po osnovu finansijskih derivata utvrđenih u Prilogu 1, repo transakcija, transakcija davanja ili uzimanja u zajam hartija od vrednosti ili robe, transakcija kreditiranja trgovine hartijama od vrednosti i transakcije s dugim rokom izmirenja, primenom metoda internih modela u skladu sa pododeljkom 5. ovog odeljka.
Za izračunavanje izloženosti po osnovu transakcija sa dugim rokom izmirenja banka može da primenjuje bilo koji od metoda iz pododeljaka 2. do 5. ovog odeljka, bez obzira za koji metod se opredelila u slučaju OTC derivata, repo transakcija, transakcija davanja ili uzimanja u zajam hartija od vrednosti ili robe i transakcija kreditiranja trgovine hartijama od vrednosti. Banka koja primenjuje IRB pristup može, pri izračunavanju rizikom ponderisanih izloženosti po osnovu transakcija sa dugim rokom izmirenja, bez obzira na njihovu značajnost, da koristi pondere rizika određene u skladu sa odredbama odeljka 1. ove glave pod uslovom da tako određene pondere primenjuje na trajnoj osnovi na sve izloženosti po osnovu ovih transakcija.
247. Ako pribavi kreditni derivat kao internu zaštitu za izloženosti kreditnom riziku ili riziku druge ugovorne strane po osnovu pozicija iz bankarske knjige, banka je dužna da iznos rizikom ponderisane izloženosti za izloženost na koju se ova zaštita primenjuje izračunava u skladu s tač. 189. do 192. ove odluke, odnosno ako ima saglasnost za primenu IRB pristupa u skladu s tačkom 98. ili tačkom 118. stav 3. te odluke. Iznos izloženosti riziku druge ugovorne strane po osnovu tog kreditnog derivata jednak je nuli, osim kada banka primenjuje pristup iz tačke 286. stav 2. odredba pod 8) alineja druga ove odluke.
Izuzetno od stava 1. ove tačke, banka može da odluči da u izračunavanje kapitalnog zahteva za rizik druge ugovorne strane dosledno uključuje sve kreditne derivate koji se ne vode u knjizi trgovanja, a koji su pribavljeni kao interna zaštita za izloženosti kreditnom riziku ili riziku druge ugovorne strane po osnovu pozicija iz bankarske knjige, pri čemu ovi derivati ispunjavaju uslove iz odeljka 3. ove glave.
Iznos izloženosti riziku druge ugovorne strane po osnovu prodatog CDS derivata iz bankarske knjige jednak je nuli ako taj derivat ispunjava uslove iz odeljka 3. ove glave i ako se za njega računa kapitalni zahtev za kreditni rizik u ukupnom hipotetičkom iznosu odnosne imovine.
248. Izloženost prema drugoj ugovornoj strani predstavlja zbir izloženosti prema toj strani izračunatih po svakom skupu za netiranje za tu stranu.
Za svaku drugu ugovornu stranu, iznos izloženosti za određeni skup za netiranje OTC derivata iz Priloga 1 ove odluke izračunat u skladu sa ovim odeljkom je nula ili zbir iznosa izloženosti svih skupova za netiranje ove strane umanjen za zbir CVA te strane koji je banka priznala kao obezvređenje, zavisno od toga koji iznos je veći. Banka izračunava CVA ne uzimajući u obzir netiranja sa dugovnim stranama CVA koje se odnose na kreditni rizik banke, a isključene su iz kapitala u skladu s tačkom 12. stav 1. odredba pod 3) ove odluke.
249. Ako primenjuje metode iz pododeljaka 2. ili 3. ovog odeljka, banka je dužna da uspostavi metodologiju za izračunavanje hipotetičkih iznosa za različite vrste proizvoda i da obezbedi da tako izračunati iznosi odražavaju odgovarajuću meru odnosnog rizika sadržanog u ugovoru. Ako su ugovoreni višestruki novčani tokovi, banka je dužna da prilagodi hipotetički iznos uzimajući u obzir efekte ovih tokova na strukturu rizičnosti ugovora.
U slučaju transakcija sa specifičnim korelacijskim rizikom, banka primenjuje odredbe tačke 278. ove odluke.
250. Ako primenjuje metod tekuće izloženosti, banka je dužna da iznos izloženosti izračunava kao zbir:
1) tekuće izloženosti po osnovu ugovora čija je vrednost pozitivna, koja predstavlja tekuću tržišnu vrednost tog ugovora (za ugovore čija je vrednost negativna, tekuća izloženost jednaka je nuli) i
2) potencijalne izloženosti (PFE) u periodu preostalom do datuma dospeća ugovorne obaveze, koja se dobija kad se hipotetička vrednost glavnice svakog ugovora na dan izračunavanja pomnoži odgovarajućim faktorom konverzije iz sledeće tabele (Tabela 21):
Tabela 21.
Preostali rok dospeća |
Ugovori koji se odnose na kamatne stope |
Ugovori koji se odnose na valute i zlato |
Ugovori koji se odnose na vlasničke hartije od vrednosti |
Ugovori koji se odnose na plemenite metale, osim zlata |
Ugovori koji se odnose na robu koja nije plemeniti metal |
≤ 1 godine |
0% |
1% |
6% |
7% |
10% |
>1 ≤ 5 godina |
0,5% |
5% |
8% |
7% |
12% |
> 5 godina |
1,5% |
7,5% |
10% |
8% |
15% |
Banka je dužna da za ugovore koji se ne mogu rasporediti ni u jednu od pet kategorija iz Tabele 21. koristi faktore konverzije koji se primenjuju za kategorije ugovora koji se odnose na robu koja nije plemeniti metal, prema njihovom preostalom roku dospeća.
U slučaju ugovora s višestrukim novčanim tokovima, banka je dužna da faktore konverzije iz Tabele 21. pomnoži brojem preostalih plaćanja, u skladu sa odredbama ugovora.
Ako je ugovoreno izmirenje preostale izloženosti na unapred utvrđene datume plaćanja i elementi ugovora se ponovo utvrđuju na te datume (tržišna vrednost ugovora na ove datume jednaka je nuli) - banka kao preostali rok dospeća koristi rok do prvog sledećeg datuma plaćanja, odnosno utvrđivanja elemenata ugovora. Kod ugovora koji se odnose na kamatne stope s preostalim rokom dospeća dužim od godinu dana, banka je dužna da primenjuje faktor konverzije koji nije manji od 0,5% bez obzira na preostali period do ponovnog utvrđivanja elemenata ugovora.
Za ugovore koji se odnose na robu koja nije plemeniti metal iz Priloga 1 tačka 3. ove odluke banka može da koristi faktore konverzije iz sledeće tabele (Tabela 22) ako na ove ugovore primenjuje pristup proširene lestvice dospeća iz tačke 381. ove odluke.
Tabela 22.
Preostali rok dospeća |
Ugovori koji se odnose na plemenite metale, osim zlata |
Ugovori koji se odnose osnovne na metale |
Ugovori koji se odnose na poljoprivredne proizvode |
Ugovori koji se odnose na ostalu robu, uključujući energente |
≤ 1 godine |
2% |
2,5% |
3% |
4% |
>1 ≤ 5 godina |
5% |
4% |
5% |
6% |
> 5 godina |
7,5% |
8% |
9% |
10% |
3. Metod originalne izloženosti
251. Ako primenjuje metod originalne izloženosti, banka je dužna da iznos izloženosti za svaki pojedinačni ugovor izračunava kao proizvod hipotetičkog iznosa glavnice tog ugovora i odgovarajućeg procenta iz sledeće tabele (Tabela 23):
Tabela 23.
Ugovoreni rok dospeća |
Ugovori koji se odnose na kamatne stope |
Ugovori koji se odnose na valute i zlato |
≤ 1 godine |
0,5% |
2,0% |
>1 ≤ 2 godine |
1,0% |
5,0% |
dodatak za svaku sledeću godinu |
1,0% |
3,0% |
Za izračunavanje iznosa izloženosti za ugovore koji se odnose na valute, banka može da primenjuje preostali ili ugovoreni rok dospeća.
a) Izračunavanje iznosa izloženosti
252. Ako primenjuje standardizovani metod, banka je dužna da iznos izloženosti utvrđuje posebno za svaki skup za netiranje, u skladu sa sledećom formulom:
iznos izloženosti = bxmax |
|
gde je:
CMV= tekuća tržišna vrednost portfolija transakcija u okviru jednog skupa za netiranje s drugom ugovornom stranom (u bruto iznosu, bez korišćenja sredstva obezbeđenja), pri čemu je:
|
gde je:
CMVi= tekuća tržišna vrednost transakcije i;
CMC = tekuća tržišna vrednost sredstva obezbeđenja dodeljenog skupu za netiranje:
|
gde je:
CMCl =tekuća tržišna vrednost sredstva obezbeđenja l;
i = indeks transakcije i;
l = indeks sredstva obezbeđenja l;
j = indeks pojedinačnog skupa zaštite (skupovi zaštite odgovaraju faktorima rizika s kojima se može netirati rizična pozicija sa suprotnim predznakom radi utvrđivanja neto rizične pozicije na kojoj se zasniva izračunavanje iznosa izloženosti);
RPTij = rizična pozicija koja proizlazi iz transakcije i radi izračunavanja neto rizične pozicije skupa zaštite j;
RPClj = rizična pozicija koja proizlazi iz sredstva obezbeđenja l radi izračunavanja neto rizične pozicije skupa zaštite j;
CCRMj = multiplikator rizika druge ugovorne strane za skup zaštite j, utvrđen u tabeli 25. ove odluke;
β = 1,4.
Radi izračunavanja iznosa izloženosti primenom standardizovanog metoda, sredstvo obezbeđenja koje je primljeno od druge ugovorne strane ima pozitivan predznak, a sredstvo obezbeđenja koje je dato toj strani - negativan. Sredstvo obezbeđenja smatra se podobnim samo ako ispunjava uslove propisane tač. 139. do 142. i tačkom 286. stav 2. odredba pod 4) ove odluke. Kamatni rizik koji proizlazi iz novčane strane transakcije s preostalim rokom dospeća kraćim od godinu dana može se isključiti iz obračuna. Banka može transakcije s dve novčane strane koje su izražene u istoj valuti da tretira kao jedinstvenu transakciju i da na nju primenjuje isti tretman kao i na pojedinačne novčane transakcije.
b) Transakcije sa linearnim profilom rizika
253. Banka je dužna da transakcije koje imaju linearni profil rizika uključi u rizične pozicije na sledeći način:
1) transakcije čiji je odnosni instrument vlasnička hartija od vrednosti (uključujući i berzanski indeks), zlato, drugi plemeniti metal ili druga roba, uključuju se u rizičnu poziciju prema odnosnom instrumentu i u rizičnu poziciju za kamatni rizik novčane strane transakcije;
2) transakcije čiji je odnosni instrument dužnička hartija od vrednosti, uključuju se u rizičnu poziciju prema odnosnom instrumentu i u rizičnu poziciju za kamatni rizik novčane strane transakcije;
3) transakcije u čijoj je osnovi novčana razmena između dve ugovorne strane (uključujući i valutne forvard ugovore) banka je dužna da tretira kao rizičnu poziciju za kamatni rizik svaku novčanu stranu transakcije;
4) ako je novčana strana transakcija iz odredaba pod 1), 2) ili 3) ovog stava izražena u stranoj valuti, uključuje se i u rizičnu poziciju za devizni rizik u toj valuti.
Vrednost rizične pozicije jednaka je efektivnoj hipotetičkoj vrednosti, koja predstavlja proizvod tržišne vrednosti i broja odnosnih finansijskih instrumenta (odnosno količine ako je odnosni instrument roba), izraženoj u domaćoj valuti. Vrednost ove rizične pozicije ne uključuje dužničke hartije od vrednosti.
Vrednost rizične pozicije za dužničke hartije od vrednosti i novčane strane transakcija izračunava se kao proizvod efektivne hipotetičke vrednosti preostalog bruto iznosa duga i modifikovanog trajanja dužničkog instrumenta ili novčane strane transakcije u dinarima.
Vrednost rizične pozicije CDS derivata jednaka je proizvodu hipotetičke vrednosti referentne dužničke hartije od vrednosti i preostalog roka dospeća ovog derivata.
v) Transakcije sa nelinearnim profilom rizika
254. Banka je dužna da utvrđuje vrednost rizične pozicije za transakcije u obliku OTC derivata, uključujući opcije i svop opcije, s nelinearnim profilom rizika u skladu sa sledećim:
1) ako odnosni instrument nije dužnička hartija od vrednosti ili novčana strana transakcije - kao delta ekvivalent hipotetičke vrednosti odnosnog finansijskog instrumenta;
2) ako je odnosni instrument dužnička hartija od vrednosti ili novčana strana transakcije - kao proizvod delta ekvivalenta efektivne hipotetičke vrednosti ovog derivata ili novčane strane transakcije i modifikovanog trajanja dužničke hartije od vrednosti, odnosno novčane strane transakcije.
g) Tretman sredstava obezbeđenja
255. Pri izračunavanju vrednosti rizične pozicije, sredstvo obezbeđenja koje je banka primila od druge ugovorne strane smatra se dospelim potraživanjem (duga pozicija) nastalim po osnovu ugovora o finansijskom derivatu, dok se sredstvo obezbeđenja koje je banka dala drugoj ugovornoj strani smatra dospelom obavezom (kratka pozicija) prema drugoj ugovornoj strani nastalom po osnovu tog ugovora.
d) Izračunavanje vrednosti rizične pozicije
256. Banka je dužna da za sve finansijske instrumente utvrđuje vrednost i predznak rizične pozicije na sledeći način:
1) za sve finansijske instrumente, osim dužničkih hartija od vrednosti, vrednost rizične pozicije jednaka je njihovoj efektivnoj hipotetičkoj vrednosti ili delta ekvivalentu hipotetičke vrednosti:
vrednost rizične pozicije = |
|
gde je:
pref = cena odnosne imovine izražena u valuti te imovine (referentna valuta);
V = vrednost finansijskog instrumenta (u slučaju opcije - to je cena opcije, a u slučaju transakcije s linearnim profilom rizika - to je vrednost odnosnog instrumenta);
p = cena odnosne imovine izražena u istoj valuti kao V;
2) za finansijske instrumente koji u osnovi imaju dužničku hartiju od vrednosti i novčane strane svake transakcije - vrednost rizične pozicije jednaka je proizvodu efektivne hipotetičke vrednosti i modifikovanog trajanja ili proizvodu delta ekvivalenta hipotetičke vrednosti i modifikovanog trajanja:

gde je:
V = vrednost finansijskog instrumenta (u slučaju opcije - to je cena opcije, a u slučaju transakcije s linearnim profilom rizika - to je vrednost odnosnog instrumenta ili novčane strane transakcije);
r = kamatna stopa.
Ako je vrednost V izražena u valuti različitoj od referentne valute, banka je dužna da vrednost finansijskog derivata izrazi u referentnoj valuti primenom odgovarajućeg deviznog kursa.
257. Banka je dužna da rizične pozicije rasporedi u odgovarajuće skupove za zaštitu i da za svaki skup računa neto rizičnu poziciju. Neto rizična pozicija jednaka je apsolutnoj vrednosti zbira svih pojedinačnih rizičnih pozicija (nastalih po osnovu transakcija i sredstava obezbeđenja u pojedinačnom skupu za netiranje) u svakom skupu za zaštitu i izračunava se na sledeći način:
neto rizična pozicija = |
|
đ) Rizične pozicije za kamatni rizik
258. Rizične pozicije koje su nastale po osnovu novčanih depozita primljenih od druge ugovorne strane kao sredstvo obezbeđenja, po osnovu novčanih strana transakcije ili odnosnih dužničkih hartija od vrednosti kojima se, u skladu s tabelom 30. iz tačke 335. ove odluke, dodeljuje ponder rizika 1,60% ili manji - banka je dužna da rasporedi u jedan od skupova za zaštitu za svaku valutu u skladu sa sledećom tabelom (Tabela 24):
Tabela 24.
Referentna kamatna stopa/ |
Referentna kamatna stopa |
Ostale referentne |
≤ 1 godine |
Skup za zaštitu (≤1,D) |
Skup za zaštitu (≤1,O) |
>1 ≤ 5 godina |
Skup za zaštitu (≤1≤5,D) |
Skup za zaštitu (>1≤5,O) |
> 5 godina |
Skup za zaštitu (>5, D) |
Skup za zaštitu (>5, O) |
U slučaju rizičnih pozicija za kamatni rizik po osnovu odnosnih dužničkih instrumenata ili novčane strane transakcije čija je kamatna stopa određena na osnovu preovlađujuće tržišne referentne kamatne stope, preostala ročnost obuhvata period do sledećeg utvrđivanja kamatne stope, a u svim ostalim slučajevima to je preostali period do dospeća odnosnog dužničkog instrumenta ili, u slučaju novčane strane transakcije, preostali period do dospeća transakcije.
259. Banka je dužna da za svakog izdavaoca odnosnog dužničkog instrumenta CDS derivata uspostavi poseban skup za zaštitu. CDS derivat sa n-tim neizmirenjem obaveze u skupu izloženosti tretira se na sledeći način:
- vrednost rizične pozicije u odnosnom dužničkom instrumentu iz skupa odnosne imovine CDS derivata sa n-tim neizmirenjem obaveze, jednaka je proizvodu efektivne hipotetičke vrednosti odnosnog dužničkog instrumenta i modifikovanog trajanja CDS derivata, u skladu sa promenom kreditne marže odnosnog dužničkog instrumenta;
- za svaki referentni dužnički instrument iz odnosnog skupa imovine CDS derivata uspostavljen je poseban skup za zaštitu, pri čemu se rizične pozicije koje proizilaze iz različitih CDS derivata sa n-tim neizmirenjem obaveze ne uključuju u isti skup za zaštitu;
- multiplikator rizika druge ugovorne strane (CCRM) iznosi 0,3% ako je referentnom dužničkom instrumentu dodeljen kreditni rejting podobne agencije za rejting koji odgovara nivou kreditnog kvaliteta od 1 do 3, odnosno 0,6% za ostale dužničke instrumente.
Banka je dužna da rizične pozicije za kamatni rizik po osnovu odnosnih novčanih depozita deponovanih kao sredstvo obezbeđenja kod druge ugovorne strane koja nema neizmirenih dužničkih obaveza sa niskom specifičnim cenovnim rizikom ili po osnovu dužničkih instrumenata kojima se, u skladu s tabelom 30. iz tačke 335. ove odluke, dodeljuje ponder rizika veći od 1,60% - rasporedi u posebne skupove za zaštitu za svakog njihovog izdavaoca.
Banka je dužna da rizične pozicije nastale po osnovu novčane strane transakcije koja ima slične karakteristike kao odnosna dužnička hartija od vrednosti - rasporedi u posebne skupove za zaštitu za svakog njihovog izdavaoca.
Banka može rizične pozicije po osnovu dužničkih hartija od vrednosti iz st. 1, 2. i 3. ove tačke da rasporedi u isti skup za zaštitu.
Banka je dužna da rizične pozicije po osnovu odnosnih finansijskih instrumenata, osim dužničkih hartija od vrednosti, rasporedi u isti pojedinačni skup za zaštitu samo ako su ovi instrumenti isti ili slični, a u ostalim slučajevima dužna je da ih rasporedi u posebne skupove za zaštitu. Sličnost finansijskih instrumenata utvrđuje se na sledeći način:
1) za vlasničke hartije od vrednosti - ako ih je emitovao isti izdavalac (indeks vlasničkih hartija od vrednosti tretira se kao poseban izdavalac);
2) za plemenite metale - ako se odnose na isti metal (indeks plemenitih metala tretira se kao poseban plemeniti metal);
3) za električnu energiju - ako se ugovorene isporuke odnose na iste vremenske intervale najviše ili najmanje upotrebe u okviru bilo kog perioda od 24 sata;
4) za robu - ako se odnosi na istu robu (robni indeks tretira se kao posebna roba).
260. Multiplikatori rizika druge ugovorne strane (CCRM) za različite kategorije skupova za zaštitu utvrđeni su u Tabeli 25:
Tabela 25.
|
Kategorije skupova za zaštitu |
CCRM |
1. |
Kamatne stope |
0,2% |
2. |
Kamatne stope za rizične pozicije po osnovu odnosne dužničke hartije od vrednosti za CDS derivat, kojima se, u skladu s Tabelom 30, dodeljuje ponder rizika 1,60% ili manji |
0,3% |
3. |
Kamatne stope za rizične pozicije po osnovu dužničke hartije od vrednosti ili referentnog dužničkog instrumenta kojima se, u skladu s Tabelom 30 dodeljuje ponder rizika veći od 1,60% |
0,6% |
4. |
Devizni kurs |
2,5% |
5. |
Električna energija |
4% |
6. |
Zlato |
5% |
7. |
Vlasnička ulaganja |
7% |
8. |
Plemeniti metali (osim zlata) |
8,5% |
9. |
Ostala roba (osim plemenitih metala i električne energije) |
10% |
10. |
Odnosni instrumenti za OTC derivate koji se ne mogu rasporediti ni u jednu od navedenih kategorija |
10% |
Banka je dužna da odnosne instrumente za OTC derivate iz kategorije 10. u Tabeli 25. rasporedi u pojedinačne skupove za zaštitu za svaku kategoriju odnosnog instrumenta.
261. U slučaju transakcija s nelinearnim profilom rizika, novčanih strana transakcije ili transakcija s dužničkim hartijama od vrednosti kao odnosnim instrumentom, za koje banka ne može da utvrdi delta ekvivalent hipotetičke vrednosti ili modifikovano trajanje primenom internog modela za tržišne rizike za čije korišćenje ima saglasnost iz tačke 310. ove odluke - Narodna banka Srbije će utvrditi procenu iznosa rizične pozicije i CCRM, odnosno naložiti banci primenu metoda tekuće izloženosti, bez mogućnosti netiranja (banka je dužna da iznos izloženosti računa kao da svaka pojedinačna transakcija čini poseban skup za netiranje).
Banka je dužna da uspostavi procedure kojima pre nego što se određena transakcija uključi u skup zaštite proverava da li je ta transakcija obuhvaćena ugovorom o netiranju koji ispunjava uslove utvrđene u pododeljku 6. ovog odeljka.
Ako banka koristi sredstvo obezbeđenja radi ublažavanja rizika druge ugovorne strane, dužna je da uspostavi odgovarajuće procedure kojima se, pre uključivanja efekata zaštite u obračun, potvrđuje da sredstvo obezbeđenja ispunjava uslove utvrđene odredbama odeljka 3. ove glave.
a) Saglasnost Narodne banke Srbije za primenu metoda internog modela
262. Banka može koristiti metod internog modela za izračunavanje iznosa izloženosti (EPE model) po osnovu finansijskih derivata iz Priloga 1 ove odluke, repo transakcija, transakcija davanja ili uzimanja u zajam hartija od vrednosti ili robe, transakcija kreditiranja trgovine hartijama od vrednosti i transakcija s dugim rokom izmirenja, samo uz prethodnu saglasnost Narodne banke Srbije.
Banka nije dužna da primenjuje ovaj metod na izloženosti koje nisu materijalno značajne po veličini i nivou rizika. Na te izloženosti banka primenjuje neki od metoda iz ovog odeljka, uz ispunjenost uslova propisanih za primenu tog metoda.
Banka može, uz saglasnost iz stava 1. ove tačke, da postupno uvodi metod internog modela po različitim vrstama transakcija pri čemu, radi izračunavanja iznosa izloženosti, može primenjivati metod tekuće izloženosti ili standardizovani metod za određene vrste transakcija u skladu s tom saglasnošću.
Ako nije dobila saglasnost iz stava 1. ove tačke za primenu metoda internog modela za izračunavanje iznosa izloženosti po osnovu OTC derivata i transakcija s dugim rokom izmirenja, banka je dužna da na te izloženosti primenjuje metod tekuće izloženosti ili standardizovani metod. Kombinovana primena ovih metoda je dozvoljena samo na nivou bankarske grupe, odnosno nije dozvoljena na nivou pojedinačne banke, osim za transakcije iz tačke 261. stav 1. ove odluke.
263. Narodna banka Srbije može banci dati saglasnost za primenu metoda internog modela za izračunavanje iznosa izloženosti iz tačke 262. stav 1. ove odluke ako su ispunjeni uslovi iz ovog pododeljka.
Pri podnošenju zahteva za dobijanje saglasnosti iz stava 1. ove tačke, banka je dužna da Narodnoj banci Srbije dostavi:
- spisak vrsta transakcija za koje banka namerava da koristi metod internog modela, plan postupnog uvođenja tog metoda (ako banka namerava postupno uvođenje) i opšte podatke o modelu;
- dokumentaciju o ispunjenosti uslova iz ovog pododeljka.
Pri davanju saglasnosti iz stava 1. ove tačke, Narodna banka Srbije utvrđuje i rok za uvođenje metoda internog modela, odnosno rokove za postupno uvođenje tog metoda. Ako banka nije u mogućnosti da uvede ovaj metod u utvrđenim rokovima, dužna je da bez odlaganja podnese zahtev za njihovo produženje.
Nakon dobijene saglasnosti iz stava 1. ove tačke, banka može da podnese zahtev za dobijanje saglasnosti za prelazak na metod tekuće izloženosti ili standardizovani metod pod uslovom da je uz taj zahtev dostavila i odgovarajuću dokumentaciju kojom se dokazuje da postoje opravdani razlozi za korišćenje ovih metoda. Nakon dobijanja saglasnosti za prelazak na drugi metod, prethodno dobijena saglasnost za primenu metoda internog modela prestaje da važi.
Ako nakon dobijene saglasnosti iz stava 1. ove tačke, banka više ne ispunjava uslove iz tog stava, dužna je da o tome obavesti Narodnu banku Srbije bez odlaganja i dostavi joj plan o usklađivanju sa ovim uslovima u odgovarajućem roku ili dokaz da posledice neispunjavanja tih uslova nisu materijalno značajne. Ako je banka dostavila plan iz ovog stava, dužna je da Narodnu banku Srbije bez odlaganja obavesti o tome da se uskladila sa uslovima iz tog stava u roku iz ovog plana.
264. Narodna banka Srbije može ukinuti saglasnost iz tačke 263. stav 1. ove odluke ako utvrdi da banka ne ispunjava uslove iz ovog pododeljka, a posledice tog neispunjavanja su materijalno značajne, ako banka nije dostavila plan iz stava 5. te tačke, ako je dostavila neadekvatan plan ili ako ne postupa po dostavljenom planu.
Ako je Narodna banka Srbije ukinula saglasnost iz stava 1. ove tačke, banka je dužna da za izračunavanje izloženosti riziku druge ugovorne strane primenjuje metod tekuće izloženosti ili standardizovani metod.
b) Uslovi za izračunavanje iznosa izloženosti
265. Banka je dužna da izračunava iznos izloženosti za svaki pojedinačni skup za netiranje. Internim modelom koji banka koristi za izračunavanje iznosa izloženosti obezbeđuje se:
1) precizno definisanje raspodele verovatnoće promena tržišnih vrednosti skupa za netiranje koje su posledica promena tržišnih faktora (npr. kamatne stope, devizni kurs);
2) izračunavanje iznosa izloženosti za skup za netiranje na svaki predviđeni datum u budućnosti na osnovu promena tržišnih faktora.
Za transakcije pokrivene marginom, interni model za sredstva obezbeđenja mora da ispunjava kvantitativne i kvalitativne uslove i uslove koji se odnose na podatke propisane ovim pododeljkom. Banka može u svoje procene raspodele verovatnoće promena tržišnih vrednosti skupa za netiranje uključiti podobna finansijska sredstva obezbeđenja u skladu s tač. 139. do 142. i tačkom 286. stav 2. odredbe pod 3) i 4) ove odluke.
266. Kapitalni zahtev za rizik druge ugovorne strane za izloženosti na koje banka primenjuje metod internih modela jednak je jednom od dva sledeća iznosa, zavisno od toga koji iznos je veći:
1) kapitalnog zahteva za ove izloženosti izračunatog na osnovu efektivne EPE vrednosti dobijene primenom postojećih tržišnih podataka ili
2) kapitalnog zahteva za te izloženosti izračunatog na osnovu efektivne EPE vrednosti dobijene primenom dosledno utvrđenih uslova stresa za sve izloženosti riziku druge ugovorne strane na koje se primenjuje metod internih modela.
267. Iznos izloženosti, osim za izloženosti specifičnom korelacijskom riziku na koje se primenjuje tačka 278. st. 3. i 4. ove odluke, izračunava se kao proizvod α parametra i efektivne EPE vrednosti u skladu sa sledećom formulom:
iznos izloženosti = α x efektivna EPE,
gde je α = 1,4.
Narodna banka Srbije može u postupku kontrole boniteta i zakonitosti poslovanja banke odrediti toj banci primenu parametra α većeg od 1,4.
Efektivna EPE vrednost izračunava se procenom očekivane izloženosti (EEt) koja predstavlja prosečnu izloženost na budući datum t, pri čemu je prosečna izloženost izračunata na osnovu mogućih budućih vrednosti relevantnih faktora tržišnog rizika. Internim modelom procenjuje se EE vrednost za niz budućih datuma (t1, t2, t3 itd).
Efektivna EE vrednost na određeni dan izračunava se u skladu sa sledećom formulom:
efektivna EEtk = max (efektivna EEtk-1; EEtk),
pri čemu se t0 označava kao tekući datum, a efektivna EEt0 jednaka je tekućoj izloženosti.
Efektivna EPE vrednost jednaka je proseku efektivnih EE vrednosti izračunatih za narednu godinu. Ako sve transakcije u skupu za netiranje dospevaju u roku kraćem od godinu dana, EPE vrednost je prosek svih EE vrednosti za period jednak roku dospeća transakcije iz skupa za netiranje koja ima najduži preostali rok dospeća. Efektivna EPE vrednost jednaka je ponderisanom proseku efektivnih EE vrednosti:
efektivna EPE= |
min (1 godina; rok dospeća) |
efektivna EETk x Dtk, |
S |
pri čemu ponder Δtk = tk - tk-1 predstavlja period između budućih datuma na koje se izračunava izloženost, a primenjuje se kada periodi između datuma na koje se računa izloženost nisu jednaki.
Banka je dužna da očekivanu izloženost (EE) ili vrhunac izloženosti izračunava na osnovu raspodele izloženosti koja sadrži moguća odstupanja od normalne raspodele.
Banka može vrednost izloženosti da izračunava na oprezniji način tako da je rezultat veći od iznosa izloženosti izračunatog u skladu sa stavom 1. ove tačke.
268. Izuzetno od tačke 267. stav 1. ove odluke, Narodna banka Srbije može banci dati saglasnost za korišćenje sopstvenih procena parametra α s donjim limitom od 1,2, pri čemu je ovaj parametar jednak odnosu internog kapitala dobijenog sveobuhvatnom simulacijom izloženosti riziku druge ugovorne strane i internog kapitala zasnovanog na EPE vrednosti. Za izračunavanje internog kapitala zasnovanog na EPE vrednosti - kao EPE vrednost koristi se utvrđeni nenaplaćeni iznos od druge ugovorne strane.
Banka je dužna da obezbedi da se elementi parametra α računaju dosledno u skladu sa metodologijom za modeliranje, karakteristikama ovog parametra i strukturom portfolija.
Pristup koji banka koristi za sopstvene procene parametra α mora biti zasnovan na pristupu koji se koristi za procenu internog kapitala, dokumentovan na odgovarajući način i predmet nezavisne provere i procene. Banka je dužna da vrši proveru ovih procena najmanje jednom u tri meseca, odnosno češće ako se struktura portfolija menja u toku vremena.
Banka je dužna da procenjuje rizik modela kome je izložena, naročito po osnovu pogrešnih pretpostavki modela korišćenog za simulaciju izloženosti riziku druge ugovorne strane.
Pri podnošenju zahteva za dobijanje ove saglasnosti banka je dužna da dostavi dokumentaciju kojom dokazuje da interni kapital dobijen simulacijom iz stava 4. ove tačke obuhvata materijalno značajne izvore stohastičkih zavisnosti raspodele tržišnih vrednosti transakcija ili portfolija transakcija između svih ugovornih strana. Sopstvene procene parametra α moraju da uzimaju u obzir diversifikovanost portfolija.
Narodna banka Srbije može ukinuti saglasnost iz stava 1. ove tačke ako banka više ne ispunjava uslove iz st. 1. do 4. te tačke.
269. Banka je dužna da korelacije i volatilnost faktora tržišnog rizika koje koristi u simulacijama zajedničkim za tržišni i kreditni rizik prilagodi na osnovu faktora kreditnog rizika, kako bi odražavali potencijalna povećanja u uslovima recesije u ekonomiji.
v) Uslovi za izračunavanje iznosa izloženosti skupova za zaštitu po osnovu transakcija pokrivenih marginom
270. Ako je skup za netiranje predmet sporazuma o margini i dnevnog vrednovanja po tekućoj tržišnoj vrednosti, banka može da koristi jednu od sledećih vrednosti za EPE vrednost:
1) efektivnu EPE vrednost, bez uzimanja u obzir sredstava obezbeđenja koje se drži ili je dato po osnovu sporazuma o margini, nezavisno od dnevnog vrednovanja i utvrđivanja pokrića marginom ili od tekuće izloženosti;
2) dodatak koji odražava potencijalno povećanje izloženosti u toku perioda rizika margine uvećan za veći od sledeća dva iznosa:
- tekuće izloženosti, uključujući sredstva obezbeđenja koja se drže ili su data, osim aktiviranih ili spornih sredstava obezbeđenja,
- najveće neto izloženosti, uključujući sredstvo obezbeđenja po osnovu sporazuma o margini koja ne dovodi do plaćanja po osnovu sredstva obezbeđenja, pri čemu ovaj iznos uzima u obzir sve primenljive pragove, najniži iznos margine koji će se razmeniti između ugovornih strana i inicijalne margine po osnovu sporazuma o margini;
3) EE vrednost, izračunatu primenom internog EPE modela koju banka upotrebljava direktno u formuli iz tačke 267. stav 4. ove odluke, ako banka za to ima saglasnost Narodne banke Srbije.
Narodna banka Srbije daje saglasnost iz stava 1. odredba pod 3) ove tačke, ako se ovim modelom pri proceni EE vrednosti uzimaju u obzir efekti margine.
Banka izračunava dodatak iz stava 1. odredba pod 2) ove tačke kao očekivanu pozitivnu promenu tekuće tržišne vrednosti transakcije utvrđenu na dnevnom nivou tokom perioda rizika margine. Promene vrednosti sredstava obezbeđenja banka je dužna da računa korišćenjem propisanih faktora volatilnosti u skladu sa odeljkom 3. pododeljak 3. ove glave ili sopstvenih procena faktora volatilnosti za složeni metod, pri čemu se polazi od pretpostavke da tokom perioda rizika margine nema plaćanja po osnovu sredstava obezbeđenja. Kao minimalni period rizika margine koristi se period iz tačke 271. ove odluke.
271. U slučaju transakcija za koje se dnevno utvrđuje tekuća izloženost i primenjuje dnevno odmeravanje margine, periodom rizika margine smatra se vreme od najmanje:
- pet radnih dana za skupove za netiranje koji se sastoje isključivo od repo transakcija, transakcija davanja ili uzimanja u zajam hartija od vrednosti ili robe i transakcije kreditiranja trgovine hartijama od vrednosti,
- deset radnih dana za sve ostale skupove za netiranje.
Izuzetno od stava 1. ove tačke za sve skupove za netiranje:
- kod kojih broj trgovanja u bilo kom trenutku u toku kvartala prelazi 5.000, period rizika margine u narednom kvartalu ne može biti kraći od 20 radnih dana, pri čemu se ovo izuzeće ne primenjuje na izloženosti po osnovu trgovanja banke ili
- koji sadrže jednu ili više transakcija trgovanja sa nelikvidnim sredstvom obezbeđenja ili OTC derivatom koji nije lako zamenljiv (što podrazumeva odsustvo aktivnog tržišta u stresnim uslovima na kojem bi druga ugovorna strana mogla u roku od najviše dva dana dobiti više kotacija cene koje ne bi uticale na tržište niti bi odražavale diskont za sredstvo obezbeđenja, odnosno premiju za OTC derivat), period rizika margine ne može biti kraći od 20 radnih dana.
Za potrebe stava 2. ove tačke, banka je dužna da utvrdi da li postoji koncentracija transakcija trgovanja ili hartija od vrednosti prema drugoj ugovornoj strani, kao i mogućnost da, u slučaju izlaska te ugovorne strane sa tržišta, nadoknadi te transakcije ili hartije od vrednosti.
Ako je banka bila uključena u više od dva poziva za plaćanje margine za pojedinačan skup za netiranje koji su bili sporni u poslednja dva kvartala, a ovi pozivi su trajali duže od primenljivog perioda rizika margine iz st. 1. i 2. ove tačke, banka je dužna da za ovaj skup za netiranje primenjuje period rizika margine koji je najmanje dva puta duži od ovog perioda u naredna dva kvartala.
Kada period ponovnog određivanja margine iznosi N dana, period rizika margine se utvrđuje kao primenljivi period rizika margine iz st. 1. i 2. ove tačke (F) uvećan za N-1 dan, odnosno kao:
period rizika margine = F + N - 1
272. Ako interni model uključuje efekat pokrića marginom na promene tržišne vrednosti skupa za netiranje, banka prilikom izračunavanja iznosa izloženosti za transakcije sa OTC derivatima i transakcije finansiranja hartijama od vrednosti, modelira sredstva obezbeđenja zajedno sa izloženošću, osim u slučaju gotovinskih depozita koji su u istoj valuti kao izloženost.
Ako nije nije u mogućnosti da modelira sredstva obezbeđenja zajedno sa izloženošću, banka ne može priznati u izračunavanju iznosa izloženosti za OTC derivate i transakcije finansiranja hartijama od vrednosti efekte sredstva obezbeđenja (izuzev gotovinskih depozita koji su u istoj valuti kao izloženost), osim u slučajevima kada, uz saglasnost Narodne banke Srbije, primenjuje sopstvene procene faktora volatilnosti ili propisane faktore volatilnosti u skladu sa odeljkom 3. ove glave.
Banka u svojim modelima ne može priznati efekte smanjenja izloženosti ako ugovor o sredstvu obezbeđenja sadrži odredbe koje umesto naplate zahtevaju prihvatanje sredstva obezbeđenja usled pogoršanja kreditne sposobnosti druge ugovorne strane.
g) Uslovi za upravljanje rizikom druge ugovorne strane
273. Banka je dužna da uspostavi odgovarajući sistem za upravljanje rizikom druge ugovorne strane koji obuhvata unutrašnje akte kojima se uređuje upravljanje rizikom druge ugovorne strane i procedure kojima se obezbeđuje odgovarajuća primena ovih akata. Ta akta treba da budu jasna i pouzdana, primenjena u celosti i da dokumentuju ceo proces upravljanja ovim rizikom, pri čemu moraju da obuhvate i objašnjenje empirijskih tehnika korišćenih za merenje izloženosti tom riziku.
Banka je dužna da unutrašnjim aktima kojima se uređuje upravljanje rizikom druge ugovorne strane obuhvati povezanost rizika druge ugovorne strane s drugim rizicima (tržišnim, operativnim, pravnim, kao i rizikom likvidnosti). Sistemom za upravljanje rizikom druge ugovorne strane obezbeđuje se da banka:
1) pre ugovaranja transakcija s drugom ugovornom stranom proveri kreditnu sposobnost te strane;
2) procenjuje svoju izloženost riziku izmirenja, kao i kreditnom riziku pre izmirenja;
3) da rizicima iz odredaba pod 1) i 2) ovog stava upravlja sveobuhvatno i dosledno na nivou jedne ugovorne strane u transakciji - objedinjavanjem izloženosti riziku druge ugovorne strane s drugim izloženostima kreditnom riziku, kao i na nivou banke.
Banka je dužna da obezbedi da njen sistem upravljanja rizikom druge ugovorne strane obuhvati povezanost sa rizikom likvidnosti, a naročito:
1) potencijalno plaćanje margine usled promena varijabilne ili druge vrste margine (kao što je inicijalna margina) u stresnim uslovima na tržištu;
2) potencijalno vraćanje viška sredstava obezbeđenja koji je položila druga ugovorna strana;
3) posledice potencijalnog pogoršanja kreditnog rejtinga banke.
Banka je dužna da obezbedi da su vrsta i period ponovne upotrebe sredstva obezbeđenja u skladu sa njenim potrebama za likvidnošću i da ne ugrožavaju njenu sposobnost da blagovremeno položi ili izvrši povraćaj sredstva obezbeđenja.
Organi upravljanja banke dužni su da, u skladu sa svojim delokrugom, učestvuju u procesu kontrole rizika druge ugovorne strane, kao i da obezbede uspostavljanje odgovarajuće organizacione strukture koja omogućava upravljanje ovim rizikom. Članovi izvršnog odbora banke imaju uvid u pretpostavke i ograničenja internog modela i njihov uticaj na pouzdanost njegovih rezultata, kao i uvid u uticaje tržišnog okruženja i poslovne prakse na ovaj model.
Dnevni izveštaji o izloženosti banke riziku druge ugovorne strane iz tačke 274. stav 3. alineja druga ove odluke dostavljaju se članovima organa upravljanja banke koji ima ovlašćenja za ograničavanje i smanjivanje potencijalne izloženosti banke po osnovu transakcija s kojima su se saglasili zaposleni ovlašćeni za odobravanje plasmana ili zaposleni ovlašćeni za ugovaranje tržišnih transakcija, kao i za ograničavanje i smanjivanje ukupne izloženosti banke ovom riziku.
Banka je dužna da pri upravljanju rizikom druge ugovorne strane vrši usklađivanje sa internim limitima kreditnog rizika i tržišnih rizika. Ovi limiti povezani su s modelom za merenje rizika banke na kontinuiran način, koji je razumljiv zaposlenima odgovornim za odobravanje plasmana i za ugovaranje tržišnih transakcija, kao i višem rukovodstvu. Banka je dužna da uspostavi proces izveštavanja rukovodstva o prekoračenju limita rizika.
Merenje izloženosti banke riziku druge ugovorne strane obuhvata merenje iskorišćenosti okvirnih kredita na dnevnoj osnovi i u toku dana. Banka je dužna da tekuću izloženost meri pre i nakon korišćenja efekata sredstava obezbeđenja, te da izračunava i prati vrhunac izloženosti ili potencijalnu izloženost (PFE) kako na nivou portfolija tako i na nivou druge ugovorne strane, s tim što samostalno odlučuje o korišćenom intervalu poverenja. Banka je dužna da prati velike izloženosti, kao i koncentraciju izloženosti po grupama povezanih lica, delatnostima, tržištima i ostalim značajnim kriterijumima.
Banka je dužna da redovno, kao sastavni deo upravljanja rizikom druge ugovorne strane, sprovodi stres testiranje zasnovano na strogim pretpostavkama, čije rezultate izvršni odbor periodično analizira i dužan je da ih uključi u politike i limite za rizik druge ugovorne strane. Ako stres test ukaže na slabosti po osnovu ovog rizika u određenim situacijama, banka je dužna da bez odlaganja preduzme odgovarajuće mere za adekvatno upravljanje tim rizikom i sprečavanje novih slabosti.
d) Uslovi za organizacionu strukturu upravljanja rizikom druge ugovorne strane
274. Banka je dužna da obrazuje organizacionu jedinicu u čijem je delokrugu kontrola rizika druge ugovorne strane i organizacionu jedinicu u čijem je delokrugu upravljanje sredstvima obezbeđenja u skladu sa ovom tačkom.
Poslovanje organizacione jedinice u čijem je delokrugu kontrola rizika druge ugovorne strane sastavni je deo procesa svakodnevnog upravljanja kreditnim rizikom banke, a rezultati njenog rada su sastavni deo procesa planiranja, praćenja i kontrole profila kreditnog rizika banke, kao i celokupnog rizičnog profila banke. Ova organizaciona jedinica je nezavisna od organizacione jedinice/jedinica u banci u čijem je delokrugu preuzimanje rizika druge ugovorne strane, a neposredno izveštava izvršni odbor banke. Banka je dužna da za rad u toj organizacionoj jedinici obezbedi adekvatan broj zaposlenih odgovarajuće stručnosti i profesionalnog iskustva.
Organizaciona jedinica u čijem je delokrugu kontrola rizika druge ugovorne strane je odgovorna za sprovođenje sledećih aktivnosti:
- operativno uspostavljanje sistema upravljanja rizikom druge ugovorne strane, uključujući početnu i naredne validacije modela;
- izradu i analizu dnevnih izveštaja o rezultatima modela za merenje rizika banke, pri čemu ova analiza uključuje i procenu odnosa između iznosa izloženosti i utvrđenih limita trgovanja;
- kontrolu ispravnosti ulaznih podataka, izradu i analizu izveštaja o rezultatima modela za merenje rizika banke, uključujući i procenu odnosa između iznosa izloženosti i utvrđenih limita trgovanja.
Organizaciona jedinica u čijem je delokrugu upravljanje sredstvima obezbeđenja sprovodi sledeće aktivnosti:
1) izračunava i upućuje pozive za marginu, upravlja spornim pozivima za plaćanje margine i sačinjava dnevne izveštaje o inicijalnim i varijabilnim marginama;
2) kontroliše sveobuhvatnost podataka koji se koriste za upućivanje poziva za plaćanje margine i obezbeđuje doslednost i kontinuiranu usklađenost podataka sa relevantnim izvorima podataka banke;
3) prati obim ponovnog korišćenja sredstava obezbeđenja i sve promene prava koje banka ima po osnovu sredstva obezbeđenja koje je položila;
4) izveštava rukovodstvo o vrstama sredstava obezbeđenja koja se ponovno koriste, kao i o uslovima ponovnog korišćenja, uključujući vrstu instrumenata, kreditni kvalitet i dospeće;
5) prati koncentracije po pojedinačnim vrstama sredstava obezbeđenja koje je banka primila;
6) redovno, a najmanje jednom u tri meseca, izveštava izvršni odbor o upravljanju sredstvima obezbeđenja, a naročito o vrstama primljenih sredstava obezbeđenja, datumu, iznosu i roku dospeća sredstva obezbeđenja, kao i o uzrocima spornih poziva za plaćanje margine, pri čemu ovo izveštavanje sadrži i trendove ovih podataka.
Izvršni odbor banke je dužan da obezbedi da organizaciona jedinica u čijem delokrugu je upravljanje sredstvima obezbeđenja ima dovoljno resursa za obavljanje operativnih poslova na odgovarajućem nivou, pre svega u smislu blagovremenog i preciznog upravljanja pozivima za uplatu/plaćanje margine. Izvršni odbor banke dužan je da obezbedi da ova jedinica ima dovoljno zaposlenih odgovarajuće stručnosti i profesionalnog iskustva koji mogu blagovremeno da obrade sve pozive, uključujući i one koji su sporni, čak i u vanrednim uslovima na tržištu, kako bi banka mogla da ograniči broj značajnih spornih poziva nastalih usled velikog obima trgovanja.
đ) Uslovi za proveru upravljanja rizikom druge ugovorne strane
275. Banka je dužna da sprovodi proveru procesa upravljanja rizikom druge ugovorne strane u procesu unutrašnje revizije, koja obuhvata i proveru aktivnosti organizacionih jedinica u čijem su delokrugu kontrola procesa upravljanja rizikom druge ugovorne strane, odnosno upravljanje sredstvima obezbeđenja. Ova provera se sprovodi redovno, a najmanje jednom godišnje, i obuhvata naročito proveru:
1) adekvatnosti dokumentacije koja se odnosi na proces upravljanja rizikom druge ugovorne strane;
2) organizacije rada u organizacionoj jedinici zaduženoj za kontrolu rizika iz tačke 274. stav 2. ove odluke;
3) organizacije rada u organizacionoj jedinici zaduženoj za upravljanje sredstvima obezbeđenja iz tačke 274. stav 4. ove odluke;
4) uključivanja merenja izloženosti riziku druge ugovorne strane u svakodnevno upravljanje rizicima;
5) procesa izbora modela i sistema za vrednovanje izloženosti koje koriste zaposleni u banci odgovorni za ugovaranje tržišnih transakcija, odnosno za knjigovodstvenu evidenciju ugovorenih transakcija;
6) validacije svake značajne promene u procesu merenja rizika druge ugovorne strane;
7) rizika druge ugovorne strane obuhvaćenog modelom za merenje rizika;
8) celovitosti i pouzdanosti sistema izveštavanja rukovodstva;
9) tačnosti i potpunosti podataka koji se odnose na rizik druge ugovorne strane;
10) adekvatnosti uključivanja ugovornih i drugih pravnih uslova u vezi sa sredstvom obezbeđenja i sporazumima za netiranje u merenju iznosa izloženosti;
11) potvrđivanja doslednosti, blagovremenosti i pouzdanosti izvora podataka na kojima su zasnovani interni modeli, uključujući i nezavisnost tih izvora;
12) tačnosti i adekvatnosti pretpostavki koje se odnose na volatilnost i korelacije;
13) tačnosti vrednovanja i transformacije rizika;
14) provere tačnosti rezultata modela kroz učestalo sprovođenje procesa back testiranja u skladu s tačkom 280. stav 1. odredbe pod 2), 3), 4) i 5) ove odluke;
15) usklađenosti poslovanja organizacionih jedinica zaduženih za kontrolu rizika i za upravljanje sredstvima obezbeđenja sa relevantnim regulatornim zahtevima.
276. Banka je dužna da raspodelu verovatnoće izloženosti koja je rezultat internog modela za obračun efektivne EPE vrednosti uključi u svakodnevni proces upravljanja rizikom druge ugovorne strane i da, pri odobravanju plasmana, upravljanju ovim rizikom, internoj raspodeli kapitala i upravljanju poslovanjem banke, ključni značaj dodeli rezultatima internog modela.
Banka je dužna da dokaže da ima iskustva u primeni metoda internog EPE modela i da je, najmanje godinu dana pre podnošenja zahteva za dobijanje saglasnosti Narodne banke Srbije za primenu ovog modela taj model, koji je usklađen sa uslovima za primenu iz ovog pododeljka, koristila za izračunavanje raspodele verovatnoće izloženosti pri obračunu EPE vrednosti.
Banka je dužna da model koji koristi za izračunavanje raspodele verovatnoće izloženosti riziku druge ugovorne strane uključi u proces upravljanja tim rizikom. Ovaj proces mora da obuhvati i merenje iskorišćenosti okvirnih kredita (objedinjavanjem izloženosti riziku druge ugovorne strane s drugim izloženostima kreditnom riziku), kao i internu raspodelu kapitala.
Pored izračunavanja EPE vrednosti, banka je dužna da merenje i upravljanje tekućim izloženostima, ako je moguće, vrši na bruto i neto osnovi u odnosu na sredstvo obezbeđenja. Korišćenje ovog modela može se oceniti kao adekvatno ako banka primenjuje i druge načine za merenje rizika druge ugovorne strane (kao što su najviša izloženost ili potencijalna izloženost - PFE) zasnovane na raspodeli verovatnoće izloženosti koja se izračunava primenom EPE modela.
Banka je dužna da dnevno procenjuje EE vrednosti, osim ako je Narodnoj banci Srbije prethodno dostavila obaveštenje i dokumentaciju kojom dokazuje da izloženost riziku druge ugovorne strane ne zahteva dnevno izračunavanje. Banka je dužna da EE vrednost izračunava u periodu koji adekvatno odražava vremensku strukturu budućih novčanih tokova i dospeća transakcija, u skladu s materijalnim značajem i strukturom izloženosti.
Banka je dužna da meri, prati i kontroliše izloženosti u toku celog perioda trajanja svih transakcija u skupu za netiranje (a ne samo za period od godinu dana), kao i da uspostavi procedure za upravljanje rizikom druge ugovorne strane kada je izloženost duža od godinu dana. Očekivano povećanje izloženosti uključuje se u model izračunavanja internog kapitala banke.
277. Banka je dužna da uspostavi sveobuhvatan i pouzdan proces stres testiranja rizika druge ugovorne strane, koji uključuje i stres testiranje za potrebe procesa interne procene adekvatnosti kapitala za pokriće izloženosti po osnovu ovog rizika. Stres testiranje obuhvata i identifikaciju potencijalnih događaja ili budućih promena ekonomskih uslova koji mogu nepovoljno uticati na izloženost banke kreditnom riziku, kao i procenu sposobnosti banke da se prilagodi takvim promenama.
Rezultati stres testova upoređuju se sa limitima rizika i banka je dužna da ih uzima u obzir u procesu procene i održavanja internog kapitala na odgovarajućem nivou.
Stres testiranje obuhvata sve izloženosti po osnovu trgovanja i ukupne izloženosti, za sve izvore rizika druge ugovorne strane, posmatrano prema pojedinačnim drugim ugovornim stranama u dovoljno dugom periodu. Radi identifikovanja i, gde je potrebno, smanjenja izraženih koncentracija pojedinačnih rizika, banka najmanje mesečno sprovodi stres testiranje osnovnih faktora tržišnog rizika kao što su kamatne stope, strane valute, vlasnički finansijski instrumenti, kreditne marže i cene robe, za sve njene druge ugovorne strane. Stres testiranje izloženosti (sa jednim ili više faktora, kao i za značajne nelinearne rizike), kao i izloženosti i kreditne sposobnosti zajedno, sprovodi se na nivou pojedinačne druge ugovorne strane, na nivou grupe drugih ugovornih strana i na nivou celog portfolija banke.
Banka je dužna da najmanje jednom u tri meseca sprovodi stres testiranje sa scenarijom u kojem se pretpostavlja više faktora rizika i značajni nelinearni rizici, uključujući rizik krive prinosa i bazni rizik, pri čemu moraju biti obuhvaćeni najmanje sledeće pretpostavke:
- značajni događaji u privredi ili na tržištu,
- izraženo smanjenje likvidnosti tržišta,
- veliki finansijski posrednik likvidira svoje pozicije.
Konzervativnost pretpostavki koje se primenjuju na odnosne faktore rizika u stres testiranju mora biti dosledna. Pri proceni solventnosti u uslovima stresa, rigoroznost pretpostavki za odnosne faktore rizika mora biti takva da obuhvati istorijske šokove na tržištu i ekstremne ali realistične stresne tržišne uslove. Rezultat ovih stres testova treba da bude uticaj šokova na kapital, kapitalne zahteve i profit banke. Za potrebe dnevnog praćenja, interne zaštite i upravljanja koncentracijama korišćena scenarija treba da se zasnivaju na manje rigoroznim događajima sa većom verovatnoćom nastupanja.
Stres testiranje, ako je primenljivo, treba da obuhvati obrnuto stres testiranje u cilju identifikovanja ekstremnih ali verovatnih scenarija koji dovode do značajnih negativnih posledica na poslovanje banke. Obrnuto stres testiranje obuhvata i uticaj značajne nelinearnosti portfolija.
Banka je dužna da obezbedi da se izveštavanje izvršnog odbora o rezultatima stres testiranja sprovodi redovno, a najmanje jednom u tri meseca. Izveštaji i analize rezultata obuhvataju najznačajnije uticaje na nivou druge ugovorne strane u portfoliju, značajne koncentracije po segmentima portfolija (po privrednim granama i geografskim oblastima), kao i specifične trendove datog portfolija i druge ugovorne strane.
Izvršni odbor ima ključnu ulogu u integrisanju stres testiranja u sistem upravljanja rizicima i svest zaposlenih o rizicima u banci i u obezbeđivanju da su rezultati ovog testiranja imaju značaj za banku i da se koriste u upravljanju rizikom druge ugovorne strane. Rezultati stres testiranja značajnih izloženosti se procenjuju u odnosu na sklonost ka rizicima banke. Ovi rezultati dostavljaju se izvršnom odboru radi njihovog razmatranja i radi preduzimanja odgovarajućih mera, ako su identifikovana prekoračenja limita ili značajnije koncentracije.
z) Uslovi za korelacijski rizik
278. Banka je dužna da posebnu pažnju posveti izloženostima koje prouzrokuju značajan opšti i specifični korelacijski rizik.
Radi identifikovanja opšteg korelacijskog rizika banka je dužna da razvije stres testiranje i scenario analize kako bi proverila otpornost na stres onih faktora rizika koji negativno utiču na kreditnu sposobnost druge ugovorne strane. Ovo stres testiranje obuhvata mogućnost nastanka ozbiljnih poremećaja do kojih dolazi usled promene odnosa između faktora rizika. Banka je dužna da prati opšti korelacijski rizik po proizvodu, geografskoj oblasti, industrijskoj grani ili drugom kriterijumu koji je od značaja za poslovanje banke.
Banka je dužna da uspostavi procedure za identifikovanje, praćenje i kontrolu specifičnog korelacijskog rizika na nivou pojedinačnog pravnog lica od datuma početka transakcije i tokom njenog trajanja.
Banka je dužna da računa kapitalni zahtev za rizik druge ugovorne strane za transakcije kod kojih je identifikovan specifični korelacijski rizik i kod kojih postoji pravna povezanost između druge ugovorne strane i izdavaoca odnosnog instrumenta OTC derivata ili repo transakcije, transakcije davanja ili uzimanja u zajam hartija od vrednosti ili robe i transakcije kreditiranja trgovine hartijama od vrednosti, u skladu sa sledećim:
1) instrumenti kod koji je identifikovan specifični korelacijski rizik ne uključuju se u skupove za netiranje sa ostalim transakcijama sa drugom ugovornom stranom, već se svaki instrument posmatra kao poseban skup za netiranje;
2) za posebne skupove za netiranje iz odredbe pod 1) ovog stava, u slučaju CDS derivata s jednim referentnim licem, iznos izloženosti je jednak ukupnom očekivanom gubitku preostale fer vrednosti odnosnog instrumenta na osnovu pretpostavke da je izdavalac ovog instrumenta u stečaju;
3) ako banka primenjuje IRB pristup u skladu sa odeljkom 2. ove glave, LGD parametar je jednak 100% za CDS derivate s jednim referentnim licem;
4) ako banka primenjuje standardizovani pristup u skladu sa odeljkom 1. ove glave, primenjuje ponder rizika koji odgovara neobezbeđenoj izloženosti;
5) za sve ostale transakcije sa jednim referentnim licem koje su razvrstane u zasebne skupove za netiranje, izračunavanje iznosa izloženosti polazi od pretpostavke neočekivanog nastupanja statusa neizmirenja obaveza za odnosne obaveze kod kojih je izdavalac odnosnog instrumenta povezan sa drugom ugovornom stranom, dok se u slučaju transakcija koje se odnose na skup odnosne imovine ili indekse pretpostavka o neočekivanom nastupanju statusa neizmirenja obaveza odnosne obaveze kod kojih je izdavalac odnosnog instrumenta povezan sa drugom ugovornom stranom primenjuje samo ako je transakcija značajna;
6) u meri u kojoj banka koristi postojeći obračun kapitalnih zahteva za dodatni rizik nastupanja statusa neizmirenja obaveza i migracije koji već sadrži pretpostavke o LGD parametru vrednost tog parametra koja se uključuje u obračun je 100%.
Izvršni odbor banke i drugi relevantni odbori dobijaju redovne izveštaje o izloženosti opštem i specifičnom korelacijskom riziku, kao i merama koje se preduzimaju u upravljanju ovim rizicima.
i) Uslovi za integritet procesa modeliranja
279. Banka je dužna da obezbedi integritet procesa modeliranja u skladu ovim pododeljkom, uz ispunjenje sledećih uslova:
1) model blagovremeno, na sveobuhvatan i oprezan način odražava karakteristike transakcije, pri čemu te karakteristike obuhvataju najmanje nominalne (hipotetičke) iznose iz odgovarajućeg ugovora, rok dospeća, referentnu imovinu, sporazume o margini i sporazume o netiranju;
2) o karakteristikama svake pojedinačne transakcije uspostavljena je i održava se baza podataka koja je predmet periodične revizije;
3) uspostavljen je proces pribavljanja odgovarajućeg pravnog mišljenja kojim se potvrđuje punovažnost sporazuma o netiranju;
4) pravno mišljenje iz odredbe pod 3) ovog stava u bazu podataka unosi organizaciona jedinica koja je nezavisna od jedinice u čijem je delokrugu upravljanje rizikom druge ugovorne strane;
5) unutrašnja revizija proverava podatke o transakcijama koji se koriste u izračunavanju EPE vrednosti;
6) uspostavljen je proces za usaglašavanje sistema modela i baze ulaznih podataka kako bi se potvrdilo da se na kontinuiranoj osnovi svi relevantni podaci na odgovarajući ili barem na oprezan način, uključuju u izračunavanje EPE vrednosti.
Banka je dužna da za obračun tekućih izloženosti primenom internog modela koristi tekuće tržišne podatke. Banka može da kalibrira EPE model primenom istorijskih tržišnih podataka ili pretpostavljenih vrednosti tržišnih podataka kako bi uspostavila parametre odnosnih stohastičkih procesa, kao što su očekivani prinos, volatilnost i korelacija. Pri upotrebi istorijskih podataka za procenu volatilnosti i korelacija, banka koristi podatke za period od najmanje tri prethodne godine, koje ažurira tromesečno ili češće, ako to zahtevaju tržišni uslovi.
Za izračunavanje efektivne EPE vrednosti primenom stresirane kalibracije, banka je dužna da koristi istorijske ili pretpostavljene podatke za period od tri godine u kojem su nastupili nepovoljni tržišni uslovi koji su se odrazili na iznos naknade po osnovu kreditnih derivata za njene druge ugovorne strane, kao i da ispuni sledeće uslove:
1) da jednom u tri meseca Narodnoj banci Srbije dostavlja dokumentaciju kojom se dokazuje da je koristila podatke za period u kojem su nastupili nepovoljni uslovi u smislu povećanih naknada za CDS derivate ili drugih kreditnih marži (za npr. kredite ili korporativne obveznice) za relevantne druge ugovorne strane čijim se kreditnim maržama trguje, a ako banka ne raspolaže odgovarajućim podacima o kreditnim maržama za druge ugovorne strane dodeliće tim ugovornim stranama podatke o kreditnim maržama prema geografskom području, internom rejtingu i vrsti poslovanja;
2) EPE model za sve druge ugovorne strane koristi istorijske ili pretpostavljene podatke za period u kojem su nastupili nepovoljni tržišni uslovi u pogledu kreditiranja na način koji je usaglašen sa onim koji je korišćen za kalibraciju EPE modela zasnovanog na tekućim podacima;
3) radi procene delotvornosti kalibracije stresa za efektivnu EPE vrednost banka je definisala nekoliko referentnih portfolija koji su osetljivi na rizike kojima je banka u svom poslovanju izložena, pri čemu će se izloženost po osnovu ovih portfolija računati korišćenjem stres metodologije zasnovane na tekućim tržišnim vrednostima i parametrima modela kalibrisanim na nepovoljne tržišne uslove i izloženosti nastalih u ovim nepovoljnim uslovima, primenom metoda iz ovog pododeljka (tržišna vrednost na kraju perioda stresa, volatilnosti i korelacije iz trogodišnjeg perioda stresa), a ako se referentni portfoliji značajno razlikuju Narodna banka Srbije će zahtevati od banke da prilagodi tu kalibraciju.
Banka je dužna da donese i primeni odgovarajuća unutrašnja akta za validaciju internog modela. U procesu validacije internog modela uređuju se vrste testiranja neophodne za obezbeđivanje integriteta i pouzdanosti tog modela, a utvrđuju se i uslovi pod kojima dolazi do odstupanja od pretpostavki modela, što može prouzrokovati potcenjivanje EPE vrednosti. Proces validacije modela obuhvata i procenu sveobuhvatnosti tog modela.
Banka je dužna da prati relevantne rizike u vezi s rizikom druge ugovorne strane i da uspostavi procedure za prilagođavanje sopstvenih procena EPE vrednosti kad izloženost tim rizicima postane značajna za banku, što obuhvata:
- identifikaciju i upravljanje specifičnim i opštim korelacijskim rizicima u skladu s tačkom 278. ove odluke;
- redovno upoređivanje procene EPE vrednosti u toku jedne godine s procenom te vrednosti u toku trajanja perioda izloženosti - za izloženosti s rastućim rizičnim profilom nakon jedne godine;
- redovno upoređivanje tekuće tržišne vrednosti (tekuće izloženosti) s rizičnim profilom izloženosti, odnosno čuvanje podataka koji omogućavaju ili bi mogli omogućiti takva poređenja - za izloženosti s preostalim dospećem kraćim od jedne godine.
Banka je dužna da uspostavi procedure koje će pre uključivanja transakcije u skup za netiranje omogućiti proveru da li je transakcija obuhvaćena odgovarajućim sporazumom o netiranju koji ispunjava uslove iz pododeljka 6. ovog odeljka.
Ako koristi sredstva obezbeđenja radi ublažavanja rizika druge ugovorne strane, banka je dužna da uspostavi procedure koje će omogućiti proveru punovažnosti ovih sredstava pre priznavanja njihovog uticaja na izračunavanje izloženosti, u skladu s odeljkom 3. ove glave.
j) Sistem upravljanja rizicima
280. Banka je dužna da u vezi sa sistemom upravljanja rizikom druge ugovorne strane:
1) ispunjava kvalitativne uslove iz glave VII odeljak 6. ove odluke;
2) sprovodi redovno back testiranje, poređenjem mera rizika dobijenih primenom modela sa realizovanim merama rizika, kao i poređenjem hipotetičkih promena po osnovu statičnih pozicija sa realizovanim merama;
3) sprovodi inicijalnu validaciju, kao i redovne provere EPE modela i dobijene mere rizika, pri čemu ova validacija i provera moraju biti nezavisne od razvoja modela;
4) obezbedi aktivnu ulogu organa upravljanja u kontroli rizika, uključujući i adekvatne resurse za kontrolu kreditnog rizika i rizika druge ugovorne strane;
5) obezbedi da je interni model za merenje izloženosti riziku uključen u svakodnevno upravljanje rizicima banke;
6) obezbedi da sistem merenja rizika uzima u obzir i interne limite trgovanja i limite izloženosti, pri čemu su limiti izloženosti povezani sa modelom za merenje rizika na dosledan način koji je razumljiv zaposlenima ovlašćenim za ugovaranje tržišnih transakcija, kao i odborima, organizacionim jedinicama i zaposlenima u čijem delokrugu je kreditna funkcija i izvršnom odboru;
7) obezbedi da je sistem upravljanja rizicima na odgovarajući način dokumentovan, a naročito u odnosu na unutrašnje politike, kontrole i procedure koje se odnose na funkcionisanje sistema za merenje rizika i mehanizme koji omogućavaju adekvatnu primenu unutrašnjih akata;
8) obezbedi da organizaciona jedinica banke u čijem je delokrugu unutrašnja revizija banke sprovodi redovne provere koje obuhvataju aktivnosti organizacione jedinice ovlašćene za ugovaranje tržišnih transakcija i organizacione jedinice zadužene za kontrolu rizika, a najmanje na godišnjem nivou i procesa za upravljanje rizicima posebno uzimajući u obzir elemente iz tačke 275. ove odluke;
9) obezbedi da je redovna validacija modela za merenje rizika druge ugovorne strane, uključujući i back testiranje, predmet redovne provere od strane nivoa rukovodstva koje ima ovlašćenje da preduzme mere za otklanjanje nedostatka modela.
Ispunjenost uslova iz stava 1. ove tačke je jedan od kriterijuma na osnovu kojih Narodna banka Srbije propisuje nivo α parametra iz tačke 267. stav 1. ove odluke. Samo banka koja u celosti ispunjava ove uslove može primeniti α parametar od 1,4.
Banka je dužna da dokumentuje proces validacije EPE modela i dobijene mere rizika na način da lice koje nije bilo uključeno u ovaj proces može da ponovi analizu i dobije meru rizika. Ova dokumentacija definiše i učestalost analize back testiranja i validacije, kao i način sprovođenja validacije u smislu podataka, portfolija i analiza.
Banka je dužna da definiše kriterijume za procenu EPE modela, kao i modela koji služe za izračunavanje ulaznih podataka u ovaj model, kao i da donese i primeni unutrašnji akt kojim se definiše proces identifikovanja slučajeva u kojima model neadekvatno funkcioniše i preduzimanja korektivnih mera.
Formiranje reprezentativnih portfolija drugih ugovornih strana za potrebe validacije modela je jasno definisano od strane banke.
Validacija EPE modela i dobijene mere rizika za predviđenu raspodelu mora da obuhvati više od jednog seta statističkih pretpostavki o predviđenoj raspodeli.
281. Kao sastavni deo validacije EPE modela i dobijene mere rizika, banka je dužna da obezbedi ispunjenost sledećih uslova:
1) banka je sprovodila back testiranje na osnovu istorijskih podataka o promenama tržišnih faktora i pre dobijanja saglasnosti iz tačke 263. ove odluke, a ovo testiranje uzima u obzir nekoliko različitih perioda predviđanja od najmanje godinu dana, sa različitim početnim datumima i širokim obuhvatom tržišnih uslova;
2) banka koja primenjuje pristup iz tačke 270. stav 1. odredba pod 2) ove odluke redovno sprovodi validaciju svog modela radi provere da li su realizovane tekuće izloženosti u skladu sa predviđenim tokom svih perioda margine u trajanju od godinu dana pri čemu, ako neke od transakcija trgovanja iz skupa za netiranje imaju dospeće kraće od godinu dana, a skup za netiranje bi imao veću osetljivost na faktore rizika da te transakcije nisu u njega uključene, validacija to mora uzeti u obzir;
3) banka sprovodi back testiranje performansi EPE modela i dobijene mere rizika, kao i predviđanja faktora tržišnog rizika, a za transakcije trgovanja pokrivene sredstvima obezbeđenja period predviđanja obuhvata one periode koji odražavaju tipične periode rizika margine za transakcije trgovanja pokrivene sredstvima obezbeđenja ili marginom;
4) ako validacija modela ukaže da je efektivna EPE vrednost potcenjena, banka je dužna da preduzme sve neophodne aktivnosti za otklanjanje netačnosti modela;
5) banka testira modele za određivanje cene koji se koriste za izračunavanje izloženosti riziku druge ugovorne strane u uslovima potencijalnih šokova u vezi s faktorima tržišnog rizika, kao deo procesa validacije tog modela, pri čemu modeli za određivanje cene opcija uzimaju u obzir nelinearnost vrednosti opcija u odnosu na faktore tržišnog rizika;
6) model za izračunavanje izloženosti riziku druge ugovorne strane obuhvata informacije karakteristične za svaku pojedinačnu transakciju da bi se objedinile izloženosti na nivou skupa za netiranje, pri čemu banka proverava da li je svaka od ovih transakcija pripisana odgovarajućem skupu za netiranje u okviru ovog modela;
7) EPE model obuhvata informacije karakteristične za svaku pojedinačnu transakciju da bi uključio efekte margine - pri čemu se uzimaju u obzir tekući iznos margine, iznos margine koji će biti razmenjen između ugovornih strana u budućnosti (uključujući i najniži iznos koji će biti razmenjen), ugovorne odredbe o margini (jednostrano ili dvostrano obavezujući ugovor), učestalost poziva na plaćanje margine, period rizika margine, najniži nivo nepokrivene izloženosti koji je banka spremna da prihvati, minimalni iznos za prenos, kao i dnevno vrednovanje sredstava obezbeđenja ili njihovo vrednovanje u skladu s odeljkom 3. ove glave;
8) statičko i istorijsko back testiranje koje je sastavni deo procesa validacije modela sprovodi se redovno na većem broju (stvarnih ili procenjenih) reprezentativnih portfolija druge ugovorne strane, pri čemu se ovi portfoliji biraju na osnovu osetljivosti banke na materijalno značajne faktore rizika i korelacije kojima je izložena;
9) banka sprovodi back testiranje sa ciljem provere ključnih pretpostavki EPE modela i dobijene mere rizika, uključujući odnos između rokova dospeća za isti faktor rizika i odnos između faktora rizika koji su zadati u modelu;
10) performanse EPE modela i dobijene mere rizika su predmet odgovarajućeg back testiranja, postavljenog tako da identifikuje loše performanse ovih modela;
11) banka validira svoje EPE modele i dobijene mere rizika u periodu koji odgovara dospeću transakcija trgovanja za koje se izloženost računa primenom internog modela iz ovog pododeljka;
12) kao sastavni deo validacije modela, banka redovno testira modele za određivanje cene korišćene za izračunavanje izloženosti druge ugovorne strane poređenjem sa odgovarajućim nezavisnim referentnim vrednostima;
13) validacije EPE modela i dobijene mere rizika obuhvataju procenu adekvatnosti skorašnjih performansi;
14) kao sastavni deo validacije EPE modela procenjuje se učestalost ažuriranja parametra ovog modela;
15) inicijalna i naredne validacije EPE modela procenjuju da li je izračunavanje izloženosti na nivou druge ugovorne strane i na nivou skupa za netiranje adekvatno.
Umesto proizvoda α parametra i efektivne EPE vrednosti, banka može, ako je to navedeno u saglasnosti Narodne banke Srbije iz tačke 263. stav 1. ove odluke, da za svaku drugu ugovornu stranu koristi oprezniji način obračuna. Nivo opreznosti banka procenjuje odmah nakon dobijanja ove saglasnosti, a nakon toga tokom redovne provere EPE modela od strane Narodne banke Srbije. Banka je dužna da redovno proverava ovaj nivo opreznosti. Kontinuirana provera performansi modela mora da obuhvati sve druge ugovorne strane za koje se model koristi.
Ako back testiranje ukazuje na to da interni model nije dovoljno precizan, Narodna banka Srbije može banci ukinuti saglasnost iz tačke 263. stav 1. ove odluke ili joj naložiti preduzimanje odgovarajućih mera radi njegovog poboljšanja u najkraćem roku.
a) Priznavanje ugovornog netiranja za umanjenje rizika
282. Radi ublažavanja rizika druge ugovorne strane banka može koristiti sledeće ugovore kojima se vrši netiranje potraživanja i obaveza s drugom ugovornom stranom (u daljem tekstu: sporazum o netiranju), i to:
- ugovore o prenovu (novaciji) između banke i druge ugovorne strane, na osnovu kojih se njihova međusobna potraživanja i obaveze prebijaju i zasniva novi ugovorni odnos kojim prestaju da važe svi ugovori zaključeni između njih koji se odnose na ova potraživanja i obaveze;
- ostale dvostrane ugovore o netiranju između banke i druge ugovorne strane;
- ugovore o netiranju između različitih kategorija proizvoda - ako je banka dobila saglasnost iz tačke 263. stav 1. ove odluke, a transakcije koje su predmet netiranja obuhvaćene su internim modelom, pri čemu se netiranje transakcija između članova iste bankarske grupe ne priznaje radi izračunavanja kapitalnih zahteva.
b) Uslovi za priznavanje sporazuma o netiranju
283. Banka može da koristi sporazum o netiranju radi ublažavanja rizika druge ugovorne strane i izračunavanja kapitalnog zahteva za taj rizik ako su ispunjeni sledeći uslovi:
1) da sporazumi o netiranju obuhvataju sve uključene transakcije na način da postoji jedinstvena obaveza, odnosno da usled nastupanja statusa neizmirenja obaveza druge ugovorne strane banka ima ili potraživanje (pozitivnu tržišnu vrednost) ili obavezu (negativnu tržišnu vrednost) samo u iznosu neto zbira tržišnih vrednosti pojedinačnih transakcija;
2) da je banka od lica koje nije povezano s bankom i drugom ugovornom stranom pribavila obrazloženo pravno mišljenje iz kog se može jasno zaključiti da su, u slučaju nastanka događaja utvrđenih u odredbi pod 1) ovog stava, potraživanja, odnosno obaveze banke ograničene na neto iznos iz te odredbe i kojim je ocenjeno da su sporazumi o netiranju zaključeni u skladu s merodavnim pravom;
3) da se izloženosti kreditnom riziku svih ugovornih strana objedinjuju kako bi se dobila jedinstvena izloženost za sve transakcije, pri čemu ovo objedinjavanje banka uključuje u proces utvrđivanja kreditnih limita i izračunavanja internog kapitala;
4) ugovor ne sadrži odredbu kojom se ugovornoj strani koja ispunjava svoje obaveze omogućava da u celini ili delimično ne izvrši plaćanje prema drugoj ugovornoj strani koja nije ispunila obaveze bez obzira na to da li je ta strana u sporazumu o netiranju neto poverilac (klauzula walk away).
Banka može koristiti ugovor o netiranju između različitih kategorija proizvoda ako su, pored uslova iz stava 1. ove tačke, ispunjeni i sledeći uslovi:
- da je iznos iz stava 1. odredbe pod 1) te tačke jednak neto zbiru pozitivnih i negativnih vrednosti zatvaranja svakog pojedinačnog uključenog standardizovanog sporazuma o netiranju, kao i pozitivnih i negativnih tržišnih vrednosti pojedinačnih transakcija,
- da pravno mišljenje iz stava 1. odredbe pod 2) te tačke obuhvata i analizu uticaja ugovora o netiranju na bitne elemente svakog uključenog standardizovanog sporazuma o netiranju.
284. Banka je dužna da radi korišćenja sporazuma o netiranju, uključujući i ugovor o netiranju između različitih kategorija proizvoda, za ublažavanje rizika druge ugovorne strane i izračunavanje kapitalnog zahteva za taj rizik:
1) uspostavi procedure kojima je omogućeno redovno praćenje uticaja izmena relevantnih propisa na punovažnost sporazuma o netiranju, odnosno na transakcije uključene u ugovor o netiranju;
2) sporazume o netiranju i pripadajuću dokumentaciju čuva na odgovarajući način;
3) efekte ugovornog netiranja transakcija uključuje u proces merenja ukupne izloženosti riziku druge ugovorne strane i na toj osnovi upravlja tim rizikom;
4) u slučaju ugovora o netiranju između različitih kategorija proizvoda, obezbedi da su za svaki standardizovani sporazum o netiranju i za svaku pojedinačnu transakciju uključenu u ugovor o netiranju ispunjeni uslovi za priznavanje standardizovanih sporazuma o netiranju, kao i uslovi za ublažavanje kreditnog rizika u skladu s odeljkom 3. ove glave.
285. Banka je dužna da efekte priznavanja ugovornog netiranja radi ublažavanja rizika druge ugovorne strane i izračunavanja kapitalnog zahteva za taj rizik priznaje u skladu sa sledećim:
1) ako koristi standardizovani metod, odnosno metod internog modela - ugovorno netiranje će se priznavati u skladu s pododeljkom 4, odnosno pododeljkom 5. ovog odeljka;
2) za ugovore o prenovu umesto bruto iznosa mogu se ponderisati neto iznosi definisani ugovorom - ako koristi metod tekuće izloženosti može ovaj neto iznos uzeti u obzir pri izračunavanju tekuće tržišne i hipotetičke vrednosti iz tačke 250. stav 1. ove odluke, a ako koristi metod originalne izloženosti može taj neto iznos uzeti u obzir pri izračunavanju hipotetičkom iznosa iz tačke 251. stav 1. te odluke, pri čemu je dužna da njega primenjuje procente navedene u tabeli 23;
3) ako koristi metod tekuće izloženosti, banka može za ostale ugovore o netiranju da izračunava tekuću tržišnu vrednost na osnovu hipotetičke neto tržišne vrednosti koja rezultira iz ovih ugovora, a ako iz netiranja proizlazi neto obaveza za banku koja izračunava neto tržišnu vrednost - tekuća tržišna vrednost jednaka je nuli. Banka umanjuje iznos potencijalne izloženosti za sve ugovore uključene u sporazum o netiranju u skladu sa sledećom formulom:
PCEred = 0,4 × PCEgross + 0,6 × NGR × PCEgross,
gde je:
PCEred = umanjeni iznos potencijalne izloženosti za sve ugovore s drugom ugovornom stranom koji su uključeni u punovažne bilateralne sporazume o netiranju;
PCEgross = zbir svih iznosa potencijalnih izloženosti za sve transakcije s drugom ugovornom stranom koje su uključene u punovažne bilateralne sporazume o netiranju i koji se izračunavaju množenjem njihovih hipotetičkih vrednosti s procentima iz tabele 21;
NGR (net-to-gross ratio) = neto/bruto pokazatelj izračunat kao odnos neto i bruto tržišne vrednosti za sve ugovore uključene u punovažne bilateralne sporazume o netiranju.
Radi izračunavanja potencijalne izloženosti korišćenjem formule iz stava 1. ove tačke, banka je dužna da valutne forvard ugovore ili slične ugovore kod kojih je hipotetički iznos glavnice jednak novčanim tokovima (ako novčani tokovi dospevaju za naplatu na isti datum i ako su u potpunosti ili delimično izraženi u istoj valuti), a uključeni su u ugovore iz tog stava, tretira kao jedan ugovor s hipotetičkom vrednošću glavnice koja je jednaka neto prilivima.
Ako koristi metod originalne izloženosti, banka može valutne forvard ugovore ili slične ugovore iz stava 2. ove tačke koji su uključeni u sporazum o netiranju da tretira kao jedan ugovor s hipotetičkim iznosom glavnice jednakim neto primanjima, pri čemu se ovaj hipotetički iznos množi procentima iz tabele 23. Za sve druge ugovore koji su uključeni u sporazum o netiranju banka može da primeni procente u skladu sa sledećom tabelom:
Tabela 26.
Originalni rok dospeća |
Ugovori koji se odnose na kamatne stope |
Ugovori koji se odnose na valute |
≤ 1 godine |
0,35% |
1,50% |
>1 ≤ 2 godine |
0,75% |
3,75% |
dodatak za svaku sledeću godinu |
0,75% |
2,25% |
U slučaju ugovora koji se odnose na kamatne stope, uz prethodnu saglasnost Narodne banke Srbije, banka može da se opredeli za primenu preostalog ili ugovorenog roka dospeća.
7. Pozicije iz knjige trgovanja
286. Pozicije iz knjige trgovanja, u smislu ovog pododeljka, obuhvataju pozicije po osnovu finansijskih derivata iz Priloga 1 ove odluke i kreditnih derivata.
Banka je dužna da se pri izračunavanju iznosa rizikom ponderisanih izloženosti za rizik druge ugovorne strane po osnovu pozicija iz knjige trgovanja pridržava sledećeg:
1) u slučaju TRS i CDS derivata, za potrebe izračunavanja potencijalne izloženosti primenom standardizovanog pristupa, hipotetički iznos instrumenta se množi sa:
- 5%, ako bi referentna obaveza, u slučaju da predstavlja direktnu izloženost za banku, ispunjavala uslove iz tačke 337. ove odluke za kvalifikovanu poziciju,
- 10%, ako referentna obaveza, u slučaju da predstavlja direktnu izloženost za banku, ne bi ispunjavala uslove iz tačke 337. ove odluke za kvalifikovanu poziciju,
- 0% ako izloženost nastala po osnovu CDS derivata predstavlja dugu poziciju u odnosnom instrumentu, osim kada je ovaj derivat predmet zatvaranja u slučaju nesolventnosti lica čija izloženosti nastala po osnovu tog derivata predstavlja kratku poziciju u odnosnom instrumentu, iako odnosni instrument nije u statusu neizmirenja obaveza,
- u slučaju kreditnih derivata sa n-tim neizmirenjem obaveze u skupu odnosne imovine, određuje se koji se od procenata iz alineja prve i druge ove odredbe može primeniti na obavezu sa n-tim najlošijim nivoom kreditnog kvaliteta koja bi, u slučaju da predstavlja direktnu izloženost za banku, ispunjavala uslove iz tačke 337. ove odluke za kvalifikovanu poziciju;
2) za potrebe priznavanja efekata finansijskih sredstava obezbeđenja ne može se koristiti jednostavni metod iz tačke 173. ove odluke;
3) u slučaju repo transakcija i transakcija davanja i uzimanja u zajam hartija od vrednosti i robe iz knjige trgovanja, svi finansijski instrumenti i roba koji su podobni za uključivanje u knjigu trgovanja se mogu priznati kao podobno sredstvo obezbeđenja;
4) u slučaju OTC derivata iz knjige trgovanja, roba koja je podobna za uključivanje u knjigu trgovanja se može priznati kao podobno sredstvo obezbeđenja;
5) kada hartije od vrednosti ili roba koji su dati u zajam, prodati ili dati kao sredstvo obezbeđenja, uzeti u zajam, kupljeni ili uzeti kao sredstvo obezbeđenja odnosne transakcije, ne ispunjavaju uslove podobnosti propisane odeljkom 3. ove glave, a banka koristi supervizorske faktore volatilnosti za složeni metod iz pododeljka 3. tog odeljka, dužna je da na njih primenjuje faktor volatilnosti koji se primenjuje na akcije koje nisu uključene u glavni berzanski indeks a kojima se trguje na berzi;
6) ako banka koristi sopstvene procene faktora volatilnosti u skladu sa odeljkom 3. pododeljak 3. ove glave, za hartije od vrednosti ili robu koji ne ispunjavaju uslove podobnosti propisane tim odeljkom, za svaku takvu hartiju od vrednosti ili robu računa faktor volatilnosti, ako je banka dobila saglasnost za primenu metoda internih modela iz tog odeljka može isti pristup da primeni i na knjigu trgovanja;
7) u slučaju standardizovanih sporazuma o netiranju koji se odnose na repo transakcije, transakcije davanja i uzimanja u zajam hartija od vrednosti i robe ili druge transakcije s pravom dodatnog obezbeđenja, priznaje se samo netiranje pozicija iz bankarske knjige i knjige trgovanja ako su ispunjeni sledeći uslovi:
- odnosne transakcije su predmet dnevnog vrednovanja po tekućoj tržišnoj vrednosti,
- odnosna imovina koja je uzeta u zajam, kupljena ili uzeta kao sredstvo obezbeđenja odnosne transakcije ispunjava uslove za podobnost finansijskih sredstava obezbeđenja iz odeljka 3. ove glave, pri čemu se ne uzimaju u obzir odredbe 3) do 6) ovog stava;
8) ako je kreditni derivat iz knjige trgovanja pribavljen kao interna zaštita i kreditna zaštita je priznata u skladu s tačkom 152. ove odluke, primenjuje se jedan od sledećih tretmana:
- pozicija u ovom derivatu ne nosi rizik druge ugovorne strane ili
- u izračunavanje kapitalnog zahteva za rizik druge ugovorne strane dosledno uključuje sve kreditne derivate koji se vode u knjizi trgovanja, a koji su pribavljeni kao interna zaštita ili kreditna zaštita za izloženosti riziku druge ugovorne strane, pri čemu ovi derivati ispunjavaju uslove iz odeljka 3. ove glave.
8. Kapitalni zahtev za izloženosti prema CCP licu
287. Banka je dužna da primenjuje odredbe ovog pododeljka za sve neizmirene ugovore i transakcije sa CCP licem po osnovu:
- finansijskih derivata iz Priloga 1 ove odluke i kreditnih derivata,
- repo transakcija,
- transakcija davanja ili uzimanja u zajam hartija od vrednosti ili robe,
- transakcija kreditiranja trgovine hartijama od vrednosti,
- transakcija s dugim rokom izmirenja.
Banka može da izabere da primenjuje na ugovore i transakcije iz stava 1. ove tačke sa QCCP licem jedan od sledećih tretmana:
1) za izloženosti po osnovu trgovanja i po osnovu doprinosa u fond za neizmirenje obaveza tretman iz tačke 292. ove odluke, osim stava 1. odredbe pod 2) te tačke, i iz tačke 293. te odluke ili
2) tretman iz tačke 296. ove odluke.
Na ugovore i transakcije iz stava 1. ove tačke sa nekvalifikovanim CCP licem banka primenjuje tretman iz tačke 292. ove odluke, osim odredbe pod 1) stava 1. te tačke i, gde je primenljivo, tretman iz tačke 295. te odluke.
a) Praćenje izloženosti prema CCP licu
288. Banka je dužna da prati izloženosti prema CCP licu i da uspostavi procedure kojima se uređuje proces redovnog izveštavanja višeg rukovodstva i odgovarajućih odbora o ovim izloženostima.
Banka je dužna da procenjuje, kroz sprovođenje odgovarajućih scenario analiza i stres testova, da li je nivo kapitala koji je izdvojen za pokriće rizika druge ugovorne strane, uključujući potencijalne izloženosti, izloženosti po osnovu doprinosa u fond za neizmirenje obaveza i, ako je banka član kliringa, izloženosti po osnovu sporazuma iz tačke 290. ove odluke, dovoljan da pokrije nivo ovog rizika.
b) Tretman izloženosti članova kliringa prema CCP licu
289. Kada je banka član kliringa, odnosno kada ugovore sa CCP licem zaključuje direktno u okviru kliring sistema, bez obzira da li ih zaključuje u svoje ime i za svoj račun ili kao posrednik između klijenta i CCP lica, dužna je da izračunava kapitalni zahtev za izloženosti prema CCP licu u skladu sa ovom tačkom.
Ako je banka član kliringa u ulozi posrednika između klijenta i CCP lica, dužna je da izračunava kapitalni zahtev za izloženosti prema CCP licima u skladu sa pododeljcima 1. do 7. ovog odeljka, u zavisnosti od pristupa koji banka primenjuje.
Kada je banka klijent člana kliringa dužna je da izračunava kapitalni zahtev za izloženosti prema ovom članu kliringa po osnovu transakcija povezanih sa CCP licem u skladu sa pododeljcima 1. do 7. ovog odeljka, u zavisnosti od pristupa koji banka primenjuje.
Izuzetno od stava 3. ove tačke, banka može za izloženosti iz ovog stava da računa kapitalni zahtev u skladu s tačkom 291. stav 2. ove odluke ako su ispunjeni sledeći uslovi:
1) pozicije i imovina banke u vezi sa navedenim transakcijama se, kako na strani člana kliringa tako i na strani CCP lica, odvojeno tretiraju (vode na posebnim računima u knjigovodstvenoj evidenciji, bez mogućnosti netiranja različitih pozicija i pripisivanja gubitaka po osnovu drugih pozicija ovim pozicijama, odnosno imovini) u odnosu na pozicije i imovinu člana kliringa i njegovih klijenata i usled toga su van stečajne mase kada dođe do nastupanja statusa neizmirenja ili nesolventnosti člana kliringa ili njegovih klijenata;
2) merodavno pravo i ugovorne odredbe koji su obavezujući za banku ili CCP lica obezbeđuju, u slučaju nastupanja statusa neizmirenja obaveza ili nesolventnosti člana kliringa, prenos pozicija banke po osnovu ovih ugovora i transakcija i sa njima povezanih sredstava obezbeđenja, na drugog člana kliringa u toku relevantnog perioda rizika margine.
Kada banka kao član kliringa zaključi ugovor sa klijentom drugog člana kliringa u cilju odvojenog tretmana pozicija i imovine ovog klijenta na način iz stava 4. odredbe pod 2) ove tačke, ona može potencijalnoj obavezi po osnovu tog ugovornog odnosa da dodeli vrednost izloženosti nula.
v) Tretman izloženosti članova kliringa prema klijentima
290. Kada je banka član kliringa, i u to svojstvu posrednika između klijenta i CCP lica, dužna je da izračunava kapitalni zahtev za izloženosti prema ovom klijentu po osnovu transakcija povezanih sa CCP licem u skladu sa pododeljcima 1. do 7. ovog odeljka, u zavisnosti od pristupa koji primenjuje, kao i u skladu s Glavom VI ove odluke.
Kada banka kao član kliringa zaključi ugovor s klijentom drugog člana kliringa u cilju neometanog prenosa pozicija i sredstava obezbeđenja ovog klijenta iz tačke 291. stav 2. odredba pod 2) ove odluke kad nastupi status neizmirenja člana kliringa, ona može potencijalnoj obavezi po osnovu tog ugovornog odnosa da dodeli vrednost izloženosti nula.
Banka može, kada je u svojstvu člana kliringa, da primeni kraći period rizika margine za izračunavanje kapitalnog zahteva za izloženosti prema klijentu u skladu sa metodom internih modela, pri čemu taj period ne može biti kraći od pet dana.
Kada je u svojstvu člana kliringa, a primenjuje metod tekuće izloženosti, metod originalne izloženosti ili standardizovani metod, banka može da pri izračunavanju kapitalnog zahteva za izloženosti prema klijentu na iznos ove izloženosti primeni sledeći faktor skaliranja:
- 0,71 za period rizika margine od 5 dana,
- 0,77 za period rizika margine od 6 dana,
- 0,84 za period rizika margine od 7 dana,
- 0,89 za period rizika margine od 8 dana,
- 0,95 za period rizika margine od 9 dana,
- 1 za period rizika margine od 10 i više dana.
Period rizika margine iz st. 3. i 4. ove tačke predstavlja duži od sledeća dva perioda:
- pet radnih dana;
- najduži period likvidacije ugovora ili transakcije uključene u skup za netiranje objavljen od strane QCCP sa kojim banka vrši kliring ovih ugovora ili transakcija. Ako je u period likvidacije uključen dodatni period potreban za neometan prenos pozicija po osnovu ugovora i transakcija sa jednog člana kliringa, u slučaju nastupanja statusa neizmirenja obaveza i nesolventnosti ovog člana kliringa, na drugog člana kliringa, banka može da isključi ovaj dodatni period iz ukupnog perioda likvidacije.
Ako su u skup za netiranje uključene transakcije koje nisu predmet kliringa sa QCCP, period rizika margina iz st. 3. i 4. ove tačke ne sme biti kraći od 10 radnih dana.
g) Tretman izloženosti banke klijenta
291. Kada je banka klijent, dužna je da izračunava kapitalni zahtev za izloženosti prema svom članu kliringa po osnovu transakcija povezanih sa CCP licem u skladu sa pododeljcima 1. do 7. ovog odeljka, u zavisnosti od pristupa koji primenjuje, i u skladu s Glavom VI ove odluke.
Banka klijent može da izračunava kapitalni zahtev za izloženosti prema svom članu kliringa po osnovu transakcija povezanih sa CCP licem koje su posledica aktivnosti trgovanja u skladu s tačkom 292. ove odluke ako su ispunjeni sledeći uslovi:
1) pozicije i imovina banke u vezi sa ovim transakcijama se, kako na strani člana kliringa tako i na strani CCP lica, odvojeno tretiraju u odnosu na pozicije i imovinu člana kliringa i njegovih klijenata i usled toga su van stečajne mase kada dođe do nastupanja statusa neizmirenja ili nesolventnosti člana kliringa ili njegovih klijenata;
2) merodavno pravo i ugovorne odredbe koji su obavezujući za banku ili CCP lica obezbeđuju, u slučaju nastupanja statusa neizmirenja obaveza ili nesolventnosti člana kliringa, neometani prenos pozicija banke po osnovu ovih ugovora i transakcija i sa njima povezanih sredstava obezbeđenja, na drugog člana kliringa u toku relevantnog perioda rizika margine, pri čemu se ovaj prenos vrši po tržišnoj vrednosti osim ako klijent ne zahteva zatvaranje pozicija po ovoj vrednosti;
3) banka je od lica koje nije povezano s bankom pribavila obrazloženo pravno mišljenje iz kog se može jasno zaključiti da bi, u slučaju pravnog spora, nadležna tela i sudovi odlučili da klijent ne snosi gubitke usled nesolventnosti svog člana kliringa ili njegovih klijenata u skladu s merodavnim pravom banke, člana kliringa i CCP lica, kao i propisa koji su merodavni za transakcije i ugovore koji su predmet kliringa od strane CCP lica, sredstva obezbeđenja i druge elemente iz odredbe pod 2) ovog stava;
4) CCP lice je kvalifikovano (QCCP lice).
Ako banka klijent nije zaštićena od gubitaka u slučaju nastupanja zajedničkog statusa neizmirenja obaveza člana kliringa i njegovog klijenta, pri čemu su ispunjeni svi ostali uslovi iz stava 2. ove tačke, ona može da računa kapitalni zahtev za izloženosti prema svom članu kliringa po osnovu transakcija povezanih sa CCP licem, a koje su posledica aktivnosti trgovanja u skladu s tačkom 292. ove odluke, s tim što umesto pondera rizika 2% iz stava 1. odredbe pod 1) ove tačke, primenjuje ponder rizika 4%.
Ako je banka klijent koji koristi usluge CCP lica po osnovu sporazuma o indirektnom poravnanju transakcija sa OTC derivatima, ona može da primenjuje pristup iz st. 2 ili 3. ove tačke samo ako svi učesnici poravnanja ispunjavaju uslove iz ovih stavova.
d) Kapitalni zahtev za izloženosti po osnovu trgovanja
292. Banka na izloženosti po osnovu trgovanja sa CCP licem primenjuje sledeći tretman:
1) ponder rizika 2% na sve izloženosti po osnovu trgovanja sa QCCP licem;
2) ponder rizika određen u skladu sa standardizovanim pristupom za kreditni rizik iz tačke 33. stav 2. alineja druga ove odluke na sve izloženosti po osnovu trgovanja sa nekvalifikovanim CCP licem;
3) kada je banka u ulozi posrednika između klijenta i CCP lica a uslovi transakcije povezane sa CCP licem definišu da banka nije u obavezi da nadoknadi klijentu gubitke nastale usled promene vrednosti transakcije u slučaju nastupanja statusa neizmirenja CCP lica, iznos izloženosti koji se odnosi na datu transakciju povezanu sa CCP licem je jednak nuli.
Izuzetno od stava 1. ove tačke u slučaju imovine položene kao sredstvo obezbeđenja CCP lica ili članu kliringa koja je van stečajne mase u slučaju nesolventnosti CCP lica i jednog ili više njegovih članova kliringa, banka može kao iznos izloženosti riziku druge ugovorne strane po osnovu te imovine da koristi vrednost nula.
Banka izračunava iznos izloženosti po osnovu trgovanja sa CCP lica u skladu sa pododeljcima 1. do 7. ovog odeljka, u zavisnosti od pristupa koji primenjuje.
Za potrebe tačke 3. stav 2. ove odluke, banka je dužna da izračunava iznos rizikom ponderisanih izloženosti po osnovu trgovanja sa CCP licem kao zbir iznosa izloženosti izračunatih u skladu sa st. 2. i 3. ove tačke pomnožen ponderima rizika utvrđenim na način iz stava 1. te tačke.
đ) Kapitalni zahtev za unapred uplaćene doprinose u fond za neizmirenje obaveza CCP lica
293. Banka član kliringa je dužna da na izloženosti po osnovu unapred uplaćenih doprinosa u fond za neizmirenje obaveza CCP lica primenjuje sledeći tretman:
1) ako je CCP lice kvalifikovano, pri izračunavanju kapitalnog zahteva za ove izloženosti, primenjuju se odredbe tačke 294. ove odluke;
2) ako je CCP lice nekvalifikovano, pri izračunavanju kapitalnog zahteva za te izloženosti, primenjuju se odredbe tačke 295. ove odluke.
e) Kapitalni zahtev za unapred uplaćene doprinose u fond za neizmirenje obaveza QCCP lica
294. Iznos izloženosti banke za unapred uplaćene doprinose u fond za neizmirenja obaveze QCCP lica (DFi) predstavlja iznos tržišne vrednosti imovine isporučene od strane ove banke umanjen za iznos doprinosa koji je QCCP lice iskoristilo za pokriće gubitaka po osnovu nastupanja statusa neizmirenja obaveza jednog ili više njegovih članova kliringa.
Banka je dužna da izračunava kapitalni zahtev (Ki) za pokriće izloženosti po osnovu unapred uplaćenih doprinosa (DFi) na sledeći način:

gde je:
β = faktor koncentracije koji je CCP lice dostavilo banci,
N = broj članova kliringa koji je CCP lice dostavilo banci,
DFCM = ukupan iznos unapred uplaćenih doprinosa svih članova kliringa CCP lica (ΣiDFi) koji je CCP lice dostavilo banci,
KCM = zbir kapitalnih zahteva svih članova kliringa CCP lica izračunatih u skladu sa odgovarajućom odredbom stava 3. ove tačke (ΣiKi).
Banka je dužna da računa KCM na sledeći način:
1) kad je KCCP ≤ DFCCP primenjuje se sledeći obračun:
KCM = C 1 x DF*CM
2) kad je DFCCP < KCCP ≤ DF* primenjuje se sledeći obračun:
KCM = c2 x (KCCP - DFCCP) + c1 × (DF* - KCCP)
3) kad je DF* < KCCP primenjuje se sledeći obračun:
KCM = c2 x μ x (KCCP - DF*) + c2 × DF*CM
gde je:
DFCCP = iznos unapred uplaćenih finansijskih sredstava CCP lica koji je CCP lice dostavilo banci;
KCCP = iznos hipotetičkog kapitala CCP lica koji je CCP lice dostavilo banci;
DF* = DFCCP + DF*CM;
DF*CM = DFCM - 2 x ![]()
|
prosečni unapred uplaćeni doprinos, |
1 |
x DFi c1 koji je CCP lice dostavilo banci; |
N |
c1 faktor kapitala jednak max |
|
c2 = faktor kapitala jednak 100%:
m= 1.2.
Za potrebe tačke 3. ove odluke, banka kao iznos rizikom ponderisanih izloženosti po osnovu unapred uplaćenih doprinosa koristi iznos kapitalnog zahteva (Ki) izračunat na način iz stava 2. ove tačke pomnoženog sa 12,5.
Ako je KCCP jednako nuli, banka za potrebe obračuna iz stava 3. ove tačke kao vrednost c1 koristi 0,16%.
ž) Kapitalni zahtev za unapred uplaćene doprinose u fond za neizmirenje obaveza i za naknadne doprinose nekvalifikovanog CCP lica
295. Banka je dužna da pri izračunavanju kapitalnog zahteva (Ki) za izloženosti za unapred uplaćene doprinose u fond za neizmirenje obaveza nekvalifikovanog CCP lica (DFi) i za naknadne doprinose (UFi) tom učesniku primenjuju sledeći način obračuna:
Ki = c2 × μ × (DFi+ UFi)
pri čemu se koriste c2 i μ definisani tačkom 294. stav 3. ove odluke.
Pod naknadnim doprinosom, u smislu stava 1. ove tačke, podrazumeva se doprinos za koji se banka kao član kliringa ugovorom obavezala da će da uplati CCP licu nakon što ovaj učesnik iskoristi fond za neizmirenja obaveza za pokriće gubitaka koje snosi po osnovu nastupanja statusa neizmirenja obaveza jednog ili više njegovih članova kliringa.
Za potrebe tačke 3. ove odluke, banka kao iznos rizikom ponderisanih izloženosti po osnovu unapred uplaćenih doprinosa koristi iznos kapitalnog zahteva (Ki) izračunat na način iz stava 1. ove tačke pomnožen sa 12,5.
z) Alternativni obračun kapitalnog zahteva za izloženosti prema QCCP licu
296. Banka pri računanju kapitalnog zahteva (Ki) za izloženosti po osnovu sopstvenog trgovanja ili trgovanja za račun klijenata (TEi) i za izloženosti po osnovu unapred uplaćenih doprinosa (DFi) u fond za neizmirenje obaveza QCCP lica primenjuje sledeći obračun:
Ki = 8% x min (2% × TEi + 1.250% × DFi; 20% × TEi).
i) Kapitalni zahtev za izloženosti prema CCP licu koje više ne ispunjava uslove kvalifikovanosti
297. Banka je dužna da primenjuje odredbe ove tačke ako je ispunjen jedan od sledećih uslova:
1) banka je od CCP lica primila obaveštenje da je prestao da izračunava hipotetički kapital (KCCP);
2) na osnovu javno dostupnih informacija, uključujući obaveštenja nadležnog regulatornog tela CCP lica ili obaveštenja ovog učesnika, da taj učesnik više ne ispunjava uslove kvalifikovanosti.
U slučaju iz stava 1. odredbe pod 1) ove tačke, ako Narodna banka Srbije proceni da su razlozi iz obaveštenja opravdani, može dozvoliti banci da primenjuje način obračuna iz tačke 296. ove odluke za izloženosti po osnovu trgovanja i po osnovu doprinosa u fond za neizmirenje obaveza tog CCP lica.
Ako Narodna banka Srbije proceni da razlozi iz obaveštenja iz stava 1. odredbe pod 1) ove tačke nisu opravdani ili u slučaju iz odredbe pod 2) tog stava, sve banke, bez obzira na izabrani tretman iz tačke 287. stav 2. ove odluke, dužne su da u roku od tri meseca od prijema obaveštenja iz tog stava, primene sledeće:
1) prestanu da koriste izabrani tretman iz tačke 287. stav 2. ove odluke;
2) primene tretman iz tačke 292. stav 1. odredba pod 2) ove odluke na izloženosti po osnovu trgovanja sa tim CCP lica;
3) primene tretman iz tačke 295. ove odluke na izloženosti po osnovu unapred uplaćenih doprinosa u fond za neizmirenje obaveza i naknadnih doprinosa ovom CCP lica;
4) da sve izloženosti prema tom CCP licu koje nisu navedene u odredbama 2) i 3) ovog stava tretiraju kao da su izloženosti prema privrednim društvima i da na njih primene standardizovani pristup kreditnom riziku u skladu sa odeljkom 1. ove glave.
KAPITALNI ZAHTEV ZA RIZIK IZMIRENJA/ISPORUKE
298. Banka je dužna da računa razliku u ceni kojoj je izložena po osnovu neizmirenih transakcija.
Izloženost po osnovu razlike u ceni za neizmirene transakcije izračunava se kao razlika između ugovorene cene i tekuće tržišne cene za određenu dužničku ili vlasničku hartiju od vrednosti, valutu ili robu samo ako je ta razlika gubitak za banku. Ovaj gubitak nastaje:
- kad je tekuća tržišna cena veća od ugovorene - u slučaju da banka prodaje hartiju od vrednosti, valutu ili robu,
- kad je tekuća tržišna cena niža od ugovorene - u slučaju da banka kupuje hartiju od vrednosti, valutu ili robu.
Kapitalni zahtev za rizik izmirenja/isporuke po osnovu neizmirenih transakcija jednak je iznosu izloženosti izračunatom u skladu sa stavom 2. ove tačke i pomnoženom odgovarajućim faktorom kapitalnog zahteva iz Tabele 27:
Tabela 27.
Broj radnih dana docnje nakon ugovorenog datuma izmirenja/isporuke |
Faktor kapitalnog zahteva |
5 - 15 |
8% |
16 - 30 |
50% |
31 - 45 |
75% |
46 ili više |
100% |
299. Banka je dužna da pri izračunavanju kapitalnog zahteva za rizik izmirenja/isporuke po osnovu slobodnih isporuka primenjuje tretman propisan u Tabeli 28. ako je:
- platila hartije od vrednosti, stranu valutu ili robu pre nego što ih je druga ugovorna strana isporučila ili ih je isporučila pre nego što ih je druga ugovorna strana platila,
- u slučaju transakcija sa inostranstvom protekao najmanje jedan radni dan od dana kad je izvršila plaćanje, odnosno isporuku iz alineje prve ovog stava.
Tabela 28.
Kolona 1 |
Kolona 2 |
Kolona 3 |
Kolona 4 |
Tip transakcije |
Do prvog ugovorenog dana plaćanja ili isporuke |
Od dana kada je banka izvršila plaćanje, odnosno isporuku do četvrtog radnog dana nakon ugovorenog datuma isporuke/plaćanja druge ugovorne strane |
Od petog radnog dana nakon ugovorenog datuma |
Slobodne isporuke |
ne obračunava |
transakcija predstavlja izloženost za koju se računa kapitalni zahtev |
transakcija predstavlja izloženost za koju se računa kapitalni zahtev i na koju se primenjuje ponder rizika 1.250% |
Banka koja primenjuje IRB pristup u skladu sa odeljkom 2. glave IV ove odluke može, pri određivanju pondera rizika za izloženosti po osnovu slobodnih isporuka na koje primenjuje tretman iz Kolone 3. Tabele 28, da dodeljuje PD parametar drugoj ugovornoj strani na osnovu kreditnog rejtinga koji je toj strani dodelila podobna agencija za rejting pod uslovom da prema ovoj strani nema izloženosti u bankarskoj knjizi. Banka koja koristi sopstvene procene LGD parametra može na ove izloženosti da primenjuje LGD parametar iz tačke 108. ove odluke pod uslovom da ovaj parametar primenjuje na sve izloženosti po osnovu slobodnih isporuka.
Izuzetno od stava 2. ove tačke, banka može na izloženosti iz ovog stava da primenjuje pondere rizika određene u skladu sa standardizovanim pristupom iz odeljka 1. glave IV ove odluke pod uslovom da tako određene pondere primenjuje na sve izloženosti po osnovu slobodnih isporuka ili da na ove izloženosti primenjuje ponder rizika 100%.
Ako iznos pozitivne izloženosti po osnovu slobodnih isporuka nije materijalno značajan, banka može primenjivati ponder rizika 100% na ove izloženosti, osim u slučaju primene pondera rizika 1.250% u skladu sa Kolonom 4. Tabele 28.
Izuzetno od tretmana propisanog u Koloni 4. Tabele 28. banka može, umesto primene pondera 1.250% na izloženost po osnovu slobodne isporuke, da umanji osnovni akcijski kapital u skladu s tačkom 13. stav 1. odredba pod 11) alineja treća ove odluke za iznos izvršenog plaćanja/isporuke uvećan za iznos gubitka utvrđenog na način opisan u tački 298. stav 2. te odluke.
3. Izuzeće od kapitalnih zahteva
300. Ako nastupe sistemski poremećaji u radu sistema poravnanja, klirinškog sistema ili CCP lica, banka može da prestane da obračunava kapitalne zahteve iz tač. 298. i 299. ove odluke, dok se ne uspostavi uobičajeno funkcionisanje sistema, o čemu bez odlaganja obaveštava Narodnu banku Srbije. U tom slučaju, neizmirenje transakcije od strane druge ugovorne strane se neće smatrati nastupanjem statusa neizmirenja obaveza.
KAPITALNI ZAHTEV ZA RIZIK PRILAGOĐAVANJA KREDITNE IZLOŽENOSTI (CVA RIZIK)
301. Banka je dužna da računa kapitalni zahtev za CVA rizik za sve OTC derivate, u bankarskoj knjizi i u knjizi trgovanja, osim kreditnih derivata koji se koriste za smanjenje izloženosti ponderisanih kreditnim rizikom. Banka je dužna da u obračun kapitalnog zahteva za CVA rizik uključi i izloženosti po osnovu transakcija finansiranja hartijama od vrednosti ako Narodna banka Srbije proceni da je izloženost ovom riziku po osnovu ovih transakcija materijalno značajna.
Transakcije sa QCCP licem i transakcije klijenta sa članom kliringa koji posreduje između klijenta i QCCP lica, a izložen je QCCP licu po osnovu aktivnosti trgovanja, isključuju se iz obračuna kapitalnog zahteva za CVA rizik.
Banka iz obračuna kapitalnog zahteva za CVA rizik isključuje sledeće transakcije:
1) transakcije sa licima unutar grupe ako su druga ugovorna strana i banka predmet zajedničke konsolidacije koja se sprovodi metodom pune konsolidacije, na banku i drugu ugovornu stranu se primenjuje isti način procene, merenja i kontrole rizika, a druga ugovorna strana je osnovana u Republici Srbiji, zemlji članici Evropske Unije ili zemlji koja nije članica Evropske Unije u kojoj se primenjuju propisi kojim se uređuje poslovanje i nadzor nad poslovanjem tih lica usklađeni sa odgovarajućim propisima Evropske Unije;
2) transakcije sa Narodnom bankom Srbije, Evropskom centralnom bankom i centralnim bankama država članica Evropske unije, institucijama Republike Srbije zaduženim za upravljanje javnim dugom i javnim telima država članica Evropske unije koja su zadužena za upravljanje javnim dugom, Bankom za međunarodna poravnanja, međunarodnim razvojnim bankama koje su svrstane u klasu izloženosti prema međunarodnim razvojnim bankama u skladu s tačkom 44. ove odluke, javnim administrativnim telima koja su osnovana od strane države i za koje postoji garancija države, a na koja se primenjuje tretman iz tačke 43. te odluke, European Financial Stability Facility (EFSF) i European Stability Mechanism (ESM);
3) transakcije sa teritorijalnim autonomijama i jedinicama lokalne samouprave čijim izloženostima se u skladu s tačkom 42. ove odluke dodeljuje ponder rizika 0%.
302. Banka koja je dobila saglasnost Narodne banke Srbije za primenu pristupa internih modela za specifični cenovni rizik po osnovu pozicija u dužničkim hartijama od vrednosti u skladu s tačkom 392. ove odluke dužna je da, za sve transakcije za koje ima saglasnost za primenu metode internog modela za računanje iznosa izloženosti riziku druge ugovorne strane u skladu s tačkom 262. te odluke, računa kapitalni zahtev za izloženost CVA riziku kroz procenu uticaja promene kreditnih marži drugih ugovornih strana na iznos CVA svih drugih ugovornih strana u navedenim transakcijama, uzimajući u obzir podobnu zaštitu od CVA rizika u skladu s tačkom 309. ove odluke.
Banka je dužna da koristi pristup internih modela, za specifični cenovni rizik po osnovu pozicija u dužničkim hartijama od vrednosti kojima se trguje, uz primenu intervala poverenja od 99% i period držanja od 10 dana. Interni model se primenjuje tako da simulira promene kreditnih marži drugih ugovornih strana, ali ne procenjuje osetljivost CVA na promenu drugih tržišnih faktora, uključujući promene u vrednosti odnosne imovine, robe, valute ili kamatne stope derivata.
303. Kapitalni zahtev za CVA rizik računa se pojedinačno za svaku drugu ugovornu stranu primenom sledeće formule:
gde je:
ti = vreme i-tog ponovnog vrednovanja, počevši od t0=0;
tT = najduži ugovoreni rok dospeća svih skupova za netiranje sa drugom ugovornom stranom;
si = kreditna marža druge ugovorne strane u trenutku ti, koja se koristi za obračun CVA te druge ugovorne strane, pri čemu ako za datu drugu ugovornu stranu postoji marža iz ugovora o CDS derivatu, banka je dužna da koristi tu maržu, a ako takva marža nije dostupna banka koristi odgovarajuću procenu marže uzimajući u obzir rejting, sektor i geografsko područje te ugovorne strane;
LGDMKT = LGD parametar druge ugovorne strane koji je zasnovan na marži tržišnog instrumenta druge ugovorne strane, ako takav instrument postoji, a ako instrument druge ugovorne strane ne postoji, LGD parametar druge ugovorne strane se zasniva na odgovarajućoj proceni marže uzimajući u obzir rejting, sektor i geografsko područje te ugovorne strane;
Prvi izraz unutar sume predstavlja procenu tržišno izvedene marginalne verovatnoće nastupanja statusa neizmirenja obaveza u periodu između ti-1 i ti;
EEi = očekivana izloženost prema drugoj ugovornoj strani u trenutku ponovnog vrednovanja ti, gde se izloženosti iz različitih skupova za netiranje sa drugom ugovornom stranom sabiraju i gde se najduži ugovoreni rok dospeća za svaki skup za netiranje utvrđuje na osnovu najdužeg ugovorenog roka dospeća u skupu za netiranje. U slučaju trgovanja koje je predmet sporazuma o margini banka je dužna da primeni tretman iz tačke 305. ove odluke ako koristi EPE vrednost iz tačke 270. stav 1. odredba pod 1) ili 2) te odluke za trgovanje koje je predmet sporazuma o margini;
Di = diskontni faktor bez rizika nastupanja statusa neizmirenja obaveza u trenutku ti, gde je D0 =1.
304. Pri obračunu kapitalnih zahteva za CVA rizik druge ugovorne strane banka je dužna da ulazne podatke internog modela za specifičan cenovni rizik po osnovu pozicija u dužničkim hartijama od vrednosti utvrđuje na sledeći način:
- kada se model zasniva na potpunom ponovnom vrednovanju, direktno se primenjuje formula iz tačke 303. ove odluke;
- kada se model zasniva na osetljivosti kreditne marže za različite vremenske trenutke, svaka osetljivost kreditne marže računa se primenom sledeće formule:
![]()
pri čemu se za poslednji vremenski period i = T primenjuje se sledeća formula:

- kada se model zasniva na osetljivosti na paralelna pomeranja kreditnih marži koristi se sledeća formula:
![]()
- kada se model zasniva na osetljivosti drugog reda na pomeranja kreditnih marži (gama marže), gama se računa primenom formule iz tačke 303. ove odluke.
305. Banka koja koristi EPE vrednost za obezbeđene OTC derivate iz tačke 270. stav 1. odredba pod 1) ili 2) ove odluke pri utvrđivanju kapitalnog zahteva za CVA rizik u skladu sa tačkom 303. te odluke je dužna da:
1) pretpostavi konstantan EE profil;
2) odredi EE vrednost tako da bude jednaka efektivnoj očekivanoj izloženosti izračunatoj na način iz tačke 270. stav 1. odredba pod 2) ove odluke za veće od sledeća dva dospeća:
- polovini najdužeg roka dospeća u skupu za netiranje,
- ponderisanom proseku rokova dospeća svih transakcija u skupu za netiranje gde kao ponderi služe hipotetičke vrednosti transakcija.
306. Banka koja je u skladu s tačkom 262. ove odluke dobila saglasnost Narodne banke Srbije za primenu metoda internog modela za računanje iznosa izloženosti riziku druge ugovorne strane za većinu svojih transakcija, a koristi metod tekuće izloženosti, metod originalne izloženosti ili standardizovani metod za manje portfolije, i koja ima saglasnost Narodne banke Srbije za primenu pristupa internih modela za specifičan cenovni rizik po osnovu pozicija u dužničkim hartijama od vrednosti u skladu s tačkom 392. te odluke može, uz saglasnost Narodne banke Srbije, da računa kapitalni zahtev za CVA rizik u skladu s tač. 302. i 303. ove odluke za skupove za netiranje na koje ne primenjuje metod internog modela. Narodna banka Srbije može banci dati ovu saglasnost samo ako banka primenjuje metod tekuće izloženosti, metod originalne izloženosti ili standardizovani metod za ograničen broj manjih portfolija.
Za potrebe obračuna iz stava 1. ove tačke i kada metod internog modela ne daje očekivani profil izloženosti, banka je dužna da:
1) pretpostavi konstantan EE profil;
2) odredi EE vrednost tako da bude jednaka očekivanoj izloženosti izračunatoj primenom metode tekuće izloženosti, metode originalne izloženosti ili standardizovanog metoda za veće od sledeća dva dospeća:
- polovini najdužeg roka dospeća u skupu za netiranje,
- ponderisanom proseku rokova dospeća svih transakcija u skupu za netiranje gde kao ponderi služe hipotetičke vrednosti transakcija.
307. Banka je dužna da računa kapitalni zahtev za CVA rizik u skladu s tačkom 402. stav 1, tač. 397. i 395. ove odluke kao zbir VaR parametra i VaR parametra u uslovima stresa, izračunatih na sledeći način:
- za VaR parametar koristi se tekuća kalibracija parametra za očekivane izloženosti iz tačke 279. stav 2. ove odluke;
- za VaR parametar u uslovima stresa koristi se budući profili EE prema drugoj ugovornoj strani primenom kalibracije u uslovima stresa u skladu s tačkom 279. stav 2. ove odluke, pri čemu se kao period stresa za parametre kreditne marže koristi najnepovoljniji jednogodišnji period stresa unutar trogodišnjeg perioda koji se koristi za parametre izloženosti;
- množenje faktorom 3 pri obračunu kapitalnih zahteva primenom VaR parametra i VaR parametra u uslovima stresa u skladu s tačkom 402. stav 1. ove odluke primenjuje se i pri obračunu kapitalnog zahteva za CVA rizik;
- obračun se sprovodi najmanje mesečno kao i obračun korišćene EE vrednosti, pri čemu ako se koristi frekvencija manja od dnevne, za potrebe obračuna iz tačke 402. odredba pod 1), alineja druga i odredba pod 2) alineja druga ove odluke banka je dužna da primenjuje tromesečni prosek.
Za izloženosti prema drugoj ugovornoj strani za koje metodologija banke za procenu kredine marže ne daje odgovarajuću procenu kreditne marže uzimajući u obzir rejting, sektor i geografsko područje te ugovorne strane, banka je dužna da koristi metod iz tačke 308. ove odluke za obračun kapitalnog zahteva za CVA rizik.
308. Ako banka ne računa kapitalni zahtev za izloženost CVA riziku njenih drugih ugovornih strana primenom naprednog metoda iz tačke 302. ove odluke, dužna je da kapitalni zahtev za ovu vrstu rizika za svaku ugovornu stranu, uzimajući u obzir podobnu zaštitu od CVA rizika u skladu s tačkom 309. te odluke, računa primenom sledeće formule:
gde je:
h = jednogodišnji period rizika, h=1;
wi = ponder rizika druge ugovorne strane i, ovaj ponder se dodeljuje drugoj ugovornoj strani u skladu sa nivoom kreditnog kvaliteta iz Tabele 29. određenog na osnovu kreditnog rejtinga izabrane agencije za rejting, pri čemu ako druga ugovorna strana nema dodeljen kreditni rejting izabrane agencije za rejting:
- banka koja koristi IRB pristup dužna je da izvrši mapiranje internog rejtinga druge ugovorne strane na eksterni kreditni rejting,
- banka koja koristi standardizovani pristup dužna je da na izloženost prema toj drugoj ugovornoj strani primeni ponder wi 1%, osim ako izloženost prema datoj drugoj ugovornoj strani spada u klasu visokorizičnih izloženosti kada se dodeljuje ponder wi 3%.
Tabela 29.
Nivo kreditnog kvaliteta |
Ponder wi |
1 |
0,7% |
2 |
0,8% |
3 |
1,0% |
4 |
2,0% |
5 |
3,0% |
6 |
10,0% |
EADitotal = iznos ukupne izloženosti riziku druge ugovorne strane (po svim skupovima za netiranje), uzimajući u obzir efekte sredstava obezbeđenja, u skladu sa metodom tekuće izloženosti, metodom originalne izloženosti, standardizovanim metodom ili metodom internog modela, u zavisnosti od toga koji metod banka primenjuje pri obračunu kapitalnog zahteva za izloženost riziku druge ugovorne strane, pri čemu banka koja koristi metod tekuće izloženosti ili metod originalne izloženosti može kao EADitotal da koristi efektivnu vrednost izloženosti (E*) u skladu s tačkom 177. ove odluke.
Banka koja ne koristi metod internog modela pri obračunu kapitalnog zahteva za izloženost riziku druge ugovorne strane dužna je da iznos izloženosti diskontuje primenom sledećeg faktora:
1-e0,05*Mi |
0,05*Mi |
Bi = hipotetička vrednost kupljenog CDS derivata s jednim referentnim licem i (zbirno ako je reč o više pozicija) i koji se koristi za zaštitu od CVA rizika, pri čemu se ovaj hipotetički iznos diskontuje primenom sledećeg faktora:

Bind = ukupan hipotetički iznos jednog ili više CDS indeksa koji se koriste za zaštitu od CVA rizika, pri čemu se ovaj hipotetički iznos diskontuje primenom sledećeg faktora:

wind = ponder rizika koji se primenjuje na CDS indeks za zaštitu od rizika pogoršanja kreditne sposobnosti druge ugovorne strane, koji se utvrđuje kao ponderisani prosek pondera wi koji se primenjuju na pojedinačna referentna lica na koje se indeks odnosi;
Mi = efektivna ročnost transakcije sa drugom ugovornom stranom i, pri čemu ako banka primenjuje metod internog modela za obračun iznosa izloženosti riziku druge ugovorne strane, Mi se utvrđuje na način iz tačke 109. stav 2. odredba pod 7) ove odluke.
Ako banka ne primenjuje metod internog modela za obračun iznosa izloženosti riziku druge ugovorne strane, Mi se utvrđuje kao ponderisani prosek preostale ročnost transakcija, gde kao ponderi služe hipotetički iznosi svake transakcije u skladu s tačkom 109. stav 2. odredba pod 2) ove odluke, a u oba slučaja kao maksimalna vrednost Mi ne koristi se pet godina već najduža ugovorena preostala ročnost u skupu za netiranje;
Mihedge = ročnost instrumenta zaštite sa hipotetičkim iznosom Bi (ako je reč o više od jedne pozicije, vrednosti Mihedge za te pozicije se sabiraju);
Mind = ročnost CDS indeksa, pri čemu ako banka ima više pozicija u CDS indeksu Mind se računa kao ponderisani prosek ročnosti, gde kao ponderi služe hipotetički iznosi pozicija.
Ako je druga ugovorna strana, kao referentno lice, uključena u CDS indeks za potrebe zaštite od rizika druge ugovorne strane, banka može oduzeti hipotetički iznos koji se odnosi na tu drugu ugovornu stranu od hipotetičkog iznosa CDS indeksa i tretirati ga kao zaštitu koja se odnosi na jednog subjekta (Bi) sa ročnošću koja se odnosi na ročnost indeksa.
309. Zaštita se smatra podobnom zaštitom za potrebe obračuna kapitalnog zahteva za CVA rizik primenom naprednog ili standardizovanog metoda samo ako se koristi za potrebe ublažavanja CVA rizika, ako se njom na taj način upravlja i ako je u obliku:
- CDS derivata s jednim referentnim licem ili drugog sličnog instrumenta kreditne zaštite koji se odnosi direktno na drugu ugovornu stranu,
- CDS indeks, pod uslovom da je razlika između marže pojedinačne druge ugovorne strane i marže CDS indeksa uzeta u obzir pri obračunu VaR parametra na odgovarajući način.
Uslov iz stava 1. alineja druga ove tačke, da razlika između marže pojedinačne druge ugovorne strane i marže CDS indeksa bude uzeta u obzir na odgovarajući način pri obračunu VaR parametra, mora biti ispunjen i kada banka koristi procenu marže druge ugovorne strane.
Za sve druge ugovorne strane za koje se koristi procena marže, banka je dužna da kao osnovu koristi odgovarajuću vremensku seriju iz reprezentativnog skupa sličnih lica za koje su raspoložive marže.
Ako razlika između marže pojedinačne druge ugovorne strane i marže CDS indeksa nije uzeta u obzir na odgovarajući način pri obračunu VaR parametra, banka može priznati samo 50% hipotetičke vrednosti zaštite u vidu CDS indeksa.
Ugovaranje većeg iznosa zaštite, u slučaju CDS derivata s jednim referentnim licem, nego što je iznos izloženosti nije dozvoljeno kod upotrebe naprednog metoda.
Banka ne može uzimati u obzir druge oblike zaštite od rizika druge ugovorne strane pri obračunu kapitalnog zahteva za CVA rizik. CDS i drugi derivati sa n-tim neizmirenjem obaveze u skupu izloženosti i CLN derivati ne smatraju se podobnom zaštitom pri obračunu kapitalnog zahteva za CVA rizik.
Banka ne može podobnu zaštitu koja je uključena u obračun kapitalnog zahteva za CVA rizik, da uključi u obračun kapitalnog zahteva za specifični cenovni rizik niti je može tretirati kao tehniku ublažavanja kreditnog rizika, osim za izloženost riziku druge ugovorne strane po osnovu istog portfolija transakcija.
KAPITALNI ZAHTEV ZA TRŽIŠNE RIZIKE
310. Kapitalni zahtev za tržišne rizike jednak je zbiru:
1) kapitalnog zahteva za cenovni rizik za poslovne aktivnosti iz knjige trgovanja,
2) kapitalnog zahteva za devizni rizik za sve poslovne aktivnosti,
3) kapitalnog zahteva za robni rizik za sve poslovne aktivnosti.
Banka kapitalni zahtev za tržišne rizike izračunava na način utvrđen u odeljcima 1. do 5. ove glave.
Izuzetno od stava 2. ove tačke, banka može kapitalne zahteve za cenovni, devizni i robni rizik da izračunava primenom pristupa internih modela, uz saglasnost Narodne banke Srbije, u skladu sa odredbama odeljka 6. ove glave.
Izuzetno od stava 2, odnosno stava 3. ove tačke, banka može kapitalni zahtev za cenovni rizik da izračunava u skladu sa odredbama glave IV i tačke 299. ove odluke, ako su ispunjeni sledeći uslovi:
1) da vrednost pozicija iz knjige trgovanja ne prelazi 5% vrednosti ukupnih poslova banke niti 1.800.000.000 dinara duže od tri radna dana u kalendarskom mesecu;
2) da vrednost pozicija iz knjige trgovanja ni u jednom momentu ne prelazi 6% vrednosti ukupnih poslova banke niti 2.400.000.000 dinara.
Banka je dužna da o neispunjavanju uslova, odnosno prekoračenju limita iz stava 4. odredbe pod 2) ove tačke bez odlaganja obavesti Narodnu banku Srbije. Ako nakon toga utvrdi da banka ne ispunjava ni uslove iz stava 4. odredbe pod 1), Narodna banka Srbije obaveštava banku da je dužna da od narednog obračunskog perioda kapitalni zahtev za cenovni rizik izračunava na način utvrđen u stavu 2, odnosno stavu 3. te tačke.
Vrednost ukupnih poslova banke, u smislu stava 4. ove tačke, predstavlja zbir bruto knjigovodstvene vrednosti bilansne aktive i vanbilansnih stavki iz bankarske knjige i vrednosti knjige trgovanja izračunate u skladu sa stavom 7. ove tačke, izraženih u dinarima primenom zvaničnog srednjeg kursa Narodne banke Srbije na dan obračuna.
Pri obračunu učešća vrednosti knjige trgovanja u vrednosti ukupnih poslova banke (odnosno materijalne značajnosti knjige trgovanja), u smislu stava 4. ove tačke, dužničke hartije od vrednosti iskazuju se po nominalnoj ili tržišnoj vrednosti, vlasničke hartije od vrednosti iskazuju se po tržišnoj vrednosti, a finansijski derivati prema nominalnoj ili tržišnoj vrednosti odnosnog finansijskog instrumenta, odnosno robe, dok se duge i kratke pozicije sabiraju bez obzira na predznak.
KNJIGA TRGOVANJA
1. Raspoređivanje pozicija u knjigu trgovanja i bankarsku knjigu
311. Banka je dužna da sve bilansne pozicije i vanbilansne stavke rasporedi u knjigu trgovanja, odnosno u bankarsku knjigu uzimajući u obzir njihove karakteristike i namenu.
312. Banka je dužna da u knjigu trgovanja rasporedi sve pozicije u finansijskim instrumentima i robi koje se drže s namerom trgovanja ili radi zaštite od rizika po osnovu pozicija u drugim finansijskim instrumentima iz te knjige a za koje ne postoje ograničenja da se njima trguje ni ograničenja da se zaštite od rizika.
Bilansne i vanbilansne pozicije koje nisu raspoređene u knjigu trgovanja, banka raspoređuje u bankarsku knjigu.
Pozicije u finansijskim instrumentima i robi koje banka drži s namerom trgovanja su one za koje postoji namera banke da ih u kratkom roku nakon sticanja proda i/ili da u kratkom roku ostvari dobit na osnovu stvarne ili očekivane razlike između njihove nabavne i prodajne cene, odnosno na osnovu drugih promena cena ili kamatnih stopa.
Pozicije iz stava 3. ove tačke obuhvataju sopstvene pozicije banke (proprietary positions), pozicije proizašle iz transakcija na zahtev klijenata banke (client servicing) i pozicije iz poslova tzv. kreiranja tržišta (market making) kad banka obavlja poslove market mejkera.
Banka može u knjizi trgovanja da rasporedi pozicije iz stava 3. ove tačke samo ako su ispunjeni sledeći uslovi:
1) da je pri sticanju tih pozicija imala nameru trgovanja;
2) da je svojim unutrašnjim aktima ustanovila strategiju trgovanja za pozicije ili portfolija, koju je odobrio izvršni odbor banke, a koja uključuje i očekivani period njihovog držanja;
3) da su uspostavljene jasno definisane politike i procedure za aktivno upravljanje tim pozicijama, koje obuhvataju:
- utvrđivanje delokruga organizacionih jedinica ovlašćenih za zauzimanje pozicija (trading desks),
- utvrđivanje limita pojedinačnih pozicija, kontinuirano praćenje njihove iskorišćenosti i eventualnih prekoračenja, kao i periodičnu proveru njihove adekvatnosti,
- ovlašćenja pojedinih zaposlenih za zauzimanje pozicija u okviru utvrđenih limita i u skladu sa usvojenom strategijom trgovanja,
- uspostavljanje izveštavanja izvršnog odbora o pozicijama koje se vode u knjizi trgovanja, kao sastavnog dela sistema upravljanja rizicima banke,
- aktivno praćenje pozicija zasnovano na relevantnim izvorima tržišnih informacija i proceni utrživosti ili mogućnosti zaštite date pozicije ili rizika koji iz nje proizlaze, uključujući i procenu kvaliteta i raspoloživosti tržišnih informacija koje se koriste u procesu vrednovanja, odnosno procenu prometa tržišta i veličine pozicija kojima se trguje na tržištu,
- uspostavljanje internih procedura i kontrola za sprečavanje prevara;
4) da su uspostavljene politike i procedure za praćenje usklađenosti pozicija sa strategijom trgovanja banke, uključujući i praćenje prometa i pozicija za koje je prekoračen prvobitno utvrđen period držanja.
2. Upravljanje knjigom trgovanja i vrednovanje pozicija 3 iz knjige trgovanja
313. Banka je dužna da uspostavi jasno dokumentovane politike i procedure za upravljanje knjigom trgovanja koje naročito obuhvataju:
- aktivnosti koje banka smatra trgovanjem, odnosno sastavnim delom knjige trgovanja radi izračunavanja kapitalnih zahteva za tržišne rizike, kao i kriterijume za uključivanje pozicija u knjigu trgovanja koji su usklađeni s tač. 311. i 312. ove odluke,
- utvrđivanje mogućnosti dnevnog vrednovanja pojedinačnih pozicija knjige trgovanja po tekućoj tržišnoj vrednosti na likvidnom dvosmernom tržištu (mark-to-market),
- mogućnost identifikacije svih značajnih rizika pozicija za koje koristi modele za vrednovanje (mark-to-model), kao i mogućnost zaštite ovih pozicija instrumentima za koje postoji likvidno dvosmerno tržište i izvođenje pouzdanih procena koje se odnose na pretpostavke i parametre ovih modela,
- način na koji banka vrši procene vrednosti pozicija koji omogućava da ih proverava i potvrdi lice koje nije povezano s bankom,
- mogućnost i način uticaja pravnih ili drugih ograničenja na zatvaranje pozicije ili zaštitu pozicije u kratkom roku,
- način aktivnog upravljanja rizicima koji proizlaze iz pozicija iz knjige trgovanja,
- način na koji može vršiti prenos rizika ili pozicija iz knjige trgovanja u bankarsku knjigu, i obrnuto, obim u kome to može činiti, kao i kriterijume za izvršavanje takvih prenosa.
Politike i procedure iz stava 1. ove tačke, kao i njihovo sprovođenje, predmet su redovne provere unutrašnje revizije banke.
314. Pozicije koje proizlaze iz transakcija po osnovu repo i reverse repo transakcija, kao i transakcija davanja ili uzimanja u zajam hartija od vrednosti ili robe, banka može uključiti u knjigu trgovanja radi izračunavanja kapitalnog zahteva za tržišni rizik ako su oba dela transakcije u obliku novčanih sredstava ili hartija od vrednosti, a ispunjeni su uslovi iz tačke 312. ove odluke i sve pozicije koje proizlaze iz takvih transakcija uključuju se u knjigu trgovanja.
315. Banka je dužna da uspostavi i održava adekvatne sisteme i kontrole kojima se obezbeđuju oprezne i pouzdane procene vrednosti pozicija iz knjige trgovanja i u uslovima stresa, koji su zasnovani na tekućim tržišnim vrednostima, a naročito obuhvataju uspostavljanje odgovarajućih unutrašnjih akata za proces vrednovanja tih pozicija koje sadrže:
- jasno utvrđene odgovornosti organizacionih jedinica banke uključenih u proces vrednovanja,
- metode vrednovanja pozicija iz knjige trgovanja u skladu s tač. 316. i 317. ove odluke, kriterijume za izbor ovih metoda, kao i način i učestalost provere njihove adekvatnosti,
- izvore tržišnih informacija korišćene u procesu vrednovanja i analizu njihove adekvatnosti,
- uputstva za vrednovanje pozicija korišćenjem inputa koji su rezultat interne procene i koji odražavaju pretpostavke banke o tome kako bi učesnici na tržištu vrednovali te pozicije,
- učestalost nezavisnih procena vrednosti pozicija koje vrše zaposleni u organizacionoj jedinici u čijem je delokrugu vrednovanje pozicija,
- vreme preuzimanja podataka o cenama na zatvaranju tržišta i drugih tržišnih informacija korišćenih u procesu vrednovanja,
- procedure za prilagođavanje metoda vrednovanja.
Sve materijalno značajne promene unutrašnjih akata kojima se uređuje proces vrednovanja pozicija moraju biti odobrene od strane izvršnog odbora banke.
Sistemima i kontrolama iz stava 1. ove tačke obuhvata se i način na koji organizaciona jedinica u čijem je delokrugu vrednovanje pozicija izveštava izvršni odbor.
Banka je dužna da obezbedi da organizaciona jedinica iz stava 2. ove tačke bude nezavisna od organizacione jedinice u čijem je delokrugu preuzimanje tržišnih rizika.
316. Banka je dužna da sve pozicije iz knjige trgovanja vrednuje po tekućoj tržišnoj vrednosti (mark-to-market), što podrazumeva najmanje dnevno usklađivanje vrednosti ovih pozicija s raspoloživim cenama zatvaranja tih pozicija koje se dobijaju iz nezavisnog izvora tržišnih informacija (npr. podaci pribavljeni s priznatih berzi).
Pri vrednovanju pozicije po tekućoj tržišnoj vrednosti, banka je dužna da koristi oprezniju procenu, tj. cenu nepovoljniju od kupovne i prodajne cene za tu poziciju, osim kad za odgovarajuću vrstu finansijskog instrumenta ili robe obavlja poslove market-mejkera, kad poziciju može zatvoriti po srednjoj ceni na tržištu. Banka koja koristi srednju cenu dužna je da o tome svakih šest meseci obaveštava Narodnu banku Srbije, uz dostavljene dokaze o tome da poziciju mogu zatvoriti po srednjoj ceni na tržištu i dokumentaciju o pozicijama zatvorenim na ovaj način.
317. Banka je dužna da koristi modele za vrednovanje pozicija iz knjige trgovanja (mark-to-model) ako vrednovanje po tekućoj tržišnoj vrednosti nije moguće zbog toga što nezavisni izvori tržišnih informacija nisu dostupni, ili banka opravdano sumnja u njihovu objektivnost, ili su ove pozicije manje likvidne.
Vrednovanje pozicija iz knjige trgovanja na osnovu modela iz stava 1. ove tačke može se izvršiti na osnovu referentne vrednosti, ekstrapolacije ili na drugi način - korišćenjem tržišnih informacija.
Manje likvidne pozicije mogu nastati kao posledica promena tržišnih faktora ili faktora koji se odnose na banku (npr. koncentracije u pojedinim pozicijama i/ili pozicije za koje je prekoračen prvobitno utvrđen period držanja).
Banka koja koristi modele iz stava 1. ove tačke dužna je da ispuni sledeće uslove:
- da obezbedi da su sve kvalitativne i kvantitativne pretpostavke modela dokumentovane na odgovarajući način,
- da su identifikovani svi značajni rizici koji proizlaze iz pozicija iz knjige trgovanja za koje banka koristi ove modele,
- da članovi izvršnog odbora imaju uvid u pozicije iz knjige trgovanja za koje banka koristi ove modele i uticaj takvog načina vrednovanja na pouzdanost izveštaja o rizicima kojima je banka izložena ili može biti izložena u svom poslovanju, kao i o rezultatima poslovanja banke koji proizlaze iz aktivnosti trgovanja,
- da su izvori tržišnih informacija koji su korišćeni u procesu vrednovanja usklađeni, ako je moguće, s tržišnim cenama, a da su njihova adekvatnost za poziciju koja se vrednuje i parametri korišćenog modela predmet redovne provere,
- da banka koristi metodologiju vrednovanja koja predstavlja opšteprihvaćenu tržišnu praksu za određeni finansijski instrument ili robu - ako takva metodologija postoji,
- ako je interno razvila model za vrednovanje pozicija iz knjige trgovanja - da su u njegovom razvoju učestvovali zaposleni sa odgovarajućim znanjem i iskustvom iz organizacionih jedinica koje su nezavisne u odnosu na organizacione jedinice u čijem je delokrugu preuzimanje tržišnih rizika, a da je model zasnovan na odgovarajućim pretpostavkama koje proverava organizaciona jedinica koja nije učestvovala u razvoju modela, niti se u njoj obavljaju poslovi preuzimanja ovih rizika, uključujući i proveru adekvatnosti matematičkih formula, pretpostavki i primene modela,
- da je uspostavljena procedura kojom se uređuje način izmene modela (change control procedure) i obezbeđena ista verzija modela koju banka periodično koristi za proveru rezultata korišćenog modela,
- da zaposleni uključeni u proces upravljanja rizicima imaju uvid u nedostatke korišćenog modela kako bi adekvatno procenili njihov uticaj na rezultate dobijene korišćenjem tog modela,
- da je adekvatnost modela predmet redovne provere koju banka vrši najmanje jednom godišnje, a koja uključuje i procenu adekvatnosti pretpostavki, analizu dobiti i gubitka u odnosu na faktore rizika, te poređenje realizovanih vrednosti kod zaključivanja transakcija u odnosu na rezultate modela.
Banka je dužna da najmanje jednom mesečno vrši nezavisnu proveru cena, bez obzira na to koji metod koristi za dnevno vrednovanje pozicija iz knjige trgovanja. Provera može da se vrši i češće, u zavisnosti od učestalosti aktivnosti trgovanja i karakteristika tržišta. U procesu provere tržišnih cena banka je dužna da koristi nezavisne i objektivne izvore cena, ukoliko su oni dostupni, a koji uključuju: tekuće tržišne cene na likvidnom tržištu, cene po kojima banka trguje istim ili sličnim instrumentima na tržištu, informacije dobijene od svih relevantnih tržišnih učesnika, procene vrednosti sredstava obezbeđenja drugih ugovornih strana i dr.
Proveru tržišnih cena ili cena dobijenih primenom modela treba da vrše zaposleni koji su nezavisni u odnosu na zaposlene iz organizacione jedinice u čijem je delokrugu preuzimanje tržišnih rizika. Ako nisu dostupni nezavisni i objektivni izvori cena, potrebna su određena, oprezno odmerena dodatna prilagođavanja vrednosti koja je banka dužna da obračunava najmanje jednom u tri meseca.
Banka je dužna da dodatna prilagođavanja vrednosti iz ove tačke i tačke 318. ove odluke izračunava kao 0,1% zbira apsolutne vrednosti imovine i obaveza koje se obračunavaju po fer vrednosti u skladu s MSFI/MRS. Banka može iz obračuna dodatnog prilagođavanja vrednosti isključiti fer vrednost imovine i obaveza netiranih pozicijama suprotnog predznaka u identičnoj imovini ili obavezama. Ukoliko promena načina vrednovanja imovine ili obaveza nema uticaj ili delimično utiče na osnovni akcijski kapital, banka može u obračun dodatnog prilagođavanja vrednosti da uključi fer vrednost imovine ili obaveza proporcionalno njihovom uticaju na osnovni akcijski kapital.
Sva imovina i obaveze koje se obračunavaju po fer vrednosti u skladu sa MSFI/MRS i koje nisu uključene ili su delimično uključene u obračun dodatnog prilagođavanja vrednosti iz stava 6. ove tačke moraju biti na odgovarajući način dokumentovane, odobrene od strane izvršnog odbora banke i najmanje jednom godišnje predmet unutrašnje revizije banke.
Banka je dužna da uspostavi i redovno proverava procedure za utvrđivanje potrebe za prilagođavanje vrednosti, kao i za nezavisnu kontrolu obračunatih iznosa dodatnog prilagođavanja vrednosti.
318. Banka je dužna da vrednosti pozicija iz knjige trgovanja usklađuje u skladu s tačkom 317. ove odluke uzimajući u obzir:
- opšte faktore: kreditnu maržu, troškove zatvaranja pozicija, operativni rizik, neizvesnost u kretanju tržišnih cena, prevremeno zatvaranje pozicija, troškove investiranja i finansiranja, buduće administrativne troškove i rizik modela,
- faktore koji se odnose na procenu likvidnosti pozicija: period neophodan za uspostavljanje zaštite pozicije, odnosno rizika svojstvenih toj poziciji, volatilnost i prosečnu razliku između kupovne i prodajne cene, raspoloživost tržišnih kotacija (mogućnost utvrđivanja broja i identiteta market-mejkera), volatilnost i prosečni obim trgovanja, uključujući i obim trgovanja u stresnim tržišnim uslovima, tržišne koncentracije, vreme držanja pozicije, iznos u kom se vrednovanje zasniva na modelu i uticaj drugih rizika modela.
Ako za vrednovanje pozicija iz knjige trgovanja koristi modele trećeg lica, banka je dužna da razmotri da li je potrebno da se izvrše određena prilagođavanja vrednosti pozicija izračunatih na ovaj način. Takođe, banka treba da uzme u obzir potrebu za prilagođavanjem vrednosti manje likvidnih pozicija i da redovno proverava adekvatnost tih prilagođavanja. Dodatno, banka je dužna da posebno proceni potrebu za prilagođavanjem vrednosti pozicija usled moguće nepouzdanosti parametara koji predstavljaju inpute u modelu.
Ako u svom portfoliju drži složenije instrumente, poput instrumenata sekjuritizacije ili kreditne derivate sa n-tim neizmirenjem obaveze, banka je dužna da proceni da li je potrebno izvršiti prilagođavanja u vrednovanju, kako bi se obuhvatili mogući rizici upotrebe neadekvatne metodologije za procenu vrednosti ovih instrumenata i mogući rizici povezani sa upotrebom interno procenjenih (i time moguće neodgovarajućih) parametara u modelu.
319. Interna zaštita je pozicija iz knjige trgovanja koja u znatnoj meri ili u potpunosti uklanja pojedinačne rizike određene pozicije ili grupe pozicija iz bankarske knjige.
Pozicije interne zaštite uključuju se u knjigu trgovanja pod uslovom da se drže s namerom trgovanja u skladu s tačkom 312. ove odluke, da se na njih primenjuju metode vrednovanja u skladu s tač. 316. i 317. te odluke i da su ispunjeni sledeći uslovi:
- da osnovna svrha interne zaštite nije smanjenje kapitalnih zahteva,
- da su sve transakcije interne zaštite na odgovarajući način dokumentovane, da ih je odobrio izvršni odbor banke ili drugo lice koje je ovaj odbor ovlastio i da su predmet unutrašnje revizije banke,
- da su transakcije interne zaštite ugovorene pod tržišnim uslovima,
- da se tržišnim rizicima koji su posledica interne zaštite upravlja u knjizi trgovanja u okviru odobrenih limita,
- da su uspostavljene procedure za praćenje transakcija interne zaštite.
Uključivanje pozicija interne zaštite u knjigu trgovanja u smislu stava 2. ove tačke ne utiče na izračunavanje kapitalnog zahteva za onu stranu transakcije interne zaštite koja se odnosi na pozicije ili grupe pozicija iz bankarske knjige.
Izuzetno od stava 2. ove tačke, ako banka transakcijama interne zaštite štiti izloženost kreditnom riziku ili riziku druge ugovorne strane po osnovu pozicije ili grupe pozicija iz bankarske knjige korišćenjem kreditnog derivata koji se vodi u knjizi trgovanja banke, izloženost po osnovu bankarske knjige smatra se zaštićenom u smislu izračunavanja kapitalnih zahteva samo pod uslovom da je banka od pružaoca zaštite koji nije s njom povezan kupila kreditni derivat koji ispunjava uslove za nematerijalnu kreditnu zaštitu iz knjige trgovanja.
U slučaju iz stava 4. ove tačke, ni interna ni eksterna zaštita kreditnim derivatima ne uključuje se u knjigu trgovanja radi izračunavanja kapitalnih zahteva.
KAPITALNI ZAHTEV ZA CENOVNI RIZIK
320. Kapitalni zahtev za cenovni rizik jednak je zbiru kapitalnog zahteva za opšti i specifični cenovni rizik po osnovu dužničkih hartija od vrednosti i kapitalnog zahteva za opšti i specifični cenovni rizik po osnovu vlasničkih hartija od vrednosti.
Sekjuritizovane pozicije iz knjige trgovanja će se za potrebe izračunavanja kapitalnog zahteva za cenovni rizik tretirati kao dužničke hartije od vrednosti.
Pri izračunavanju kapitalnog zahteva za cenovni rizik, neto pozicija u svakom pojedinačnom instrumentu raspoređenom u knjizi trgovanja izračunava se kao razlika između duge (vlasništvo ili kupovina) i kratke (pozajmljivanje od drugih lica ili prodaja) pozicije u tom instrumentu.
Netiranje između kratkih i dugih pozicija dozvoljeno je samo za ekvivalentne instrumente.
Sve neto pozicije u instrumentima koji glase na stranu valutu preračunavaju se dnevno u dinare primenom zvaničnog srednjeg kursa Narodne banke Srbije na dan obračuna.
1. Finansijski derivati i drugi finansijski instrumenti koji se vode u knjizi trgovanja
321. Radi izračunavanja kapitalnog zahteva za cenovni rizik - pozicije u finansijskim derivatima raščlanjuju se na hipotetičke pozicije ili na pozicije u hartijama od vrednosti koje su predmet ovog derivata, i to na sledeći način:
1) ako su predmet ugovora kamatne stope ili dužničke hartije od vrednosti:
- na duge i kratke pozicije u dužničkoj hartiji od vrednosti koja je predmet ugovora (u daljem tekstu: odnosni dužnički instrument),
- na hipotetičke duge i kratke pozicije u nerizičnoj dužničkoj hartiji od vrednosti, odnosno državnoj obveznici bez kupona (u daljem tekstu: hipotetički dužnički instrumenti),
- na duge i kratke pozicije u odnosnom dužničkom instrumentu i hipotetičkom dužničkom instrumentu;
2) ako su predmet ugovora vlasničke hartije od vrednosti:
- na duge i kratke pozicije u vlasničkoj hartiji od vrednosti koja je predmet ugovora, u portfoliju ovih hartija ili berzanskom indeksu tih hartija (u daljem tekstu: odnosni vlasnički instrument),
- na duge i kratke pozicije u hipotetičkom dužničkom instrumentu;
3) ako je predmet ugovora roba:
- na duge i kratke pozicije u robi na koju se odnose,
- na duge i kratke pozicije u hipotetičkom dužničkom instrumentu.
322. Banka je dužna da pozicije u hartijama od vrednosti koje su predmet ugovora a rezultat su raščlanjavanja pozicija u finansijskim derivatima uključuje u izračunavanje kapitalnih zahteva za specifične i opšte cenovne rizike po osnovu dužničkih ili vlasničkih hartija od vrednosti, i to u iznosu tržišne vrednosti ove hartije.
Pozicije u hipotetičkim dužničkim instrumentima uključuju se u obračun kapitalnih zahteva za opšte cenovne rizike po osnovu dužničkih hartija od vrednosti. Pri izračunavanju kapitalnih zahteva za specifični rizik, pozicije u hipotetičkim dužničkim instrumentima uključuju se u kategoriju pozicija kojima se dodeljuje ponder specifičnog rizika 0%.
323. U slučaju fjučers ili forvard ugovora koji se odnose na hartije od vrednosti ili kamatne stope - duga pozicija predstavlja poziciju u kojoj se banci plaća ugovorena kamatna stopa ili prenosi hartija od vrednosti, a kratka pozicija je pozicija u kojoj banka plaća ugovorenu kamatnu stopu ili prenosi hartiju od vrednosti.
Duga (kratka) pozicija u kamatnom fjučers ili forvard ugovoru prikazuje se kao kombinacija duge (kratke) pozicije u hipotetičkom dužničkom instrumentu s dospećem jednakim periodu do datuma izmirenja/isporuke uvećanom za period dospeća odnosnog instrumenta i kratke (duge) pozicije u hipotetičkom dužničkom instrumentu s dospećem jednakim periodu do datuma izmirenja/isporuke.
U slučaju terminske kupovine (prodaje) dužničke hartije od vrednosti primenjuje se kombinacija duge (kratke) pozicije u odnosnoj hartiji od vrednosti s njenim preostalim rokom dospeća i kratke (duge) pozicije u hipotetičkom dužničkom instrumentu s rokom dospeća koji je jednak roku dospeća terminskog ugovora.
Duga (kratka) pozicija u vlasničkom fjučers ili forvard ugovoru prikazuje se kao kombinacija duge (kratke) pozicije u odnosnom vlasničkom instrumentu i kratke (duge) pozicije u hipotetičkom dužničkom instrumentu s rokom dospeća koji je jednak roku dospeća ugovora.
Duga (kratka) pozicija u valutnom forvard ugovoru prikazuje se kao kombinacija duge (kratke) pozicije u hipotetičkom dužničkom instrumentu u kupljenoj valuti i kratke (duge) pozicije u hipotetičkom dužničkom instrumentu u prodatoj valuti s rokom dospeća koji je jednak roku dospeća ugovora.
324. Radi izračunavanja kapitalnog zahteva za cenovni rizik, pozicije u opcijama i varantima na kamatne stope, dužničke instrumente, vlasničke instrumente, indekse vlasničkih hartija od vrednosti, finansijske fjučerse, svopove i strane valute tretiraju se kao pozicije čija je vrednost jednaka vrednosti odnosne izloženosti pomnožene odgovarajućim delta koeficijentom. Banka može ove pozicije netirati pozicijama suprotnog znaka u identičnim odnosnim hartijama od vrednosti ili derivatima.
Banka je dužna da podatak o delta koeficijentu opcije preuzima sa berze na kojoj se tom opcijom trguje. Izuzetno, za opcije koje su predmet vanberzanske trgovine ili u slučaju da delta koeficijent određene opcije nije raspoloživ na berzi, banka može da izračunava delta koeficijent primenom odgovarajućeg internog modela, uz prethodnu saglasnost Narodne banke Srbije.
Narodna banka Srbije će banci dati prethodnu saglasnost iz stava 2. ove tačke ako utvrdi da korišćeni model obezbeđuje zadovoljavajuću procenu procentualne promene cene opcije ili varanta usled inkrementalne (neznatne) promene tržišne cene predmeta ugovora.
Banka je dužna da u obračun kapitalnih zahteva za cenovni rizik na odgovarajući način uključi i ostale rizike, pored delta rizika, u vezi s opcijama.
Na opcije koje se odnose na kamatne stope, svopove, dužničke i vlasničke hartije od vrednosti, berzanske indekse, forvarde i fjučerse, kao i na varante koji se odnose na dužničke i vlasničke hartije od vrednosti - primenjuju se odredbe odeljka 5. ove glave.
325. Pozicije u svop ugovorima prikazuju se kao kombinacija hipotetičkih pozicija u hartijama od vrednosti odgovarajućeg dospeća koje su predmet tih ugovora, i to:
1) u slučaju kamatnih svopova - kao kombinacija duge i kratke pozicije u hipotetičkim dužničkim instrumentima s promenljivom kamatnom stopom (s rokom dospeća koji je jednak periodu do datuma sledećeg određivanja kamatne stope) i/ili fiksnom kamatnom stopom (s rokom dospeća koji je jednak roku dospeća ugovora);
2) u slučaju međuvalutnih kamatnih svopova - kao kombinacija duge i kratke pozicije u hipotetičkim dužničkim instrumentima u odgovarajućim valutama, u skladu sa odredbom pod 1) ove tačke, zavisno od toga da li je kamatna stopa na datu valutu fiksna ili promenljiva;
3) u slučaju vlasničkih svopova - kao kombinacija:
- duge (kratke) pozicije u odnosnom vlasničkom instrumentu po osnovu kog banka prima (plaća) iznos zasnovan na promeni cene tog instrumenta i
- kratke (duge) pozicije u odnosnom vlasničkom instrumentu ili odnosnom dužničkom instrumentu po osnovu kog banka plaća (prima) iznos zasnovan na promeni cene tog instrumenta.
5. Konvertibilne hartije od vrednosti
326. Pozicije u konvertibilnim hartijama od vrednosti prikazuju se kao pozicije u vlasničkim hartijama od vrednosti ako je:
- period do prvog datuma kad se može izvršiti konverzija kraći od tri meseca ili je, ako je taj prvi datum prošao, period do sledećeg datuma kraći od jedne godine,
- tržišna vrednost dužničke hartije od vrednosti za manje od 10% veća od odgovarajućeg iznosa tržišne vrednosti vlasničke hartije od vrednosti koja se može pribaviti konverzijom.
Ako nisu ispunjeni uslovi iz stava 1. ove tačke - pozicije u konvertibilnim hartijama od vrednosti prikazuju se kao pozicije u dužničkim hartijama od vrednosti.
Pozicije u konvertibilnim hartijama od vrednosti mogu biti netirane suprotnim pozicijama u dužničkim ili vlasničkim hartijama od vrednosti samo ako banka ima dovoljan kapital za pokriće gubitaka koji mogu nastati u slučaju konverzije.
6. Pozicije u hartijama od vrednosti iz knjige trgovanja koje proizilaze iz repo transakcija ili transakcija davanja u zajam hartija od vrednosti
327. Pozicije u hartijama od vrednosti iz knjige trgovanja koje proizlaze iz repo transakcija ili transakcija davanja u zajam hartija od vrednosti prikazuju se kao kombinacija duge pozicije u privremeno prodatoj ili pozajmljenoj dužničkoj ili vlasničkoj hartiji od vrednosti i hipotetičke kratke pozicije u državnoj obveznici odgovarajuće ročnosti čija je kuponska stopa jednaka stopi prinosa na ove transakcije.
Pozicije iz stava 1. ove tačke mogu biti prebijane (netirane) suprotnim pozicijama u ekvivalentnim hartijama od vrednosti.
328. Pozicije u hartijama od vrednosti iz knjige trgovanja koje proizlaze iz reverse repo transakcija ili transakcija uzimanja u zajam hartija od vrednosti prikazuju se kao hipotetičke duge pozicije u državnim obveznicama odgovarajuće ročnosti i kuponske stope jednake stopi prinosa na ove transakcije.
329. Radi izračunavanja kapitalnog zahteva za opšti i specifični cenovni rizik, pružalac zaštite koristi hipotetičku vrednost kreditnog derivata ako ovom odlukom nije drugačije utvrđeno.
Izuzetno od stava 1. ove tačke, banka može da, umesto hipotetičke vrednosti, koristi hipotetičku vrednost uvećanu za neto promenu tržišne vrednosti kreditnog derivata od trenutka nastanka transakcije, pri čemu se neto smanjenje tržišne vrednosti za pružaoca kreditne zaštite prikazuje sa negativnim predznakom.
Radi izračunavanja kapitalnog zahteva za specifični cenovni rizik, osim u slučaju TRS derivata, koristi se rok dospeća ugovora o kreditnom derivatu umesto roka dospeća obaveze.
Iznos pozicija se utvrđuje na sledeći način:
1) pružalac zaštite prikazuje TRS derivat kao kombinaciju duge pozicije u referentnoj obavezi (radi izračunavanja kapitalnog zahteva za opšti i specifični cenovni rizik) i kratke pozicije u državnim obveznicama s rokom dospeća jednakim periodu do sledećeg utvrđivanja kamatne stope i kojima je dodeljen ponder rizika 0% u skladu sa Glavom IV odeljak 1. ove odluke radi izračunavanja kapitalnog zahteva za opšti cenovni rizik;
2) pružalac zaštite prikazuje CDS derivat kao sintetičku dugu poziciju u referentnoj obavezi (radi izračunavanja kapitalnog zahteva za specifični cenovni rizik), dok se kapitalni zahtev za opšti cenovni rizik po ovom osnovu ne računa. Izuzetno, ako je CDS derivatu dodeljen kreditni rejting podobne agencije za rejting i ako su ispunjeni uslovi iz tačke 337. ove odluke - pružalac zaštite prikazuje CDS derivat kao dugu poziciju u tom derivatu. Ako je po osnovu CDS derivata ugovoreno plaćanje premija ili kamate, takvi tokovi gotovine prikazuju se kao pozicije u hipotetičkim dužničkim instrumentima s dospećem jednakim dospeću ugovora;
3) CLN derivat s jednim referentnim licem se radi obračuna kapitalnog zahteva za opšti cenovni rizik prikazuje kao duga pozicija u kamatnom proizvodu, a radi obračuna kapitalnog zahteva za specifični cenovni rizik, CLN derivat s jednim referentnim licem prikazuje se kao sintetička duga pozicija u referentnoj obavezi i dodatna duga pozicija prema izdavaocu derivata. Izuzetno, ako je CLN derivatu s jednim referentnim licem dodeljen kreditni rejting podobne agencije za rejting i ako su ispunjeni uslovi iz tačke 337. ove odluke - radi obračuna kapitalnog zahteva za specifični cenovni rizik prikazuje se samo duga pozicija u tom derivatu;
4) CLN derivat s više referentnih lica koji pruža proporcionalnu zaštitu se radi obračuna kapitalnog zahteva za specifični cenovni rizik prikazuje kao duga pozicija prema izdavaocu derivata i pozicije prema svakom od referentnih lica, pri čemu se ukupan hipotetički iznos derivata raspoređuje po pozicijama srazmerno učešću svake od izloženosti prema referentnom licu u ukupnom hipotetičkom iznosu ugovora. Ako postoji više izloženosti prema jednom referentnom licu, u obračun kapitalnog zahteva za specifični cenovni rizik se uključuje izloženost sa najvišim ponderom rizika;
5) kreditni derivat sa prvim neizmirenjem obaveze se prikazuje kao pozicija u hipotetičkom iznosu obaveze svakog referentnog lica, a ako je iznos maksimalne moguće isplate u slučaju kreditnog događaja manji od iznosa kapitalnog zahteva izračunatog na ovaj način, banka može da kapitalni zahtev za specifični cenovni rizik izračunava na osnovu iznosa maksimalne isplate;
6) kreditni derivat sa n-tim neizmirenjem obaveze se prikazuje kao pozicija u hipotetičkom iznosu obaveze svakog referentnog lica osim za n-1 referentnih lica sa najnižim kapitalnim zahtevima za specifični rizik, a ako je iznos maksimalne moguće isplate u slučaju kreditnog događaja manji od iznosa kapitalnog zahteva izračunatog na ovaj način, banka može da kapitalni zahtev za specifični cenovni rizik izračunava na osnovu iznosa maksimalne isplate.
Ako je kreditnom derivatu sa n-tim neizmirenjem obaveze dodeljen kreditni rejting podobne agencije za rejting, pružalac zaštite izračunava kapitalni zahtev za specifični cenovni rizik korišćenjem rejtinga derivata i primenjujući odgovarajuće pondere rizika za sekjuritizaciju.
Radi izračunavanja kapitalnog zahteva za cenovni rizik, korisnik zaštite prikazuje pozicije proizašle iz upotrebe kreditnih derivata na isti način kao i pružalac kreditne zaštite, ali sa suprotnim predznakom, osim u slučaju CLN derivata (kod kojeg se ne prikazuje kratka pozicija prema izdavaocu ovog derivata). Radi izračunavanja kapitalnog zahteva za korisnika kreditne zaštite, koristi se hipotetička vrednost kreditnog derivata.
Izuzetno od prethodnog stava, banka može umesto hipotetičke vrednosti da koristi iznos hipotetičke vrednosti uvećan za neto promenu tržišne vrednosti kreditnog derivata od trenutka transakcije, pri čemu se neto smanjenje tržišne vrednosti za pružaoca kreditne zaštite prikazuje sa negativnim predznakom.
Ako je kreditnim derivatom ugovoreno pravo prevremenog otkupa (call option) uz mogućnost povećanja prinosa (step-up) u određenom trenutku, taj trenutak smatra se dospećem instrumenta zaštite.
Banka je dužna da kreditne derivate iz tačke 341. st. 1. ili 4. uključi samo u obračun kapitalnih zahteva za specifični rizik u skladu sa stavom 5. te tačke.
330. Ako finansijske instrumente iz tačke 323. st. 1. do 3. i stav 5. te tačke, tačke 324. stav 1. i tačke 325. odredbe pod 1) i 2) ove odluke vrednuje po tekućoj tržišnoj vrednosti i upravlja kamatnim rizikom po tom osnovu korišćenjem diskontovanih budućih tokova gotovine - banka može koristiti modele osetljivosti radi izračunavanja pozicija u tim instrumentima, kao i pozicija u obveznicama čija se amortizacija vrši kroz više otplata tokom perioda do dospeća (a ne kroz jednu otplatu glavnice na datum dospeća obveznice), uz prethodnu saglasnost Narodne banke Srbije.
Pozicije dobijene korišćenjem modela osetljivosti banka uključuje u obračun kapitalnog zahteva za opšti cenovni rizik dužničkih instrumenata.
Narodna banka Srbije će dati prethodnu saglasnost za korišćenje modela osetljivosti ako je banka ispunila sledeće uslove:
- da pozicije dobijene korišćenjem ovog modela imaju istu osetljivost na promene kamatnih stopa kao i odnosni tokovi gotovine,
- da je osetljivost procenjena na osnovu nezavisnih promena kamatnih stopa iz uzorka kamatnih stopa na krivi prinosa s najmanje jednom tačkom u svakoj klasi dospeća iz tabele iz tačke 343. ove odluke (Tabela 31).
Pri podnošenju zahteva za dobijanje saglasnosti iz stava 1. ove tačke, banka je dužna da Narodnoj banci Srbije dostavi:
- dokumentaciju o vrsti finansijskih instrumenata za koje banka namerava da primenjuje model osetljivosti,
- dokumentaciju o osnovnim karakteristikama i pretpostavkama modela osetljivosti,
- dokumentaciju o ispunjenosti uslova iz stava 3. te tačke.
Ako nakon dobijene saglasnosti iz stava 1. ove tačke, banka prestane da ispunjava uslove iz stava 3. te tačke - dužna je da Narodnoj banci Srbije bez odlaganja dostavi plan o usklađivanju sa ovim uslovima u odgovarajućem roku ili dokaz da posledice neispunjavanja tih uslova nisu materijalno značajne. Ako je banka dostavila ovaj plan, dužna je da Narodnu banku Srbije bez odlaganja obavesti o tome da se uskladila sa uslovima iz stava 3. ove tačke u roku iz ovog plana.
Narodna banka Srbije može ukinuti saglasnost iz stava 1. ove tačke ako utvrdi da banka ne ispunjava uslove iz stava 3. ove tačke a posledice tog neispunjavanja su materijalno značajne, ako banka nije dostavila plan iz stava 5. te tačke, ako je dostavila neadekvatan plan ili ne postupa po dostavljenom planu.
331. Ako ne koristi modele osetljivosti iz tačke 330. ove odluke, banka može, radi izračunavanja kapitalnog zahteva za opšti cenovni rizik, a pre raščlanjivanja pozicija u derivatima na pozicije u hartijama od vrednosti koje su predmet ugovora - netirati duge i kratke pozicije u identičnim instrumentima iz tačke 323. st. 1. do 3. i stav 5. te tačke, tačke 324. stav 1. i tačke 325. odredbe pod 1) i 2) ove odluke ako su ispunjeni sledeći uslovi:
1) da su pozicije iste nominalne vrednosti i glase na istu valutu;
2) da su referentne kamatne stope (za pozicije s promenljivom kamatnom stopom) ili kuponske stope (za pozicije s fiksnom kamatnom stopom) iste ili se ne razlikuju u značajnoj meri;
3) da su datumi sledećeg određivanja kamatne stope (za pozicije s promenljivom kamatnom stopom) ili datumi dospeća (za pozicije s fiksnom kamatnom stopom) u skladu sa sledećim ograničenjima:
- ovi datumi su isti za pozicije kod kojih su rokovi do ponovnog određivanja kamatne stope, odnosno do dospeća kraći od mesec dana,
- ovi datumi se ne razlikuju za više od sedam dana za pozicije kod kojih su rokovi do ponovnog određivanja kamatne stope, odnosno dospeća duži od mesec dana a kraći od godinu dana,
- ovi datumi se ne razlikuju za više od 30 dana za pozicije kod kojih su rokovi do ponovnog određivanja kamatne stope, odnosno dospeća duži od godinu dana.
9. Cenovni rizik po osnovu dužničkih hartija od vrednosti
332. Kapitalni zahtev za cenovni rizik po osnovu dužničkih hartija od vrednosti jednak je zbiru kapitalnih zahteva za specifični i opšti cenovni rizik po osnovu ovih hartija.
333. Banka je dužna da neto pozicije u svakoj dužničkoj hartiji od vrednosti raspoređuje u skladu s valutom na koju glase i da kapitalni zahtev za opšti i specifični cenovni rizik po osnovu ove hartije izračunava za svaku valutu posebno.
a) Specifični cenovni rizik po osnovu dužničkih hartija od vrednosti
334. Banka može da odredi maksimalni iznos kapitalnog zahteva za specifični rizik neto pozicije u dužničkom instrumentu u visini maksimalnog mogućeg gubitka po osnovu rizika neizmirenja obaveza. Za kratke pozicije, banka može da izračunava ovaj maksimalni iznos kao promenu vrednosti do koje bi došlo kada instrument ili, kada je to primenljivo, odnosna izloženost više ne bi nosili rizik nastupanja statusa neizmirenja obaveza.
b) Kapitalni zahtevi za dužničke instrumente osim sekjuritizovanih pozicija
335. Banka je dužna da neto pozicije u knjizi trgovanja, osim sekjuritizovanih pozicija na koje se primenjuje tretman iz tačke 320. st. 2. do 4. ove odluke, raspoređuje u odgovarajuće kategorije na osnovu njihovog izdavaoca/dužnika, eksternog ili internog kreditnog rejtinga i preostalog perioda dospeća i da ih nakon toga pomnoži propisanim ponderima u skladu sa sledećom tabelom (Tabela 30):
Tabela 30.
Kategorija |
Ponder rizika |
Dužničke hartije od vrednosti kojima je dodeljen ponder rizika 0% u skladu sa standardizovanim pristupom za kreditni rizik. |
0% |
Dužničke hartije od vrednosti kojima je dodeljen ponder rizika 20% ili 50% u skladu sa standardizovanim pristupom za kreditni rizik i kvalifikovane pozicije definisane u tački 337. ove odluke |
0,25% (ako je preostali period dospeća 6 meseci ili kraći) 1,00% (ako je preostali period dospeća duži od 6 meseci, a kraći od 24 meseca) 1,60% (ako je preostali period dospeća duži od 24 meseca) |
Dužničke hartije od vrednosti kojima je dodeljen ponder rizika 100% u skladu sa standardizovanim pristupom za kreditni rizik. |
8,00% |
Dužničke hartije od vrednosti kojima je dodeljen ponder rizika 150% u skladu sa standardizovanim pristupom za kreditni rizik. |
12,00% |
Radi izračunavanja kapitalnog zahteva za specifični cenovni rizik, banka je dužna da sabira ponderisane pozicije dobijene u skladu s Tabelom 30. bez obzira na to da li su te pozicije duge ili kratke.
Pri izračunavanju kapitalnih zahteva za specifični cenovni rizik po osnovu dužničkih hartija od vrednosti banka ne uzima u obzir pozicije knjige trgovanja u tim hartijama koje je sama izdala.
336. Ako primenjuje IRB pristup na klasu izloženosti u koju je razvrstan izdavalac dužničke hartije od vrednosti, radi raspoređivanja te hartije od vrednosti u odgovarajuću kategoriju iz tabele iz tačke 335. ove odluke (Tabela 30), banka utvrđuje nivo kreditnog kvaliteta izdavaoca na osnovu njegovog PD parametra. Ovaj parametar mora biti jednak ili niži od PD parametra koji se povezuje sa odgovarajućim nivoom kreditnog kvaliteta u skladu sa standardizovanim pristupom za kreditni rizik.
U slučaju obveznica kojima se u skladu s tačkom 57. st. 1. i 2. ove odluke dodeljuje ponder rizika 10%, banka može kapitalni zahtev za specifični rizik da izračunava u visini 1/2 kapitalnog zahteva za specifični rizik obračunatog primenom odgovarajućeg pondera rizika definisanog Tabelom 30. iz tačke 335. te odluke za dužničke hartije od vrednosti kojima je dodeljen ponder rizika 20% ili 50% u skladu sa standardizovanim pristupom za kreditni rizik i kvalifikovane pozicije definisane u tački 337. te odluke.
337. Kvalifikovane pozicije obuhvataju:
1) duge i kratke pozicije u dužničkim hartijama od vrednosti kojima nije dodeljen kreditni rejting izabrane agencije za rejting a koje ispunjavaju sledeće uslove:
- banka ih ocenjuje dovoljno likvidnim,
- njihov kreditni kvalitet je, prema proceni banke, jednak ili bolji od kreditnog kvaliteta dužničkih hartija od vrednosti, kojima je dodeljen ponder rizika 20% ili 50% u skladu sa standardizovanim pristupom za kreditni rizik (Tabela 30 iz tačke 335. ove odluke),
- kotiraju se na najmanje jednoj priznatoj berzi;
2) duge i kratke pozicije u dužničkim hartijama od vrednosti koje su izdale banke koje kapitalne zahteve računaju na način utvrđen ovom odlukom ili propisima Evropske unije kojima se uređuje izračunavanje tih kapitalnih zahteva (odnosno propisima koji su usklađeni sa ovim propisima Evropske unije), a koje banka ocenjuje dovoljno likvidnim i čiji je kreditni kvalitet, prema proceni banke, jednak ili bolji od kreditnog kvaliteta dužničkih hartija od vrednosti kojima je dodeljen ponder rizika 20% ili 50% u skladu sa standardizovanim pristupom za kreditni rizik (Tabela 30 iz tačke 335. ove odluke);
3) duge i kratke pozicije u dužničkim hartijama od vrednosti koje su izdala druga pravna lica koja su, u skladu sa glavom IV, odeljak 1. ove odluke, razvrstana u klasu izloženosti prema bankama i kojima, u skladu s tim odeljkom, odgovara nivo kreditnog kvaliteta 2 ili bolji, a koja su dužna da ispunjavaju regulatorne zahteve uporedive sa onima iz ove odluke.
Banka koja koristi pristup iz stava 1. odredbe pod 1) ili 2) ove tačke dužna je da uspostavi metodologiju za procenu da li hartije od vrednosti ispunjavaju uslove iz tih odredaba i da tu metodologiju dostavi Narodnoj banci Srbije.
v) Kapitalni zahtevi za sekjuritizovane pozicije
338. Radi izračunavanja kapitalnih zahteva za specifični cenovni rizik za sekjuritizovane pozicije u knjizi trgovanja, banka neto pozicije izračunate u skladu s tačkom 320. st. 2. i 3. ove odluke ponderiše na sledeći način:
1) pozicije na koje bi se, da su raspoređene u bankarskoj knjizi, primenjivao standardizovani pristup, 8% od pondera rizika utvrđenog u skladu sa standardizovanim pristupom iz glave IV odeljak 4. pododeljak 4. ove odluke;
2) pozicije na koje bi se, da su raspoređene u bankarskoj knjizi, primenjivao IRB pristup, 8% od pondera rizika utvrđenog u skladu sa IRB pristupom iz glave IV odeljak 4. pododeljak 4. ove odluke.
339. Banka može da koristi metod supervizorske formule iz tačke 238. ove odluke ako može da proceni PD parametar i, kada je to primenljivo, vrednosti izloženosti i LGD parametar kao elemente koji se uključuju u supervizorsku formulu u skladu sa zahtevima za procenu tih parametara prema IRB pristupu, iz glave IV odeljak 2. ove odluke.
Banka (osim banke inicijatora) može da primenjuje metod supervizorske formule samo uz prethodnu saglasnost Narodne banke Srbije, ako se utvrdi da banka ispunjava uslove iz stava 1. ove tačke.
Procene PD parametra i LGD parametra kao ulaznih promenljivih u skladu sa metodom supervizorske formule banka može da utvrđuje i na osnovu procene izvedene iz IRC pristupa ako banka ima saglasnost Narodne banke Srbije za korišćenje internog modela za specifični rizik dužničkih instrumenata. Ovaj alternativni pristup banka može da koristi samo uz prethodnu saglasnost Narodne banke Srbije, ako te procene ispunjavaju kvantitativne zahteve za IRB pristup iz glave IV odeljak 2. ove odluke.
340. Za sekjuritizovane pozicije, na koje se primenjuje dodatni ponder rizika u skladu s tačkom 209. ove odluke, banka primenjuje 8% od ukupnog pondera rizika.
Radi izračunavanja kapitalnog zahteva za specifični cenovni rizik, osim u slučaju sekjuritizovanih pozicija na koje se primenjuje tačka 341. stav 5. ove odluke, banka sabira svoje ponderisane pozicije izračunate u skladu sa ovim pododeljkom, bez obzira na njihov predznak.
Ako banka inicijator tradicionalne sekjuritizacije ne ispunjava uslove za značajan prenos rizika iz tačke 201. ove odluke, dužna je da u obračun kapitalnih zahteva umesto sekjuritizovanih pozicija uključi sekjuritizovane izloženosti.
Ako banka inicijator sintetičke sekjuritizacije ne ispunjava uslove za značajan prenos rizika iz tačke 202. ove odluke, dužna je da u obračun kapitalnih zahteva uključi sekjuritizovane izloženosti, bez uzimanja u obzir efekata kreditne zaštite sekjuritizovanog portfolija.
g) Kapitalni zahtevi za pozicije iz portfolija namenjenog trgovanju zasnovanom na korelacijama
341. Portfolio namenjen trgovanju zasnovanom na korelacijama u smislu ove odluke čine sekjuritizovane pozicije i kreditni derivati sa n-tim neizmirenjem obaveze koji ispunjavaju sve sledeće uslove:
1) pozicije nisu pozicije resekjuritizacije, opcije na tranše u sekjuritizaciji, kao ni drugi derivati koji se odnose na sekjuritizovane izloženosti koje ne obezbeđuju proporcionalan udeo u plaćanjima po osnovu tranši u sekjuritizaciji;
2) svi referentni instrumenti su:
- instrumenti sa jednim referentnim licem, uključujući kreditne derivate sa jednim referentnim licem za koje postoji likvidno dvosmerno tržište,
- indeksi kojima se uobičajeno trguje a koji se zasnivaju na instrumentima tih referentnih lica.
Dvosmernim tržištem, u smislu ove tačke, smatra se tržište na kojem postoje nezavisne ponude za kupovinu i prodaju tako da se cena, koja je povezana sa poslednjom prodajnom cenom ili tekućom kotacijom kupovne i prodajne cene, može odrediti u roku od jednog dana i izmirenje po toj ceni se može izvršiti u relativnom kratkom roku na uobičajen način trgovanja na tom tržištu.
Pozicije koje u osnovi imaju neku od sledećih karakteristika se ne uključuju u portfolio namenjen trgovanju zasnovanom na korelacijama:
1) odnosna izloženost koja ispunjava uslove za raspoređivanje u klasu izloženosti prema fizičkim licima ili u klasu izloženosti obezbeđenih hipotekama na nepokretnostima u skladu sa standardizovanim pristupom kreditnom riziku u bankarskoj knjizi banke;
2) potraživanje od društava za sekjuritizaciju, direktno ili indirektno obezbeđeno pozicijom koja sama po sebi nije podobna za uključivanje u portfolio namenjen trgovanju zasnovanom na korelacijama u skladu sa ovim i stavom 1. ove tačke.
Banka može da uključi u portfolio namenjen trgovanju zasnovanom na korelacijama pozicije koje nisu ni sekjuritizovane pozicije ni kreditni derivati sa n-tim neizmirenjem obaveze, ako služe za zaštitu drugih pozicija tog portfolija i ako za te instrumente ili njihove odnosne izloženosti postoji likvidno dvosmerno tržište koje ispunjava uslove iz stava 2. ove tačke.
Banka izračunava kapitalni zahtev za specifični rizik portfolija namenjenog trgovanju zasnovanom na korelacijama kao veći od sledeća dva iznosa:
1) ukupan kapitalni zahtev za specifični rizik koji bi se primenjivao samo na neto duge pozicije iz portfolija namenjenog trgovanju zasnovanom na korelacijama ili
2) ukupan kapitalni zahtev za specifični rizik koji bi se primenjivao samo na neto kratke pozicije iz portfolija namenjenog trgovanju zasnovanom na korelacijama.
d) Opšti cenovni rizik po osnovu dužničkih hartija od vrednosti
342. Za izračunavanje opšteg cenovnog rizika po osnovu dužničkih hartija od vrednosti banka može da primenjuje metod dospeća ili metod trajanja. Banka je dužna da se pridržava metoda koji izabere.
Metod dospeća
343. Banka sve neto pozicije u dužničkim hartijama od vrednosti raspoređuje u klase i zone dospeća - prema preostalom periodu dospeća (odnosno prema periodu preostalom do sledećeg određivanja kamatne stope za hartije od vrednosti s promenljivom stopom) i kuponskoj (kamatnoj) stopi, a prema sledećoj tabeli (Tabela 31):
Tabela 31.
Zona |
Klasa dospeća |
Ponder |
|
Kuponska stopa 3% ili više |
Kuponska stopa manja od 3% |
||
1 |
0 ≤ 1 mesec |
0 ≤ 1 mesec |
0,00 |
> 1 ≤ 3 meseca |
> 1 ≤ 3 meseca |
0,20 |
|
> 3 ≤ 6 meseci |
> 3 ≤ 6 meseci |
0,40 |
|
> 6 ≤ 12 meseci |
> 6 ≤ 12 meseci |
0,70 |
|
2 |
> 1 ≤ 2 godine |
> 1,0 ≤ 1,9 godina |
1,25 |
> 2 ≤ 3 godine |
> 1,9 ≤ 2,8 godina |
1,75 |
|
> 3 ≤ 4 godina |
> 2,8 ≤ 3,6 godina |
2,25 |
|
3 |
> 4 ≤ 5 godina |
> 3,6 ≤ 4,3 godina |
2,75 |
> 5 ≤ 7 godina |
> 4,3 ≤ 5,7 godina |
3,25 |
|
> 7 ≤ 10 godina |
> 5,7 ≤ 7,3 godina |
3,75 |
|
> 10 ≤ 15 godina |
> 7,3 ≤ 9,3 godina |
4,50 |
|
> 15 ≤ 20 godina |
> 9,3 ≤ 10,6 godina |
5,25 |
|
> 20 godina |
> 10,6 ≤ 12,0 godina |
6,00 |
|
> 12,0 ≤ 20 godina |
8,00 |
||
> 20 godina |
12,50 |
||
Banka je dužna da svaku poziciju množi odgovarajućim ponderom za tu klasu dospeća. Za svaku klasu dospeća, banka posebno sabira sve ponderisane duge pozicije i sve ponderisane kratke pozicije.
Usklađena ponderisana pozicija klase dospeća predstavlja iznos zbira ponderisanih dugih pozicija ili zbira ponderisanih kratkih pozicija u okviru te klase dospeća, zavisno od toga koji je manji. Neusklađena ponderisana (duga ili kratka) pozicija za tu klasu dospeća je preostali iznos, tj. razlika između ova dva zbira.
Banka za svaku zonu dospeća izračunava zbir svih dugih neusklađenih ponderisanih pozicija klasa dospeća i zbir svih kratkih neusklađenih ponderisanih pozicija tih klasa. Usklađena ponderisana pozicija zone dospeća predstavlja iznos zbira svih dugih neusklađenih ponderisanih pozicija ili zbira svih kratkih neusklađenih ponderisanih pozicija u istoj zoni, zavisno od toga koji je manji. Neusklađena ponderisana (duga ili kratka) pozicija te zone je preostali iznos, tj. razlika između ova dva zbira.
Nakon utvrđivanja usklađene i neusklađene pozicije za svaku zonu dospeća - banka usklađuje neusklađene ponderisane pozicije između zona 1 i 2, a zatim iznos preostale neusklađene ponderisane pozicije u zoni 2 usklađuje s neusklađenom ponderisanom pozicijom u zoni 3. Banka može da promeni redosled usklađivanja tako što će usklađivanje između zona 2 i 3 vršiti pre usklađivanja između zona 1 i 2. Banka zatim usklađuje iznos preostalih neusklađenih ponderisanih pozicija između zona 1 i 3.
Nakon izvršenog usklađivanja između zona, iznos preostale neusklađene ponderisane pozicije između zona jednak je zbiru svih preostalih neusklađenih pozicija u svim zonama.
344. Kapitalni zahtev za opšti cenovni rizik po osnovu dužničkih hartija od vrednosti izračunava se primenom metoda dospeća kao zbir:
- 10% zbira usklađenih ponderisanih pozicija u svim klasama dospeća,
- 40% usklađene ponderisane pozicije u zoni 1,
- 30% usklađene ponderisane pozicije u zoni 2,
- 30% usklađene ponderisane pozicije u zoni 3,
- 40% usklađenih ponderisanih pozicija između zona 1 i 2,
- 40% usklađenih ponderisanih pozicija između zona 2 i 3,
- 150% usklađenih ponderisanih pozicija između zona 1 i 3,
- 100% preostale neusklađene ponderisane pozicije između zona.
Metod trajanja
345. Ako primenjuje metod trajanja, banka prinos do dospeća za dužničke hartije od vrednosti izračunava na osnovu njihovih tržišnih vrednosti, pri čemu se za hartije s promenljivom kamatnom stopom pretpostavlja da je rok dospeća glavnice datum kad se vrši sledeće određivanje kamatne stope.
346. Banka sve dužničke hartije od vrednosti raspoređuje u odgovarajuće zone u skladu sa sledećom tabelom (Tabela 32):
Tabela 32.
Zona |
Modifikovano trajanje |
Pretpostavljena promena |
1 |
> 0,0 ≤ 1,0 |
1,00 |
2 |
> 1,0 ≤ 3,6 |
0,85 |
3 |
> 3,6 |
0,70 |
Banka izračunava poziciju ponderisanu trajanjem za svaku dužničku hartiju od vrednosti tako što njenu tržišnu vrednost množi njenim modifikovanim trajanjem i odgovarajućom pretpostavljenom promenom kamatne stope u skladu s Tabelom 32.
Banka modifikovano trajanje svake dužničke hartije od vrednosti izračunava na osnovu sledeće formule:

gde je:
Dmod = modifikovano trajanje,
D = trajanje,
r = prinos do dospeća,
Ct = gotovinsko plaćanje u vremenskom trenutku t,
M = ukupno dospeće,
t = vreme.
Za dužničke instrumente koji su izloženi riziku prevremene otplate, prilikom obračuna modifikovanog trajanja, banka je dužna da izvrši odgovarajuće korekcije.
347. Banka za svaku zonu izračunava duge pozicije ponderisane trajanjem i kratke pozicije ponderisane trajanjem. Usklađena pozicija ponderisana trajanjem za određenu zonu predstavlja zbir svih dugih pozicija ponderisanih trajanjem ili zbir svih kratkih pozicija ponderisanih trajanjem u toj zoni, zavisno od toga koji je manji. Neusklađena (duga ili kratka) pozicija ponderisana trajanjem za tu zonu je preostali iznos, tj. razlika između ova dva zbira.
Nakon utvrđivanja usklađene i neusklađene pozicije ponderisane trajanjem za svaku zonu - banka usklađuje neusklađene pozicije ponderisane trajanjem između zona 1 i 2, a zatim iznos preostale neusklađene pozicije u zoni 2 usklađuje s neusklađenom pozicijom ponderisanom trajanjem u zoni 3. Banka može da promeni redosled usklađivanja tako što će usklađivanje između zona 2 i 3 vršiti pre usklađivanja zona 1 i 2. Banka zatim usklađuje neusklađene pozicije ponderisane trajanjem između zona 1 i 3.
Nakon izvršenog usklađivanja između zona, iznos preostale neusklađene pozicije ponderisane trajanjem između zona jednak je zbiru svih preostalih neusklađenih pozicija ponderisanih trajanjem u svim zonama.
348. Kapitalni zahtev za opšti cenovni rizik po osnovu dužničkih hartija od vrednosti izračunava se primenom metoda trajanja kao zbir:
- 2% usklađene pozicije ponderisane trajanjem za svaku zonu,
- 40% usklađenih pozicija ponderisanih trajanjem između zona 1 i 2,
- 40% usklađenih pozicija ponderisanih trajanjem između zona 2 i 3,
-150% usklađenih pozicija ponderisanih trajanjem između zona 1 i 3,
-100% preostale neusklađene pozicije ponderisane trajanjem između zona.
10. Cenovni rizik po osnovu vlasničkih hartija od vrednosti
349. Kapitalni zahtev za cenovni rizik po osnovu vlasničkih hartija od vrednosti jednak je zbiru kapitalnih zahteva za specifični i opšti cenovni rizik po osnovu tih hartija.
Kapitalni zahtevi za cenovni rizik po osnovu vlasničkih hartija od vrednosti izračunavaju se odvojeno za svaku zemlju i za svaku valutu.
350. Vlasničke hartije od vrednosti razvrstavaju se po zemljama na čijim su berzanskim tržištima listirane i/ili na čijim se tržištima njima trguje. Finansijski derivati razvrstavaju se po zemljama na čijim su tržištima listirane vlasničke hartije od vrednosti koje su predmet ugovora i/ili na čijim se tržištima trguje tim hartijama.
351. Banka je dužna da izračunava neto (dugu ili kratku) poziciju u svakoj vlasničkoj hartiji od vrednosti.
Banka može da netira duge i kratke pozicije u vlasničkim hartijama od vrednosti samo ako se te hartije smatraju identičnim hartijama od vrednosti.
Ukupna bruto pozicija banke u vlasničkim hartijama od vrednosti jednaka je zbiru apsolutnih vrednosti neto dugih i neto kratkih pozicija banke u tim hartijama.
Ukupna neto pozicija banke u vlasničkim hartijama od vrednosti jednaka je apsolutnoj vrednosti razlike između neto dugih i neto kratkih pozicija banke u tim hartijama.
a) Specifični cenovni rizik po osnovu vlasničkih hartija od vrednosti
352. Kapitalni zahtev za specifični cenovni rizik po osnovu vlasničkih hartija od vrednosti iznosi 8% ukupne bruto pozicije banke u tim hartijama.
b) Opšti cenovni rizik po osnovu vlasničkih hartija od vrednosti
353. Kapitalni zahtev za opšti cenovni rizik po osnovu vlasničkih hartija od vrednosti iznosi 8% ukupne neto pozicije u tim hartijama.
354. Pozicije u berzanskim indeksima uključuju se u obračun kapitalnih zahteva za opšte i specifične cenovne rizike po osnovu vlasničkih hartija od vrednosti.
Pozicije u berzanskim indeksima prikazuju se kao pozicije u pojedinačnim vlasničkim hartijama od vrednosti koje čine ovaj indeks. Pozicije u tim hartijama mogu biti netirane suprotnim pozicijama u identičnim hartijama od vrednosti.
Pozicije u forvard ili fjučers ugovorima koji se odnose na berzanske indekse prikazuju se kao kombinacija duge (kratke) pozicije u vlasničkim hartijama od vrednosti koje čine indeks koji je predmet ovih ugovora i kratke (duge) pozicije u hipotetičkom dužničkom instrumentu s rokom dospeća koji je jednak roku dospeća ugovora.
Banka je dužna da najkasnije 30 dana pre dana početka primene obračuna iz stava 2. ove tačke o tome obavesti Narodnu banku Srbije.
Izuzetno od odredaba ove tačke, banka može iz obračuna kapitalnih zahteva za specifični cenovni rizik izuzeti pozicije u berzanskim indeksima kojima se trguje na berzanskom tržištu i koji predstavljaju široko diversifikovane indekse ako ti indeksi nisu raščlanjeni na odnosne vlasničke hartije od vrednosti. Ove pozicije uključuju se u obračun kapitalnog zahteva za opšti cenovni rizik po osnovu vlasničkih hartija od vrednosti, i to za svaku zemlju pojedinačno, kao jedinstvena pozicija u tom indeksu. Pozicije u ovim berzanskim indeksima ulaze u obračun neto pozicije iz tačke 351. stav 4. ove odluke, ali ne i u obračun bruto pozicije iz stava 3. te tačke.
11. Poslovi pokrovitelja emisije hartija od vrednosti
355. Banka može da računa kapitalne zahteve za cenovne rizike za pozicije po osnovu ugovora o vršenju usluga organizovanja izdavanja hartija od vrednosti sa obavezom njihovog otkupa radi dalje prodaje (ugovor o pokroviteljstvu emisije hartija od vrednosti), uključujući i ugovore na osnovu kojih se banka obavezala da će ranije izdate hartije od vrednosti plasirati na novo tržište.
Banka neto poziciju izračunava kao razliku između ukupnih obaveza banke po osnovu ugovora o pokroviteljstvu hartija od vrednosti i dela pozicije koji je prenet na treća lica koja su upisala, odnosno kupila ove hartije. Banka ovako izračunatu neto poziciju umanjuje primenom faktora umanjenja iz sledeće tabele (Tabela 33):
Tabela 33.
Radni dan |
Faktori umanjenja za dužničke i vlasničke hartije od vrednosti |
Radni dan 0 |
100% |
Radni dan 1 |
90% |
Radni dan 2 ili 3 |
75% |
Radni dan 4 |
50% |
Radni dan 5 |
25% |
Posle radnog dana 5 |
0% |
Radni dan 0 (nula) iz Tabele 33. jeste datum kad banka postaje bezuslovno obavezna da utvrđeni broj hartija od vrednosti otkupi po ugovorenoj ceni.
Kapitalni zahtev za cenovni rizik pozicija po osnovu ugovora o pokroviteljstvu emisije hartija od vrednosti banka izračunava korišćenjem umanjenih neto pozicija u skladu sa odredbama ove tačke.
Banka je dužna da obavesti Narodnu banku Srbije ako koristi mogućnost umanjenja neto pozicija iz ove tačke.
12. Tretman pozicija iz knjige trgovanja zaštićenih kreditnim derivatima
356. Za poziciju iz knjige trgovanja zaštićenu kreditnim derivatom banka je dužna da računa kapitalni zahtev za specifični cenovni rizik koji proizlazi iz te pozicije i pozicije po osnovu ovog derivata.
Banka može iz obračuna kapitalnog zahteva za specifični cenovni rizik da isključi obe pozicije iz stava 1. ove tačke ako se vrednosti tih pozicija uvek kreću u suprotnom smeru i u približno istom iznosu, i to u sledećim slučajevima:
- pozicije se odnose na identične hartije od vrednosti,
- pozicija u knjizi trgovanja zaštićena je pozicijom u TRS derivatu, pri čemu postoji potpuna usklađenost između referentne obaveze i odnosne izloženosti iz knjige trgovanja, osim između rokova dospeća ovih pozicija (koji mogu biti različiti).
Banka može da umanji izloženost specifičnom cenovnom riziku tako što za 80% iznosa prenetog rizika umanjuje onu poziciju koja ima viši kapitalni zahtev, a drugu poziciju isključuje iz obračuna kapitalnog zahteva za specifični cenovni rizik ako su ispunjeni sledeći uslovi:
- da se pozicije uvek kreću u suprotnom smeru,
- da postoji potpuna valutna usklađenost između referentne obaveze i odnosne izloženosti iz knjige trgovanja,
- da referentna obaveza i kreditni derivat imaju isti rok dospeća,
- da osnovne karakteristike kreditnog derivata ne uzrokuju znatna odstupanja cene tog derivata od cene pozicije iz knjige trgovanja.
Banka može da umanji izloženost specifičnom cenovnom riziku tako što poziciju koja ima niži kapitalni zahtev isključuje iz obračuna kapitalnog zahteva za specifični cenovni rizik, i to u sledećim slučajevima:
- pozicija u knjizi trgovanja zaštićena je pozicijom u TRS derivatu, ali postoji neusklađenost između referentne obaveze i odnosne izloženosti iz knjige trgovanja, pri čemu je a) referentna obaveza sa istim pravom u naplati ili je podređena u odnosu na odnosnu izloženost iz knjige trgovanja, b) obe se odnose na istog dužnika i v) ugovorene su odredbe o međusobno zavisnom neizmirenju obaveza (cross-default) ili međusobno zavisnom ubrzanom dospeću (cross-acceleration),
- pozicije se odnose na identične hartije od vrednosti ili su ispunjeni uslovi iz stava 3. ove tačke ali postoji ročna ili valutna neusklađenost između pozicije kreditne zaštite i pozicije u knjizi trgovanja (valutne neusklađenosti uključuju se u obračun kapitalnog zahteva za devizni rizik u skladu sa odeljkom 3. ove glave),
- pozicije ispunjavaju uslove iz stava 3. ove tačke ali postoji neusklađenost između referentne obaveze i odnosne izloženosti pozicije u knjizi trgovanja, pri čemu je ugovoreno da se ova izloženost može preneti na pružaoca zaštite.
U slučaju kreditnih derivata sa prvim neizmirenjem obaveze i kreditnih derivata sa n-tim neizmirenjem obaveze, banka može da izračunava kapitalni zahtev na način utvrđen u skladu sa odredbama ove tačke pod sledećim uslovima:
1) ako banka koristi kreditnu zaštitu da bi zaštitila izloženosti prema više referentnih lica i ugovoreno je da prvi slučaj neizmirenja obaveze koji nastupi ima za posledicu raskid ugovora i izmirenje svih obaveza po tom osnovu, banka može izjednačiti kapitalni zahtev za specifični rizik sa kapitalnim zahtevom za specifični rizik za referentno lice kojem se dodeljuje najniži ponder specifičnog rizika u skladu sa tabelom iz tačke 335. ove odluke (Tabela 30);
2) ako je ugovoreno da n-ti slučaj neizmirenja obaveze ima za posledicu izmirenje po osnovu ugovora, a banka je obezbedila zaštitu i za slučajeve neizmirenja obaveza od 1 do n-1, odnosno slučajevi neizmirenja obaveza od 1 do n-1 su se već dogodili, banka korisnik zaštite može da umanji kapitalni zahtev za specifični rizik na način utvrđen odredbom pod 1) ovog stava prilagođen za n izloženosti.
13. Tretman ulaganja u otvorene investicione fondove koja se vode u knjizi trgovanja banke
357. Kapitalni zahtev za specifični i opšti cenovni rizik za ulaganja u otvorene investicione fondove koja su raspoređena u knjigu trgovanja iznosi 32% vrednosti te pozicije. Zbir kapitalnih zahteva za cenovni i devizni rizik ovih pozicija iznosi 40% njihove vrednosti, osim ako je tačkom 365. st. 1. do 4, tačkom 366. i tačkom 395. stav 5. odredba pod 2) ove odluke drukčije propisano.
Netiranje između pozicija iz stava 1. ove tačke i drugih pozicija banke nije dozvoljeno, osim ako ovom odlukom nije drukčije utvrđeno.
358. Banka može da računa kapitalni zahtev za cenovni rizik pozicija po osnovu ulaganja u otvorene investicione fondove u skladu s tač. 359. do 362. ove odluke ako su ispunjeni sledeći uslovi:
1) da ovim fondom upravlja privredno društvo nad čijim poslovanjem nadzor vrši:
- nadležno regulatorno telo u Republici Srbiji, odnosno državi članici Evropske unije,
- nadležno regulatorno telo države koja nije članica Evropske unije ako se taj nadzor sprovodi u skladu s propisima Evropske unije i ako Narodna banka Srbije ima odgovarajuću saradnju s tim telom;
2) da prospekt ovog fonda ili njemu odgovarajući dokument u koji su uključeni svi bitni elementi prospekta sadrži:
- vrste imovine u koje je tom fondu dozvoljeno da ulaže,
- limite ulaganja i način izračunavanja ovih limita ako taj fond primenjuje limite za svoja ulaganja,
- najviši nivo učešća iznosa pozajmljenih sredstava u iznosu kapitala tog fonda ili drugog sličnog pokazatelja, ako je takav pokazatelj propisan, odnosno dozvoljen,
- politike za ograničavanje izloženosti riziku druge ugovorne strane koji proizlazi iz ulaganja u OTC derivate i repo transakcije i transakcije davanja ili uzimanja u zajam hartija od vrednosti ili robe ako su ova ulaganja, odnosno transakcije dozvoljeni;
3) da ovaj fond objavljuje polugodišnje i godišnje izveštaje o poslovanju, radi omogućavanja procene imovine i obaveza, prihoda i aktivnosti u toku izveštajnog perioda;
4) da investicione jedinice ovog fonda mogu, na zahtev njihovih vlasnika, na dnevnoj osnovi unovčiti iz imovine fonda;
5) da su ulaganja u ovaj fond odvojena od imovine društva za upravljanje tim fondom;
6) da banka sprovodi sopstvenu procenu rizičnosti ovog fonda.
359. Ako je upoznata sa strukturom ulaganja otvorenog investicionog fonda na dnevnoj osnovi, banka može ulaganja u ove fondove da tretira kao pozicije u hartijama od vrednosti koje čine to ulaganje i da kapitalne zahteve za cenovni rizik računa u skladu sa odredbama ovog odeljka ili, uz prethodnu saglasnost Narodne banke Srbije, primenom internog modela u skladu sa odeljkom 6. ove glave. U tom slučaju dozvoljeno je netiranje između ovih i drugih pozicija banke pod uslovom da banka raspolaže dovoljnim brojem investicionih jedinica koje mogu biti prikazane kao pozicije u hartijama od vrednosti koje čine to ulaganje.
360. Banka može ulaganja u otvorene investicione fondove da tretira kao hipotetičke pozicije u berzanskim indeksima ili u fiksnim grupama dužničkih i vlasničkih hartija od vrednosti i da kapitalne zahteve za cenovni rizik računa u skladu sa odredbama ovog odeljka ili, uz prethodnu saglasnost Narodne banke Srbije, primenom internog modela u skladu sa odeljkom 6. ove glave - ako su ispunjeni sledeći uslovi:
- da je cilj politike ulaganja investicionog fonda oponašanje strukture i učinka berzanskog indeksa ili fiksne grupe dužničkih i vlasničkih hartija od vrednosti,
- da korelacija između dnevnog kretanja cene investicione jedinice i berzanskog indeksa ili fiksne grupe dužničkih i vlasničkih hartija od vrednosti iznosi najmanje 0,9 u periodu od najmanje šest meseci, pri čemu se pod ovom korelacijom podrazumeva koeficijent korelacije između dnevnog prinosa na udeo u investicionom fondu i dnevnog prinosa berzanskog indeksa ili fiksne grupe dužničkih i vlasničkih hartija od vrednosti čiju strukturu i učinak taj fond oponaša.
361. Ako nije upoznata sa strukturom ulaganja otvorenog investicionog fonda na dnevnoj osnovi, banka može kapitalni zahtev za cenovni rizik da računa u skladu sa odredbama ovog odeljka.
Pri računanju u smislu stava 1. ove tačke, banka polazi od pretpostavke da otvoreni investicioni fond najpre ulaže u hartije od vrednosti na koje se, u skladu sa ovim odeljkom, primenjuje najveći kapitalni zahtev za cenovni rizik, i to do najvećeg dozvoljenog iznosa, a nakon toga prema opadajućem redosledu izloženosti na koje se primenjuju niži kapitalni zahtevi, dok se ne dostigne ukupni limit ulaganja utvrđen prospektom tog fonda ili njemu odgovarajućim dokumentom. Banka pri tom uzima u obzir najveću moguću indirektnu izloženost koja može da nastane ulaganjem otvorenog investicionog fonda tako što srazmerno povećava poziciju u ovom fondu do najveće moguće izloženosti u pretpostavljenim ulaganjima u skladu s prospektom tog fonda ili njemu odgovarajućim dokumentom.
Ako je kapitalni zahtev za cenovni rizik izračunat u skladu sa stavom 2. ove tačke veći od kapitalnog zahteva za cenovni rizik izračunatog u skladu s tačkom 357. ove odluke - banka primenjuje kapitalni zahtev za cenovni rizik izračunat u skladu s tom tačkom.
362. Banka može koristiti pondere rizika za ulaganja u otvorene investicione fondove koje je izračunalo treće lice na način utvrđen u tač. 359. do 361. pod uslovom da je obračun potvrđen od strane spoljnog revizora i da je to treće lice:
1) depozitar fonda, koji je banka ili drugo lice iz finansijskog sektora, ako ovaj fond ulaže isključivo u hartije od vrednosti i deponuje ih kod ovog depozitara;
2) društvo za upravljanje ovim fondom za fond za koji nije ispunjen uslov iz prve alineje ovog stava, ako to društvo ispunjava uslove iz tačke 60. stav 2. odredba pod 1) ove odluke.
KAPITALNI ZAHTEV ZA DEVIZNI RIZIK
363. Banka je dužna da računa kapitalni zahtev za devizni rizik ako je zbir ukupne neto otvorene devizne pozicije i apsolutne vrednosti neto otvorene pozicije u zlatu veći od 2% kapitala banke izračunatog u skladu sa odredbama glave III ove odluke.
Kapitalni zahtev za devizni rizik izračunava se množenjem zbira ukupne neto otvorene devizne pozicije i apsolutne vrednosti neto otvorene pozicije u zlatu sa 8%.
Pod deviznom imovinom i deviznim obavezama, u smislu ove odluke, podrazumevaju se, pored imovine i obaveza iskazanih u stranoj valuti, i imovina i obaveze iskazani u dinarima i indeksirani deviznom klauzulom, pri čemu se pod deviznom klauzulom podrazumeva odredba u ugovoru kojom se ugovoreni iznos u dinarima vezuje za vrednost neke druge valute.
Dinarska protivvrednost imovine i obaveza iskazanih u stranoj valuti utvrđuje se prema zvaničnom srednjem kursu Narodne banke Srbije na dan obračuna devizne pozicije banke. Dinarska vrednost imovine i obaveza u zlatu utvrđuje se prema poslednjoj ceni fine unce zlata utvrđenoj na Londonskoj berzi.
364. Banka je dužna da računa neto otvorenu deviznu poziciju u svakoj valuti pojedinačno i neto otvorenu poziciju u zlatu kao zbir sledećih elemenata:
- neto spot pozicije, koja predstavlja razliku između devizne imovine (umanjene za ispravku vrednosti) i deviznih obaveza u određenoj valuti (uključujući i nedospele kamate), odnosno razliku između imovine i obaveza u zlatu,
- neto forvard pozicije, koja predstavlja razliku između svih iznosa koji će biti primljeni i svih koji će biti plaćeni po osnovu valutnih forvard ugovora (ili forvard ugovora na zlato), uključujući i valutne fjučers ugovore (ili fjučers ugovore na zlato) i hipotetički iznos iz valutnih svopova koji nije uključen u spot poziciju,
- neopozivih garancija, nepokrivenih akreditiva i sličnih vanbilansnih stavki na osnovu kojih je izvesno da će banka da izvrši plaćanje a verovatno je da ta sredstva neće moći da nadoknadi,
- neto delta (ili na delta koeficijentu zasnovanog) ekvivalenta svih valutnih opcija i opcija na zlato,
- tržišne vrednosti opcija koje nisu ni valutne opcije ni opcije na zlato a čiji je predmet ugovora iskazan u stranoj valuti.
Banka je dužna da radi izračunavanja delta ekvivalenta opcija iz stava 1, alineja četvrta ove tačke koristi vrednost delta koeficijenta koji je obračunala berza na kojoj se trguje tom opcijom. U slučaju opcija koje su predmet vanberzanske trgovine ili ako delta koeficijent sa berze nije raspoloživ, banka može da izračunava delta koeficijent korišćenjem odgovarajućeg internog modela, uz prethodnu saglasnost Narodne banke Srbije.
Narodna banka Srbije će dati prethodnu saglasnost iz stava 2. ove tačke ako model na odgovarajući način procenjuje procentualnu promenu cene opcije ili varanta usled inkrementalnih (neznatnih) promena tržišne cene predmeta ugovora. Banka može u neto otvorenu deviznu poziciju u određenoj valuti, odnosno u neto otvorenu poziciju u zlatu uključiti i buduće neto prihode/rashode koji još nisu knjigovodstveno evidentirani ali su u potpunosti zaštićeni valutnim forvard ugovorima ili sličnim ugovorima, pod uslovom da takav tretman dosledno primenjuje u skladu s MSFI/MRS.
365. Banka ima neto dugu poziciju u određenoj valuti ili zlatu kad je zbir iznosa svih elemenata utvrđenih u tački 364. ove odluke u toj valuti ili zlatu pozitivan, a kad je taj zbir negativan - banka ima neto kratku poziciju u toj valuti ili zlatu.
Ukupna duga devizna pozicija banke predstavlja zbir svih njenih neto dugih deviznih pozicija u pojedinim valutama.
Ukupna kratka devizna pozicija banke predstavlja zbir svih njenih neto kratkih deviznih pozicija u pojedinim valutama.
Ukupna neto otvorena devizna pozicija banke predstavlja apsolutnu vrednost ukupne duge, odnosno ukupne kratke devizne pozicije banke, zavisno od toga koja je apsolutna vrednost veća.
Banka može da pri izračunavanju neto otvorene pozicije u svakoj valuti i zlatu koristi neto sadašnje vrednosti pod uslovom da se taj pristup primenjuje dosledno.
Radi izračunavanja otvorene devizne pozicije, banka može neto poziciju u složenoj valuti (composite currency) raščlaniti na valute koje čine tu složenu valutu, i to u skladu sa strukturom složene valute.
Pozicije koje je banka zauzela sa namerom zaštite pokazatelja adekvatnosti kapitala iz tačke 3. ove odluke od nepovoljnih kretanja deviznih kurseva mogu, uz prethodnu saglasnost Narodne banke Srbije, biti isključene iz obračuna neto otvorene devizne pozicije. Da bi bile isključene iz obračuna, te pozicije ne smeju biti namenjene trgovanju. Sve promene u načinu njihovog isključivanja iz obračuna zahtevaju saglasnost Narodne banke Srbije. Isti tretman pod istim uslovima se može primeniti na pozicije koje je banka zauzela, a koje se odnose na stavke koje su već priznate kao odbitne stavke u obračunu kapitala.
Banka je dužna da na odgovarajući način uključi u obračun kapitalnog zahteva za devizni rizik i ostale rizike u vezi s opcijama, osim delta rizika.
1. Devizni rizik pozicija u otvorenim investicionim fondovima
366. Banka je dužna da u obračun neto otvorene devizne pozicije uključi i pozicije koje se odnose na ulaganja u investicione jedinice investicionih fondova, u skladu s njihovom valutnom strukturom.
Banka može koristiti pondere rizika za ulaganja u otvorene investicione fondove koje je izračunalo treće lice pod uslovom da je obračun potvrđen od strane spoljnog revizora i da je to treće lice:
1) depozitar fonda, koji je banka ili drugo lice iz finansijskog sektora, ako ovaj fond ulaže isključivo u hartije od vrednosti i deponuje ih kod ovog depozitara;
2) društvo za upravljanje ovim fondom, za fond za koji nije ispunjen uslov iz prve alineje ovog stava, ako to društvo ispunjava uslove iz tačke 60. stav 2. odredba pod 1) ove odluke.
Ako banka nije upoznata s valutnom strukturom investicionog fonda, dužna je da pretpostavi da taj fond ulaže u devizne pozicije do najvećeg dozvoljenog iznosa u skladu s prospektom otvorenog investicionog fonda ili njemu odgovarajućim dokumentom. Banka pritom uzima u obzir najveću moguću indirektnu izloženost koja može da nastane ulaganjem otvorenog investicionog fonda tako što srazmerno povećava poziciju u ovom fondu do najveće moguće izloženosti u pretpostavljenim ulaganjima u skladu s prospektom tog fonda ili njemu odgovarajućim dokumentom. Hipotetička devizna pozicija otvorenog investicionog fonda se prikazuje kao zasebna valuta tako što se ukupna duga pozicija dodaje na ukupnu dugu deviznu poziciju i ukupna kratka pozicija na ukupnu kratku deviznu poziciju, u slučaju da je banka upoznata sa smerom ulaganja otvorenog investicionog fonda. Netiranje između takvih pozicija pre obračuna nije dozvoljeno.
367. Banka može da obračuna manji kapitalni zahtev za devizni rizik u slučajevima pozicija u visoko korelisanim valutama.
Visoko korelisanim valutama smatraju se valute kod kojih verovatnoća (izračunata na osnovnu dnevnih podataka o kretanju deviznih kurseva za prethodne tri ili pet godina) da će u narednih deset radnih dana doći do gubitka, po osnovu jednakih pozicija suprotnog predznaka u tim valutama, u iznosu od 4% ili manje vrednosti usklađene pozicije prikazane u izveštajnoj valuti, iznosi najmanje 99% u slučaju trogodišnjeg perioda posmatranja, odnosno najmanje 95% u slučaju petogodišnjeg perioda posmatranja.
Kapitalni zahtev za usklađene pozicije u dve visoko korelisane valute iznosi 4% vrednosti usklađene pozicije.
Radi izračunavanja kapitalnog zahteva za devizni rizik banka može da isključi pozicije u valutama koje su predmet međudržavnih sporazuma kojima se ograničavaju varijacije jedne valute u odnosu na druge valute. Banka izračunava usklađenu poziciju u tim valutama i na nju primenjuje kapitalni zahtev koji nije manji od 50% maksimalne dozvoljene varijacije u skladu sa tim međudržavnim sporazumom.
Banka može da kapitalni zahtev za usklađene pozicije u valutama država članica EU koje su deo druge faze ekonomske i monetarne unije izračunava kao 2,4% vrednosti takvih usklađenih pozicija.
Samo neusklađena pozicija između valuta iz ove tačke se uključuje u ukupnu neto otvorenu deviznu poziciju u skladu s tačkom 365. ove odluke.
368. Pokazatelj deviznog rizika je odnos između ukupne neto otvorene devizne pozicije (uključujući i apsolutnu vrednost neto otvorene pozicije u zlatu) i kapitala banke izračunatog u skladu sa odredbama glave III ove odluke.
Banka je dužna da, nezavisno od toga da li primenjuje interne modele u skladu sa odeljkom 6. ove glave, održava pokazatelj deviznog rizika na kraju svakog radnog dana tako da ne bude veći od 20%.
Ako je pokazatelj deviznog rizika banke u toku dva uzastopna radna dana veći od 20%, banka je dužna je da o tome obavesti Narodnu banku Srbije najkasnije narednog radnog dana.
KAPITALNI ZAHTEV ZA ROBNI RIZIK
369. Banka je dužna da kapitalni zahtev za robni rizik izračunava primenom jednog od sledećih pristupa: pojednostavljenog pristupa, pristupa lestvice dospeća ili pristupa proširene lestvice dospeća.
Banka je dužna da za svaku pojedinačnu vrstu robe primenjuje isti pristup u okviru jednog izveštajnog perioda, dok za različite vrste robe može primenjivati različite pristupe.
Dopunske aktivnosti trgovanja robom
370. Banka kojoj je trgovanje poljoprivrednim proizvodima dopunska aktivnost trgovanja robom može da, radi izračunavanja kapitalnog zahteva za robni rizik za narednu godinu, koristi vrednost zaliha poljoprivrednih proizvoda na poslednji dan tekuće godine, ako su ispunjeni svi sledeći uslovi:
1) iznos kapitala banke za pokriće ovog rizika u svakom trenutku u toku godine nije manji od prosečnog kapitalnog zahteva za taj rizik procenjenog na konzervativnoj osnovi za narednu godinu;
2) banka procenjuje očekivanu volatilnost iznosa izračunatog u skladu sa odredbom pod 1) ove tačke na konzervativnoj osnovi;
3) prosečni kapitalni zahtev za ovaj rizik nije veći od 5% kapitala banke izračunatog u skladu sa Glavom III ove odluke, odnosno nije veći od 120.000.000 dinara na dan obračuna kapitalnog zahteva (u zavisnosti od toga koji od ova dva iznosa je veći) i, uzimajući u obzir volatilnost procenjenu u skladu sa odredbom pod 2) ove tačke, najviši očekivani iznos kapitalnih zahteva za taj rizik nije veći od 6,5% kapitala banke;
4) banka kontinuirano prati da li vrednosti procenjene u skladu sa odredbama pod 1) i 2) ove tačke odgovaraju ostvarenim vrednostima.
Banka je dužna da obavesti Narodnu banku Srbije o primeni obračuna iz ovog stava.
Pozicije u robi
371. Banka je dužna da svaku poziciju u robi ili robnim derivatima izražava u standardnim mernim jedinicama za tu vrstu robe. Spot cena za svaku vrstu robe preračunava se u dinarsku protivvrednost primenom zvaničnog srednjeg kursa Narodne banke Srbije na dan obračuna.
Banka kapitalni zahtev za tržišne rizike po osnovu pozicija u zlatu i finansijskim derivatima koji se odnose na zlato računa prema pravilima za izračunavanje kapitalnog zahteva za devizni rizik na način propisan odeljkom 3. ove glave, odnosno primenom internih modela u skladu sa odeljkom 6. te glave.
Banka može iz obračuna kapitalnog zahteva za robni rizik da isključi pozicije finansiranja robe, pri čemu je dužna da za njih računa druge kapitalne zahteve u skladu sa ovom odlukom.
Banka je dužna da sve pozicije iz kojih proizlazi cenovni ili devizni rizik (npr. pozicije u finansijskim derivatima na robu, pozicije proizašle iz robnih repo transakcija, kao i transakcija davanja ili uzimanja u zajam robe), a nisu uključene u izračunavanje kapitalnog zahteva za robni rizik u skladu sa ovim odeljkom - uključi u obračun kapitalnih zahteva za opšti cenovni rizik i devizni rizik na način propisan odeljcima 2. i 3. ove glave.
Ako banka ima kratku poziciju u robi koja dospeva pre duge pozicije u istoj robi, dužna je da uzme u obzir mogućnost postojanja nedostatka likvidnosti na relevantnim tržištima.
Radi izračunavanja pozicije u robi, sledeće pozicije smatraju se pozicijama u istoj robi:
- pozicije u različitim podvrstama robe ako se roba jedne podvrste može isporučiti umesto robe druge podvrste,
- pozicije u sličnim vrstama robe - ako su one bliski supstituti i ako korelacija između kretanja njihovih dnevnih cena na tržištu nije manja od 0,9 posmatrano u periodu od najmanje godinu dana.
3. Robni finansijski derivati i drugi finansijski instrumenti koji se vode u knjizi trgovanja
372. Duga (kratka) pozicija u robnom fjučers ili forvard ugovoru prikazuje se kao kombinacija duge (kratke) pozicije u robi koja je predmet tih ugovora izražene u standardnim mernim jedinicama za tu vrstu robe i kratke (duge) pozicije u hipotetičkom dužničkom instrumentu s dospećem jednakim periodu do datuma izmirenja/isporuke.
373. Pozicija u robnom svop ugovoru prikazuje se kao duga pozicija u robi ako banka plaća fiksnu cenu a prima promenljivu cenu zasnovanu na tekućim tržišnim vrednostima, ili kao kratka pozicija u robi ako banka prima fiksnu cenu a plaća promenljivu cenu zasnovanu na tekućim tržišnim vrednostima.
Ako banka primenjuje pristup lestvice dospeća, robni svop ugovor prikazuje se kao niz pozicija jednakih hipotetičkom iznosu ugovora, pri čemu svaka pozicija odgovara jednom plaćanju po svop ugovoru i raspoređuje se u lestvicu dospeća u skladu s tabelom iz tačke 377. ove odluke (Tabela 34).
Robni svop ugovor koji se odnosi na različite vrste robe uključuje se u tabelu iz stava 2. ove tačke u skladu s vrstama robe na koju se odnosi.
Opcije i varanti na robu ili na robne derivate prikazuju se kao pozicije jednake vrednosti robe koja je u osnovi ugovora pomnoženom delta koeficijentom. Na ovaj način izračunate pozicije banka može netirati pozicijama suprotnog predznaka u identičnoj robi, odnosno robnom derivatu. Banka je dužna da podatak o delta koeficijentu opcije preuzima sa berze na kojoj se tom opcijom trguje. Izuzetno, za opcije koje su predmet vanberzanske trgovine ili u slučaju da delta koeficijent određene opcije nije raspoloživ na berzi, banka može da izračunava delta koeficijent primenom odgovarajućeg internog modela, uz prethodnu saglasnost Narodne banke Srbije.
Narodna banka Srbije će dati prethodnu saglasnost za korišćenje internog modela banke za izračunavanje delta koeficijenta opcije, odnosno varanta na robu ako, na osnovu dostavljene dokumentacije i specifikacije modela, utvrdi da model adekvatno procenjuje procentualnu promenu cene opcije ili varanta u slučajevima inkrementalnih (neznatnih) promena tržišnih cena predmeta ugovora.
Banka je dužna da na odgovarajući način uključi u obračun kapitalnog zahteva za robni rizik i ostale rizike u vezi s opcijama.
374. Pozicije iz knjige trgovanja nastale po osnovu robnih repo transakcija ili transakcija davanja u zajam robe prikazuju se kao kombinacija duge pozicije u robi koja je predmet ugovora i hipotetičke kratke pozicije u državnoj obveznici odgovarajuće ročnosti čija je kuponska stopa jednaka stopi prinosa na ove ugovore.
Pozicije iz knjige trgovanja nastale po osnovu robnih reverse repo transakcija ili transakcija uzimanja u zajam robe prikazuju se kao hipotetičke duge pozicije u državnim obveznicama odgovarajuće ročnosti i kuponske stope jednake stopi prinosa na ove ugovore.
Banka uključuje robu u obračun kapitalnih zahteva za robni rizik u sledećim slučajevima:
1) ako u repo transakciji banka prenosi vlasništvo nad robom;
2) ako u transakciji davanja u zajam robe banka daje robu u zajam drugoj ugovornoj strani.
Opcije na robu i robne finansijske derivate prikazuju se na način utvrđen odredbama odeljka 5. ove glave.
Varanti koji se odnose na robu prikazuju se na isti način kao i opcije iz stava 4. ove tačke.
375. Ako za izračunavanje kapitalnog zahteva za robni rizik primenjuje pojednostavljeni pristup, banka je dužna da izračunava neto i bruto poziciju u svakoj pojedinačnoj vrsti robe.
Neto pozicija u određenoj vrsti robe predstavlja apsolutnu vrednost razlike između dugih i kratkih pozicija banke u toj vrsti robe.
Bruto pozicija u određenoj vrsti robe predstavlja zbir apsolutnih iznosa dugih i kratkih pozicija banke u toj vrsti robe.
376. Kapitalni zahtev za svaku pojedinačnu vrstu robe jednak je zbiru:
- 15% neto pozicije pomnožene tekućom tržišnom cenom robe i
- 3% bruto pozicije pomnožene tekućom tržišnom cenom robe.
Kapitalni zahtev za robni rizik u skladu s pojednostavljenim pristupom jednak je zbiru kapitalnih zahteva za svaku pojedinačnu vrstu robe izračunatih u skladu sa stavom 1. ove tačke.
377. Ako za izračunavanje kapitalnog zahteva za robni rizik primenjuje pristup lestvice dospeća, banka je dužna da sve pozicije u istoj robi raspoređuje u odgovarajuće klase dospeća u skladu sa sledećom tabelom (Tabela 34):
Tabela 34.
Klasa dospeća |
Stopa raspona |
0 ≤ 1 mesec |
1,5% |
>1 ≤ 3 meseca |
1,5% |
>3 ≤ 6 meseci |
1,5% |
>6 ≤ 12 meseci |
1,5% |
>1 ≤ 2 godine |
1,5% |
> 2 ≤ 3 godine |
1,5% |
> 3 godine |
1,5% |
Banka je dužna da sve pozicije u zalihama robe raspoređuje u klasu dospeća do jednog meseca utvrđenu u tabeli iz ove tačke.
378. Banka može da izvrši netiranje pozicija u istoj robi i da ih u neto iznosu rasporedi u odgovarajuće klase dospeća u skladu s tabelom iz tačke 377. ove odluke (Tabela 34) ako je ispunjen jedan od sledeća dva uslova:
- da ove pozicije imaju isti datum dospeća,
- da se datumi dospeća ovih pozicija ne razlikuju za više od deset dana i da su ugovori iz kojih te pozicije proizlaze a kojima se trguje na tržištu predmet dnevnih isporuka.
379. Banka izračunava zbir svih dugih i zbir svih kratkih pozicija u svakoj klasi dospeća utvrđenoj u tabeli iz tačke 377. ove odluke (Tabela 34). Usklađena pozicija u određenoj klasi dospeća je iznos zbira dugih pozicija usklađen sa zbirom kratkih pozicija u toj klasi, dok se preostali iznos (razlika između te dve vrednosti) smatra (dugom ili kratkom) neusklađenom pozicijom za tu klasu dospeća i usklađuje se s neusklađenom pozicijom u narednoj klasi dospeća.
Iznos neusklađene duge (kratke) pozicije u jednoj klasi dospeća koji je usklađen s neusklađenom kratkom (dugom) pozicijom u narednoj klasi dospeća predstavlja usklađenu poziciju između te dve klase. Preostali iznos predstavlja dugu ili kratku neusklađenu poziciju između te dve klase dospeća.
380. Kapitalni zahtev za svaku pojedinačnu vrstu robe jednak je zbiru:
- zbira apsolutnih iznosa usklađenih dugih i kratkih pozicija svih pojedinačnih klasa dospeća pomnoženih odgovarajućom stopom raspona u skladu s tabelom iz tačke 377. ove odluke (Tabela 34) i tekućom tržišnom cenom robe,
- apsolutnog iznosa usklađenih pozicija između dve klase dospeća za svaku klasu dospeća u koju je preneta neusklađena pozicija iz prethodne klase dospeća pomnoženog sa 0,6%, što predstavlja stopu prenosa, i tekućom tržišnom cenom robe,
- apsolutnog iznosa preostale neusklađene pozicije pomnoženog sa 15%, što je konačna stopa, i tekućom tržišnom cenom robe.
Kapitalni zahtev za robni rizik u skladu s pristupom lestvice dospeća jednak je zbiru kapitalnih zahteva za svaku pojedinačnu vrstu robe izračunatih u skladu sa stavom 1. ove tačke.
6. Pristup proširene lestvice dospeća
381. Banka može da primenjuje pristup proširene lestvice dospeća ako su ispunjeni sledeći uslovi:
1) robni portfolio banke je materijalno značajan;
2) robni portfolio banke je dovoljno diversifikovan;
3) banka još uvek nije u potpunosti razvila interni model i/ili dobila saglasnost Narodne banke Srbije za njegovo korišćenje za potrebe izračunavanja kapitalnih zahteva za robni rizik.
Banka koja primenjuje pristup proširene lestvice dospeća, izračunava kapitalni zahtev za svaku pojedinačnu vrstu robe na način opisan u tački 380. stav 1. ove odluke, s tim što, umesto stopa navedenih u alinejama od prve do treće tog stava, koriste minimalne stope (stope raspona, stope prenosa i konačne stope) date u sledećoj tabeli:
Tabela 35.
Stopa (u %) |
Plemeniti |
Osnovni |
Poljoprivredni |
Ostalo, uključujući električnu energiju |
Stopa raspona |
1,0 |
1,2 |
1,5 |
1,5 |
Stopa prenosa |
0,3 |
0,5 |
0,6 |
0,6 |
Konačna stopa |
8 |
10 |
12 |
15 |
Kapitalni zahtev za robni rizik u skladu s pristupom proširene lestvice dospeća jednak je zbiru kapitalnih zahteva za svaku pojedinačnu vrstu robe izračunatih u skladu sa stavom 2. ove tačke.
Banka je dužna da obaveštava Narodnu banku Srbije o primeni pristupa proširene lestvice dospeća.
Uz obaveštenje iz stava 4. ove tačke, banka je dužna da Narodnoj banci Srbije dostavi dokumentaciju kojom dokazuje da je preduzela korake za implementaciju internog modela za izračunavanje kapitalnog zahteva za robni rizik.
TRETMAN OPCIJA
382. Radi izračunavanja kapitalnog zahteva za cenovni rizik, pozicije u opcijama iz knjige trgovanja uključuju opcije na dužničke i vlasničke hartije od vrednosti, kao i na berzanske indekse, forvarde, fjučerse, svopove i kamatne stope.
Radi izračunavanja kapitalnog zahteva za devizni rizik, pozicije u opcijama koje se vode u knjizi trgovanja ili bankarskoj knjizi uključuju valutne opcije, opcije na zlato, kao i opcije na forvarde, fjučerse i svopove na strane valute i na zlato.
Radi izračunavanja kapitalnog zahteva za robni rizik, pozicije u opcijama koje se vode u knjizi trgovanja ili bankarskoj knjizi uključuju robne opcije, kao i opcije na robne forvarde, fjučerse i svopove.
Stavovi 1. do 3. ove tačke odnose se i na ugrađene opcije, hartije od vrednosti slične opcijama - varante, opcije gornje granice (cap), opcije donje granice (floor), istovremenu kupovinu (put opcije) i prodaju (call opcije - collar), kao i na sve druge finansijske instrumente s nelinearnim rizikom.
383. Banka za izračunavanje kapitalnih zahteva za cenovni, devizni i robni rizik po osnovu pozicija u opcijama može da primenjuje pojednostavljeni metod samo kad kupuje opcije. Ako banka ima poziciju u prodatim opcijama dužna je da, radi izračunavanja kapitalnih zahteva za ove rizike, koristi delta-plus metod. Izuzetno, ako banka ima poziciju male vrednosti u prodatim opcijama koja je u potpunosti zaštićena identičnom pozicijom u kupljenim opcijama - ta pozicija može biti isključena iz obračuna kapitalnih zahteva za cenovni, devizni i robni rizik. Veličina pozicija posmatra se posebno za svaki rizik.
Izuzetno od stava 1. ove tačke, banka kapitalne zahteve za cenovni, devizni i robni rizik po osnovu pozicija u opcijama može da računa primenom internih modela u skladu s tačkom 390. ove odluke.
Kapitalni zahtev za cenovni, devizni i robni rizik po osnovu pozicija u opcijama jednak je iznosu tog zahteva utvrđenom na osnovu metoda iz st. 1. ili 2. ove tačke.
384. Za kupljene call ili put opcije, kapitalni zahtev predstavlja manju od sledeće dve vrednosti:
- tržišne vrednosti hartije od vrednosti, robe ili strane valute koje su predmet ugovora, pri čemu se kod opcija na hartije od vrednosti tržišna vrednost predmeta ugovora množi zbirom odgovarajućih pondera za specifični i opšti rizik, kod opcija na valutu ova vrednost množi se sa 8%, dok se kod opcija na robu množi sa 15%,
- tržišne vrednosti opcije.
Banka je dužna da kapitalni zahtev za pozicije koje su kombinacija kupljenih put opcija i dugih pozicija u predmetu ugovora, kao i za pozicije koje su kombinacija kupljenih call opcija i kratkih pozicija u predmetu ugovora, računa tako što tržišnu vrednost predmeta ugovora množi odgovarajućim ponderima i dobijeni iznos umanjuje za iznos prihoda koji ostvari kupac opcije (in the money). Za opcije na hartije od vrednosti tržišna vrednost predmeta ugovora množi se zbirom odgovarajućih pondera za specifični i opšti cenovni rizik, za opcije na valutu množi se sa 8%, dok se za opcije na robu množi sa 15%.
385. Banka je dužna da pri obračunu kapitalnih zahteva za cenovni, devizni i robni rizik, pozicije u opcijama prikazuje kao kombinaciju hipotetičkih dugih i kratkih pozicija, odnosno raščlanjuje ih na pozicije u hartijama od vrednosti, robi ili stranim valutama koje su predmet opcija. Pozicije u tim hartijama, robi ili stranim valutama pomnožene delta koeficijentom opcije predstavljaju delta ponderisanu vrednost te opcije.
Delta (δ) opcije predstavlja procentualnu promenu cene opcije usled inkrementalne (neznatne) promene cene predmeta ugovora:
δ = δ cena opcije/ δ cena predmeta ugovora,
gde je:
δ = prvi parcijalni izvod funkcije cene opcije po ceni predmeta ugovora.
Banka je dužna da za opcije kojima se trguje na berzi koristi delta koeficijent koji obračunava ta berza, dok za opcije koje su predmet vanberzanske trgovine koristi delta koeficijent izračunat primenom internog modela, u skladu s tačkom 390. ove odluke.
Izuzetno od stava 3. ove tačke, Narodna banka Srbije može da utvrdi delta koeficijente za određene instrumente.
386. Delta ponderisana vrednost pozicije u hartiji od vrednosti, robi ili stranoj valuti koje su predmet opcije uključuje se u obračun kapitalnih zahteva za cenovni, devizni i robni rizik na sledeći način:
- kupljene call opcije kao duge pozicije;
- prodate call opcije kao kratke pozicije;
- kupljene put opcije kao kratke pozicije;
- prodate put opcije kao duge pozicije.
Delta vrednost pozicija u hartiji od vrednosti, robi ili stranoj valuti koje su predmet opcije može biti netirana suprotnom pozicijom u identičnoj hartiji od vrednosti, robi ili stranoj valuti. Ovako dobijene neto pozicije banka je dužna da uključi u obračun kapitalnih zahteva za cenovni, devizni i robni rizik.
387. Banka je dužna da, pored kapitalnog zahteva iz tačke 385. ove odluke, obračunava i dodatne kapitalne zahteve za gama rizik i vega rizik po osnovu opcija.
U smislu ove odluke, gama rizik (γ) označava parametar osetljivosti koji izražava stopu promene delte opcije za male promene cene hartije od vrednosti, robe ili strane valute koje su predmet opcije, dok vega rizik (Λ) označava parametar osetljivosti koji meri osetljivost cene opcije za male promene volatilnosti cene hartije od vrednosti, robe ili strane valute koje su predmet opcije.
Banka je dužna da za opcije kojima se trguje na berzi koristi gama i vega koeficijente koje je obračunala ta berza, dok za opcije koje su predmet vanberzanske trgovine koristi koeficijente izračunate primenom internog modela, u skladu s tačkom 390. ove odluke.
Radi izračunavanja kapitalnih zahteva za gama i vega rizik ukupne pozicije u opcijama, banka grupiše pojedinačne pozicije u opcijama u rizične kategorije. Banka može da netira gama i vega uticaje pojedinačnih pozicija samo u okviru posebne rizične kategorije, koju čine:
- svaki par stranih valuta i zlato - za valutne opcije ili opcije čiji je predmet zlato;
- svako nacionalno tržište - za opcije čiji su predmet vlasničke hartije od vrednosti (ako je vlasnička hartija od vrednosti listirana na više nacionalnih tržišta, referentno tržište određuje se prema zemlji u kojoj izdavalac te hartije ima registrovano sedište);
- svaka klasa dospeća (prema metodu dospeća), odnosno svaka zona dospeća (prema metodu trajanja) - za opcije čiji su predmet dužničke hartije od vrednosti i kamatne stope;
- svaka pojedinačna vrsta robe - za robne opcije.
a) Kapitalni zahtev za gama rizik po osnovu pozicija u opcijama
388. Radi izračunavanja kapitalnog zahteva za gama rizik po osnovu pozicija u opcijama, banka je dužna da računa gama uticaj za svaku pojedinačnu opciju, aproksimacijom cene opcije Tejlorovim nizom:
guma uticaj = |
1 |
- |
gama x N x (DB)2, |
2 |
gde je:
gama = drugi parcijalni izvod funkcije cene opcije po ceni predmeta ugovora,
N = količina predmeta ugovora,
ΔB = varijacija cene predmeta ugovora.
Varijacija cene predmeta ugovora (ΔB) izračunava se na sledeći način:
1) za opcije čiji su predmet ugovora dužničke hartije od vrednosti i kamatne stope - tržišna vrednost predmeta ugovora množi se odgovarajućim ponderima iz tabele iz tačke 343. ove odluke (Tabela 31), odnosno odgovarajućim promenama kamatne stope iz tabele iz tačke 346. te odluke (Tabela 32), zavisno od pristupa koji banka koristi;
2) za opcije čiji su predmet vlasničke hartije od vrednosti - tržišna vrednost predmeta ugovora množi se sa 8%;
3) za valutne opcije ili opcije čiji je predmet zlato - tržišna vrednost predmeta ugovora množi se sa 8%;
4) za opcije na robu - tržišna vrednost predmeta ugovora množi se sa 15%.
Radi izračunavanja kapitalnog zahteva za gama rizik ukupne pozicije u opcijama, banka je dužna da sabira pojedinačne gama uticaje u okviru posebnih rizičnih kategorija. Tako dobijeni neto gama uticaji za svaku posebnu rizičnu kategoriju mogu imati pozitivnu ili negativnu vrednost. Zbir apsolutnih vrednosti svih negativnih neto gama uticaja po svim rizičnim kategorijama predstavlja kapitalni zahtev za gama rizik ukupne pozicije u opcijama.
b) Kapitalni zahtev za vega rizik po osnovu pozicija u opcijama
389. Radi izračunavanja kapitalnog zahteva za vega rizik po osnovu pozicija u opcijama, banka je dužna da računa vega uticaj za svaku pojedinačnu opciju, aproksimacijom cene opcije Tejlorovim nizom:
vega uticaj = vega x N x |
volatilnost |
, |
4 |
gde je:
vega = prvi parcijalni izvod funkcije cene opcije po volatilnosti cene predmeta ugovora,
N = količina predmeta ugovora.
Radi izračunavanja vega uticaja pretpostavlja se da promena volatilnosti iznosi jednu četvrtinu tekuće volatilnosti (+/-25%).
Radi izračunavanja kapitalnog zahteva za vega rizik ukupne pozicije u opcijama, banka je dužna da sabira pojedinačne vega uticaje u okviru posebnih rizičnih kategorija. Tako dobijeni neto vega uticaji za svaku posebnu rizičnu kategoriju mogu imati pozitivnu ili negativnu vrednost. Zbir apsolutnih vrednosti svih negativnih neto vega uticaja po svim rizičnim kategorijama predstavlja kapitalni zahtev za vega rizik ukupne pozicije u opcijama.
v) Interni modeli za izračunavanje delta, gama i vega koeficijenta
390. Banka može da koristi interni model za izračunavanje delta, gama i vega koeficijenata uz prethodnu saglasnost Narodne banke Srbije ako dokaže da je uspostavila pouzdan i adekvatan sistem za upravljanje rizicima, da ga primenjuje na odgovarajući način i da ispunjava kvalitativne uslove iz tačke 394. ove odluke.
Pri podnošenju zahteva za dobijanje saglasnosti iz stava 1. ove tačke, banka je dužna da Narodnoj banci Srbije dostavi:
- opšte informacije o internom modelu za vrednovanje opcija, kao i unutrašnji akt kojim se uređuje strategija trgovanja opcijama, tehnike ublažavanja rizika koji nastaju po osnovu opcija, te planirani obim trgovanja opcijama,
- dokumentaciju o ispunjavanju kvalitativnih uslova iz tačke 394. ove odluke,
- pretpostavke korišćene u internom modelu za vrednovanje opcija, kao i način provere adekvatnosti korišćenih pretpostavki,
- opis metode za procenu parametara internog modela za vrednovanje opcija.
Nakon dobijanja saglasnosti iz stava 1. ove tačke, banka je dužna da kontinuirano primenjuje model iz te tačke.
Ako banka više ne ispunjava uslove iz stava 1. ove tačke, dužna je da o tome bez odlaganja obavesti Narodnu banku Srbije i da joj u najkraćem mogućem roku dostavi ili odgovarajući plan ponovnog usklađivanja sa ovim uslovima ili odgovarajući dokaz da posledice odstupanja od tih uslova nisu materijalno značajne. Ako je dostavila plan iz ovog stava, banka je dužna da Narodnu banku Srbije obavesti o tome da se uskladila sa uslovima iz tog stava u roku iz ovog plana.
Narodna banka Srbije može da ukine saglasnost iz stava 1. ove tačke ako utvrdi da banka ne ispunjava uslove iz ove tačke a posledice tog neispunjavanja su materijalno značajne, ako banka nije dostavila plan iz stava 4. te tačke, ako je dostavila neadekvatan plan ili ne postupa po dostavljenom planu.
PRISTUP INTERNIH MODELA
1. Saglasnost za korišćenje internih modela
391. Banka može za izračunavanje kapitalnih zahteva za tržišne rizike da koristi pristup internih modela ili kombinaciju ovog pristupa sa pristupima navedenim u odeljcima 2. do 5. ove glave, samo uz prethodnu saglasnost Narodne banke Srbije.
Način sprovođenja odredaba ove tačke koje se odnose na dostavljanje dokumentacije i njenu procenu Narodna banka Srbije propisuje uputstvom.
392. Banka može da koristi pristup internih modela ili kombinaciju ovog pristupa sa pristupima navedenim u odeljcima 2. do 5. ove glave za svaku od sledećih vrsta tržišnog rizika:
1) opšti rizik vlasničkih instrumenata;
2) specifični rizik vlasničkih instrumenata;
3) opšti rizik dužničkih instrumenata;
4) specifični rizik dužničkih instrumenata;
5) devizni rizik;
6) robni rizik.
393. Banka može da koristi pristup internih modela za izračunavanje kapitalnih zahteva za cenovni, devizni i robni rizik ili kombinaciju pristupa internih modela s pristupima navedenim u odeljcima 2. do 5. ove glave, ako ispunjava sledeće uslove:
- kvalitativne uslove utvrđene u tač. 394. do 396. ove odluke,
- kvantitativne uslove utvrđene u tački 397. ove odluke,
- dodatne uslove utvrđene u tački 398. ove odluke ako namerava da koristi pristup internih modela za specifični cenovni rizik,
- da internu validaciju modela i back testiranje sprovodi u skladu s tač. 400. i 401. ove odluke.
Banka koja nije dobila prethodnu saglasnost Narodne banke Srbije za korišćenje pristupa internih modela za određenu vrstu tržišnog rizika dužna je da izračunava kapitalni zahtev za tu vrstu rizika u skladu s pristupima navedenim u odeljcima 2. do 5. ove glave.
Banka je dužna da traži prethodnu saglasnost Narodne banke Srbije za primenu internog modela za svaku vrstu tržišnog rizika posebno.
Narodna banka Srbije će dati banci prethodnu saglasnost za korišćenje pristupa internih modela za određenu vrstu tržišnog rizika samo ako utvrdi da kapitalni zahtev izračunat na osnovu internog modela pokriva značajan deo izloženosti toj vrsti rizika.
Banka je dužna da u slučaju materijalno značajne promene u načinu primene, odnosno u slučaju proširenja modela za čije je korišćenje prethodno dobila saglasnost Narodne banke Srbije, a naročito uključivanja dodatnih vrsta rizika, ponovo podnese Narodnoj banci Srbije zahtev za davanje saglasnosti na korišćenje modela.
Banka je dužna da za prvi obračun stres VaR parametra u skladu s tačkom 397. stav 3. ove odluke podnese Narodnoj banci Srbije zahtev za davanje prethodne saglasnosti.
Banka je dužna da obavesti Narodnu banku Srbije o svim naknadnim izmenama modela na koji je dobila prethodnu saglasnost.
394. Ako namerava da koristi pristup internih modela u skladu s tačkom 391. ove odluke, banka je dužna da uspostavi pouzdan i adekvatan sistem upravljanja rizicima i da ga primenjuje na dosledan način, kao i da ispunjava sledeće opšte kvalitativne uslove:
1) da je interni model za merenje rizika uključen u proces dnevnog upravljanja rizicima i da se koristi kao osnova za izveštavanje izvršnog odbora banke o rizicima kojima je banka izložena ili može biti izložena;
2) da je obrazovala posebnu organizacionu jedinicu za upravljanje rizicima koja je nezavisna od organizacione jedinice zadužene za preuzimanje ovih rizika, koja za svoj rad odgovara direktno izvršnom odboru banke u čijem je delokrugu naročito:
- uspostavljanje dela sistema za upravljanje rizicima koji se odnosi na tržišne rizike,
- sačinjavanje i analiza dnevnih izveštaja o podacima dobijenim korišćenjem internog modela i merama koje je neophodno preduzeti u vezi s limitima trgovanja,
- razvoj i implementacija adekvatnog internog modela,
- inicijalna i kontinuirana validacija internog modela;
3) da upravni i izvršni odbor banke aktivno učestvuju u procesu kontrole rizika, pri čemu dnevne izveštaje organizacione jedinice iz odredbe pod 2) ovog stava analizira nivo rukovodstva banke ovlašćen za ograničavanje i smanjivanje pozicija koje zauzimaju zaposleni ovlašćeni za ugovaranje tržišnih transakcija, kao i ukupne izloženosti banke tržišnim rizicima;
4) da ima dovoljan broj zaposlenih odgovarajuće stručnosti osposobljenih za korišćenje složenih modela za ugovaranje tržišnih transakcija, upravljanje tržišnim rizicima, te knjigovodstveno evidentiranje i reviziju transakcija;
5) da je uspostavila procedure za praćenje i obezbeđivanje usklađenosti sa unutrašnjim aktima i kontrolnim mehanizmima funkcionisanja sistema za merenje rizika;
6) da je obezbeđena dokumentacija o pouzdanosti i tačnosti primenjenog internog modela za merenje rizika;
7) da redovno sprovodi stres testiranje, uključujući i obrnute stres testove, čije rezultate analizira izvršni odbor banke i, u skladu s tim rezultatima, menja unutrašnje akte i limite u vezi sa aktivnostima trgovanja;
8) da organizaciona jedinica iz odredbe pod 2) ovog stava redovno sprovodi back testiranje internog modela za merenje rizika;
9) da unutrašnja revizija banke najmanje jednom godišnje sprovodi procenu procesa upravljanja tržišnim rizicima, koja obuhvata kako aktivnosti organizacione jedinice u čijem je delokrugu ugovaranje tržišnih transakcija, tako i aktivnosti organizacione jedinice iz odredbe pod 2) ovog stava, a naročito procenu:
- adekvatnosti dokumentacije o procesu upravljanja ovim rizicima,
- organizacije i rada organizacione jedinice iz odredbe pod 2) ovog stava,
- korišćenja rezultata internog modela za merenje tržišnih rizika u procesu dnevnog upravljanja tim rizicima, kao i pouzdanosti sistema za izveštavanje rukovodstva banke,
- procesa koje banka koristi za odobravanje modela za procenu i vrednovanje rizika koje primenjuju zaposleni u organizacionoj jedinici u čijem je delokrugu ugovaranje tržišnih transakcija, u organizacionoj jedinici iz odredbe pod 2) ovog stava, kao i u organizacionoj jedinici zaduženoj za knjigovodstveno evidentiranje transakcija,
- sveobuhvatnosti modela za merenje ovih rizika i adekvatnosti provere svih značajnih promena u procesu merenja tih rizika,
- tačnosti i potpunosti podataka o pozicijama, tačnosti i pouzdanosti pretpostavki o volatilnosti i korelacijama, kao i tačnosti vrednovanja i izračunavanja osetljivosti na rizik,
- procedura koje banka koristi za proveru međusobne usklađenosti, blagovremenosti i pouzdanosti izvora podataka korišćenih u internom modelu, uključujući i nezavisnost tih izvora,
- procedura koje banka koristi za proveru back testiranja modela.
Stres testiranje iz stava 1. odredba pod 7) ove tačke obuhvata nelikvidnost tržišta u stresnim tržišnim uslovima, rizik koncentracije, jednostrana tržišta (one-way markets), rizik događaja (event risk), rizik neočekivanog neizmirenja obaveza druge ugovorne strane (jump-to-default risk), nelinearnost proizvoda, pozicije sa znatnim gubitkom (deep out-of-the-money positions), pozicije podložne velikim cenovnim promenama, kao i ostale rizike koji nisu na odgovarajući način obuhvaćeni internim modelom banke. Scenariji stres testova koje banka sprovodi treba da odražavaju karakteristike portfolija i period neophodan da se banka zaštiti od rizika ili da upravlja rizicima u stresnim tržišnim uslovima.
395. Banka je dužna da interni model unapređuje u skladu s tržišnim razvojem modela i dobrom poslovnom praksom.
Svaki interni model koji se koristi za izračunavanje kapitalnih zahteva za cenovni rizik, devizni rizik, robni rizik, kao i svaki interni model za trgovanje zasnovano na korelacijama mora da ispunjava sledeće uslove:
1) da obuhvata sve materijalno značajne cenovne rizike;
2) da obuhvata dovoljan broj faktora rizika, u zavisnosti od aktivnosti trgovanja banke na različitim tržištima, a ako su faktori rizika uključeni u model koji banka primenjuje za potrebe utvrđivanja cena, ali nisu uključeni u model za merenje rizika, banka je dužna da za to isključivanje faktora rizika pruži Narodnoj banci Srbije odgovarajuće obrazloženje.
Model za merenje rizika mora da obuhvati nelinearnost vrednosti opcija u odnosu na faktore tržišnog rizika, kao i rizik korelacije i bazni rizik.
U slučaju da banka koristi aproksimacije faktora rizika, dužna je da dokaže da te aproksimacije odražavaju stvarne izloženosti.
Banka je dužna da internim modelom obuhvati naročito sledeće faktore rizika:
1) za kamatni rizik: skup faktora rizika koji odgovaraju kamatnim stopama za svaku valutu u kojoj banka ima kamatno osetljive bilansne pozicije i vanbilansne stavke, pri čemu se kriva prinosa modelira korišćenjem jednog od opšteprihvaćenih pristupa, a za značajne izloženosti kamatnom riziku u glavnim valutama i tržištima kriva prinosa se deli na najmanje šest segmenata dospeća, kako bi obuhvatila volatilnost stopa duž krive prinosa;
2) za devizni rizik: faktore rizika koji odgovaraju zlatu, stranim valutama u kojima su izražene pozicije banke, kao i ulaganjima u investicione jedinice koje su izražene u stranoj valuti, pri čemu banka za obračun ovih ulaganja može da koristi izveštaje trećeg lica o valutnoj strukturi investicionog fonda pod uslovom da je obezbeđena ispravnost računanja, a ako nije upoznata sa strukturom ovih ulaganja - dužna je da na te pozicije primenjuje tretman utvrđen tačkom 366. stav 3. ove odluke;
3) za rizik ulaganja u vlasničke hartije od vrednosti: najmanje jedan faktor rizika za svako tržište vlasničkih hartija od vrednosti na kome banka ima značajne pozicije;
4) za robni rizik: najmanje jedan faktor rizika za svaku robu u kojoj banka ima značajnu poziciju, pri čemu interni model obuhvata rizik nesavršene korelacije između slične robe, kao i izloženosti promenama terminskih cena koje proizlaze iz neusklađenosti dospeća, a ovim modelom uzimaju se u obzir i tržišne karakteristike, naročito datumi isporuke i tržišna ograničenja za zaposlene ovlašćene za ugovaranje transakcija;
5) konzervativno procenjen faktor rizika za manje likvidne pozicije i pozicije sa ograničenom transparentnošću cena, prema realističnim tržišnim scenarijima. Pored toga, interni model mora da ispunjava minimalne standarde u vezi s podacima. Procene moraju biti dovoljno konzervativne i mogu se koristiti samo kada ne postoji dovoljno podataka ili podaci ne odražavaju stvarnu volatilnost pozicije ili portfolija.
396. Banka može da koristi empirijske korelacije u okviru određene rizične kategorije ili između rizičnih kategorija ako je njen sistem za merenje korelacija pouzdan i sveobuhvatan.
397. Ako banka namerava da koristi pristup internih modela u skladu s tačkom 391. ove odluke, dužna je da pri izračunavanju VaR parametra ispunjava sledeće kvantitativne uslove:
- da najmanje dnevno računa VaR parametar,
- da je jednostrani interval poverenja 99%,
- da je period držanja deset dana (pri računanju VaR parametra banka koristi faktore koji odražavaju volatilnost cena u periodu od deset dana),
- da se VaR parametar računa na osnovu perioda posmatranja ne kraćeg od jedne godine, osim u slučaju znatnog povećanja volatilnosti cena, kad period posmatranja može biti i kraći,
- da se vremenska serija podataka ažurira najmanje jednom mesečno.
Banka može da koristi vrednosti VaR parametara izračunate za kraće periode držanja prilagođene 10-dnevnom periodu primenom odgovarajuće metodologije koju banka periodično revidira.
Pored ispunjenosti uslova iz stava 1. ove tačke, banka je dužna da najmanje nedeljno izračunava VaR parametar u uslovima stresa (u daljem tekstu: stres VaR parametar) postojećeg portfolija banke, u skladu sa zahtevima iz stava 1. ove tačke, pri čemu ulazne promenljive u VaR model prilagođava istorijskim podacima iz perioda značajne finansijske krize u kontinuiranom trajanju od 12 meseci koji je relevantan za portfolio banke.
Banka je dužna da najmanje jednom godišnje vrši proveru adekvatnosti izabranih istorijskih podataka i da o rezultatima te provere obavesti Narodnu banku Srbije.
v) Dodatni uslovi za specifični cenovni rizik
398. Ako namerava da koristi pristup internih modela za specifični cenovni rizik po osnovu pozicija u dužničkim i vlasničkim hartijama od vrednosti u knjizi trgovanja banke, banka je dužna da obezbedi da interni model ispunjava i sledeće uslove:
- da objašnjava istorijske varijacije cena u portfoliju,
- da obuhvata koncentraciju portfolija u odnosu na veličinu portfolija i promenu njegove strukture,
- da funkcioniše i u nepovoljnom okruženju,
- da je sprovedeno back testiranje radi procene da li adekvatno obuhvata specifični cenovni rizik,
- da je osetljiv na značajne specifične razlike između sličnih pozicija, odnosno na rizik koji iz njih proizlazi (name-related basis risk),
- da obuhvata rizik događaja.
Pored uslova iz stava 1. ove tačke banka je dužna da u procenu internog kapitala uključi i uticaj rizika događaja, ako je izložena ovom riziku i on nije obuhvaćen VaR parametrom jer je izvan desetodnevnog perioda držanja i intervala poverenja od 99%.
g) Izuzeća od modela za specifični rizik
399. Banka može isključiti iz obračuna kapitalnog zahteva za specifični rizik primenom internih modela pozicije za koje ispunjava kapitalne zahteve za specifični rizik u skladu s tačkom 329. stav 4. odredba pod 5) ili tač. 338. do 340. ove odluke, osim onih pozicija na koje se primenjuje pristup iz tačke 409. ove odluke.
Banka može da rizik nastupanja statusa neizmirenja obaveza i rizik migracije za dužničke instrumente iz knjige trgovanja isključi iz internog modela za specifični rizik, ako kapitalne zahteve za ove rizike izračunava u skladu sa pododeljkom 3. ovog odeljka.
d) Interna validacija modela i back testiranje
400. Cilj validacije internog modela jeste provera pouzdanosti ovog modela, kao i provera da li su svi materijalno značajni rizici obuhvaćeni tim modelom.
Banka je dužna da obezbedi proces validacije internog modela koji sprovode zaposleni u banci odgovarajuće stručnosti i iskustva koji nisu učestvovali u procesu izrade i razvoja ovog modela.
Banka je dužna da sprovede validaciju internog modela nakon njegove izrade, kao i nakon svih značajnih promena tog modela. Banka je dužna da validaciju internog modela sprovodi i periodično, a posebno u slučaju izrazitijih promena tržišnih uslova i strukture portfolija banke.
Interna validacija modela obuhvata naročito:
- testiranje pretpostavki modela radi provere da li su korišćene pretpostavke adekvatne i da li njihovo uključivanje u model obezbeđuje ispravnu procenu rizika (bez potcenjivanja ili precenjivanja rizika),
- sprovođenje back testiranja koje odgovara strukturi i rizičnosti portfolija,
- korišćenje hipotetičkih portfolija radi provere da li interni model obuhvata moguće strukturne promene portfolija (npr. bazni rizik i rizik koncentracije).
401. Radi kontinuiranog praćenja tačnosti internog modela, banka je dužna da sprovodi back testiranje za svaki radni dan, odnosno da rezultate internog modela (dnevni VaR parametar izračunat na kraju radnog dana) poredi s dnevnom promenom vrednosti portfolija na kraju prethodnog, odnosno narednog radnog dana.
Banka je dužna da back testiranje sprovodi na osnovu stvarnih i hipotetičkih promena portfolija, pri čemu stvarne promene portfolija ne obuhvataju naknade, provizije i neto kamatni prihod. Back testiranje zasnovano na hipotetičkim promenama portfolija sprovodi se poređenjem vrednosti portfolija na kraju radnog dana i na kraju narednog radnog dana, pod pretpostavkom nepromenjene strukture portfolija.
2. Izračunavanje kapitalnog zahteva
402. Kapitalni zahtev za cenovni, devizni i robni rizik u skladu s pristupom internih modela jednak je zbiru:
1) veće od sledeće dve vrednosti:
- VaR parametar izračunat na kraju prethodnog radnog dana, u skladu s tačkom 397. st. 1. i 2. ove odluke (VaRt-1),
- prosečan VaR parametar izračunat u skladu s tačkom 397. st. 1. i 2. ove odluke za prethodnih 60 radnih dana (VaRavg) i pomnožen multiplikacionim faktorom (mc) u skladu s tabelom iz ove tačke (Tabela 36);
2) veće od sledeće dve vrednosti:
- poslednja raspoloživa vrednost stres VaR parametra izračunata u skladu s tačkom 397. st. 3. i 4. ove odluke (sVaRt-1),
- prosečan stres VaR parametar (sVaRavg) parametar za prethodnih 60 radnih dana izračunat na način i sa učestalošću iz tačkom 397. st. 3. i 4. ove odluke i pomnožen multiplikacionim faktorom (ms) u skladu s tabelom iz ove tačke (Tabela 36).
Banka koja koristi interni model za izračunavanje kapitalnih zahteva za specifični rizik dužničkih instrumenata dužna je da izračunava dodatni kapitalni zahtev kao zbir:
1) kapitalnog zahteva izračunatog u skladu s tač. 338. do 341. ove odluke za specifični rizik sekjuritizovanih pozicija i kreditnih derivata sa n-tim neizmirenjem obaveze u knjizi trgovanja osim onih koji su uključeni u kapitalne zahteve za specifični rizik portfolija namenjenog trgovanju zasnovanom na korelacijama u skladu sa pododeljkom 4. ovog odeljka i, tamo gde je to primenljivo, kapitalne zahteve za specifični rizik u skladu sa odeljkom 2. pododeljak 13. ove glave za one pozicije u otvorenim investicionim fondovima za koje nijedan od uslova iz tač. 359. i 360. ove odluke nije ispunjen i
2) većeg od sledeća dva iznosa:
- poslednja procena dodatnog rizika nastupanja statusa neizmirenja obaveza i migracije,
- prosečna vrednost takve procene u prethodnih 12 nedelja.
Banka koja ima portfolio namenjen trgovanju zasnovanom na korelacijama, koja ispunjava zahteve iz tačke 341. st. 1. do 4. ove odluke može, umesto na osnovu tačke 341. stav 5. ove odluke, da ispunjava kapitalne zahteve za ovaj portfolio u skladu s tačkom 409. ove odluke i da ga izračunava kao najveću od sledeće tri vrednosti:
1) poslednja procena rizika portfolija namenjenog trgovanju zasnovanom na korelacijama obračunata u skladu sa pododeljkom 4. ovog odeljka;
2) prosečna vrednost takve procene u prethodnih 12 nedelja;
3) 8% kapitalnog zahteva koji bi, u trenutku obračuna najskorije procene rizika portfolija namenjenog trgovanju zasnovanom na korelacijama pod 1), bio izračunat u skladu s tačkom 341. stav 5. ove odluke za sve pozicije uključene u interni model za portfolio namenjen trgovanju zasnovanom na korelacijama.
Banka je dužna da na prosečne VaR parametre izračunate u skladu s tačkom 397. ove odluke primenjuje multiplikacione faktore mc i ms.
Svaki od pomenutih multiplikacionih faktora predstavlja zbir faktora 3 i plus faktora u skladu sa tabelom iz ove tačke (Tabela 36). Ovaj plus faktor zavisi od broja prekoračenja internog modela u poslednjih 250 radnih dana utvrđenog na osnovu back-testiranja VaR parametra izračunatog u skladu s tačkom 397. st. 1. i 2. ove odluke koje je sprovela banka.
Tabela 36.
Broj prekoračenja |
Plus faktor |
Manje od 5 |
0,00 |
5 |
0,40 |
6 |
0,50 |
7 |
0,65 |
8 |
0,75 |
9 |
0,85 |
10 ili više |
1,00 |
Radi određivanja broja prekoračenja internog modela, banka je dužna da koristi back testiranje zasnovano na stvarnim i na hipotetičkim promenama portfolija.
Banka svakog radnog dana utvrđuje broj prekoračenja na osnovu back-testiranja zasnovanog na hipotetičkim i stvarnim promenama vrednosti portfolija. Prekoračenjem iz ove tačke se smatra dnevna promena vrednosti portfolija banke veća od odgovarajuće vrednosti VaR parametra za taj dan (jednodnevni VaR parametar) koja je rezultat internog modela banke. Radi određivanja plus faktora, banka je dužna da utvrđuje broj prekoračenja najmanje tromesečno, i to kao broj prekoračenja zasnovanog na hipotetičkom promenama vrednosti portfolija ili broj prekoračenja zasnovanog na stvarnim promenama vrednosti portfolija, u zavisnosti od toga koji od ova dva broja je veći.
Back-testiranje zasnovano na hipotetičkim promenama vrednosti portfolija mora se vršiti poređenjem vrednosti portfolija na kraju dana i, pod pretpostavkom nepromenjene strukture portfolija, vrednosti tog portfolija na kraju narednog dana.
Back-testiranje zasnovano na stvarnim promenama vrednosti portfolija mora se vršiti poređenjem vrednosti portfolija na kraju dana i stvarne vrednosti tog portfolija na kraju narednog dana, pri čemu se naknade, provizije i neto prihod od kamata ne uključuju u obračun vrednosti portfolija.
Narodna banka Srbije može u pojedinačnim slučajevima da ograniči plus faktor na osnovu prekoračenja utvrđenih testiranjem zasnovanom na hipotetičkim promenama, ako broj prekoračenja utvrđen testiranjem po stvarnim promenama nije rezultat nedostataka internog modela.
403. Banka je dužna da, najkasnije u roku od pet dana od dana kad je izvršeno back testiranje, Narodnu banku Srbije obavesti o broju prekoračenja iz tačke 402. ove odluke koja dovode do povećanja plus faktora.
3. Interni model za dodatni rizik nastupanja statusa neizmirenja obaveza i migracije
a) Zahtev za primenom IRC modela
404. Banka koja koristi interni model za izračunavanje kapitalnih zahteva za specifični rizik dužničkih instrumenata namenjenih trgovanju dužna je da razvije i primeni interni model za dodatni rizik nastupanja statusa neizmirenja obaveza i migracije (IRC model) za pozicije iz knjige trgovanja koji nije obuhvaćen VaR parametrom iz tačke 397. st. 1. i 2. ove odluke. Banka koja koristi IRC model je dužna da dokaže da model ispunjava sledeće zahteve pod pretpostavkom konstantnog nivoa rizika i da je prilagođen za uticaj rizika likvidnosti, koncentracije, neadekvatne zaštite i rizika opcija ugrađenih u kamatno osetljive bilansne pozicije i vanbilansne stavke (optionality):
1) interni model obezbeđuje jasno razlikovanje rizika i precizne i dosledne procene dodatnog rizika nastupanja statusa neizmirenja obaveza i migracije;
2) procena potencijalnih gubitaka dobijena tim modelom je sastavni deo procesa upravljanja rizicima u banci;
3) tržišni i interni podaci koji se koriste kao ulazne promenljive u modelu su ažurni i njihov kvalitet se periodično procenjuje;
4) ispunjeni su zahtevi iz tač. 394. i 396, tačke 398. stav 1. alineje druga, treća, peta i šesta i tačke 400. ove odluke.
b) Obuhvat internog IRC modela
405. Interni IRC model banke treba da obuhvati sve pozicije za koje je banka dužna da izračunava kapitalni zahtev za specifični cenovni rizik, uključujući i one kojima se dodeljuje ponder rizika 0% u skladu s tač. 335. do 337. ove odluke, osim sekjuritizovanih pozicija i kreditnih derivata sa n-tim neizmirenjem obaveze.
Banka može, uz prethodnu saglasnost Narodne banke Srbije, da u ovaj model uključi sve pozicije u vlasničkim instrumentima kotiranim na berzi i finansijskim derivatima koji u osnovi imaju ove instrumente, pod uslovom da je takvo uključivanje usklađeno sa metodima internog merenja i upravljanja rizicima.
v) Parametri internog IRC modela
406. Banka je dužna da koristi interni IRC model za izračunavanje iznosa gubitaka usled nastupanja statusa neizmirenja obaveza i migracije internih ili eksternih rejtinga, primenom intervala poverenja od 99,9% za vremenski period od godinu dana. Banka je dužna da takav obračun sprovodi najmanje jednom nedeljno.
Pretpostavke o korelacijama između promenljivih u modelu treba da prati analiza objektivnih podataka. Interni model treba da na odgovarajući način obuhvati rizik koncentracije izdavalaca, kao i koncentracije između različitih kategorija instrumenata i unutar iste kategorije instrumenata u stresnim uslovima.
Internim IRC modelom treba da bude obuhvaćen uticaj korelacija između događaja migracije i nastupanja statusa neizmirenja obaveza, a ne treba da bude obuhvaćen uticaj diversifikacije između događaja migracije i nastupanja statusa neizmirenja obaveza s jedne strane, i ostalih faktora rizika, s druge.
Interni IRC model treba da bude zasnovan na pretpostavci konstantnog nivoa rizika za vremenski period od godinu dana, što dovodi do toga da se pojedinačne pozicije ili skupovi pozicija u knjizi trgovanja kod kojih je došlo do nastupanja statusa neizmirenja obaveza ili migracija tokom njihovog perioda likvidacije, na kraju njihovog perioda likvidacije ponovo uravnotežuju kako bi se uspostavio inicijalni nivo rizika. Banka može alternativno da odabere da dosledno primenjuje pretpostavku o konstantnim pozicijama u toku jedne godine.
Period likvidacije pozicije banka treba da definiše u skladu sa vremenom potrebnim za prodaju pozicije ili za zaštitu od svih materijalno značajnih cenovnih rizika u stresnim uslovima, posebno imajući u vidu veličinu pozicije. Taj period bi trebalo da odražava stvarnu praksu i iskustvo iz istorijskih perioda povećanih opštih i specifičnih rizika usled stresnih događaja i izračunava se korišćenjem konzervativnih pretpostavki, pri čemu treba da bude dovoljno dug da prodaja ili zaštita pozicija ne utiče u materijalno značajnom iznosu na cenu po kojoj se može izvršiti ta prodaja ili zaštita.
Period likvidacije pozicije ne sme biti kraći od tri meseca. Banka je dužna da pri utvrđivanju odgovarajućeg perioda likvidacije pozicije uzme u obzir interne politike u vezi sa prilagođavanjem vrednovanja i upravljanjem pozicijama koje banka drži duže vreme.
Ako banka, umesto za pojedinačne pozicije, određuje period likvidacije za skupove pozicija, kriterijumi za određivanje skupova pozicija treba da budu utvrđeni na način koji odražava razlike u likvidnosti. Ovaj vremenski period treba da bude duži za pozicije koje nisu dovoljno diversifikovane, s obzirom da je duže vreme potrebno za njihovo zatvaranje. Vremenski horizont za realizaciju sekjuritizacije treba da odražava vreme potrebno da se izradi, proda i sekjuritizuje određeni instrument ili da se zaštiti od materijalno značajnih faktora rizika, pod stresnim tržišnim uslovima.
g) Priznavanje zaštite u internom IRC modelu
407. Interni model kojim se obuhvata dodatni rizik nastupanja statusa neizmirenja obaveza i migracije može uzeti u obzir pozicije zaštite. Pozicije mogu biti netirane pozicijama suprotnog predznaka u identičnim finansijskim instrumentima. Zaštita ili efekti diversifikacije koji se odnose na duge i kratke pozicije u različitim instrumentima ili različitim hartijama od vrednosti istog izdavaoca, kao i duge i kratke pozicije u instrumentima različitih izdavaoca priznaju se samo u slučaju eksplicitnog modeliranja bruto dugih i kratkih pozicija u različitim instrumentima.
Banka je dužna da obuhvati uticaj materijalno značajnih rizika kojima može biti izložena u periodu od trenutka dospeća zaštite do isteka perioda likvidacije, kao i mogućnost značajnog baznog rizika kojem se banka izlaže primenom strategija zaštite po proizvodima, redosledu naplate u strukturi kapitala, internim ili eksternim rejtinzima, ročnosti, datumu izdavanja i drugim razlikama u instrumentima.
Za pozicije koje su zaštićene primenom dinamičkih strategija zaštite, ponovno uspostavljanje zaštite do isteka perioda likvidacije može biti priznato ako su ispunjeni sledeći uslovi:
1) banka dosledno uključuje u model ponovno uspostavljanje zaštite za odgovarajući skup pozicija u knjizi trgovanja;
2) banka je dokazala da uključivanje ponovnog uspostavljanja zaštite u model unapređuje proces upravljanja rizicima u banci;
3) banka je dokazala da su tržišta za instrumente koji služe za zaštitu dovoljno likvidna da je ponovno uspostavljanje zaštite moguće i u stresnim periodima, a pri obračunu kapitalnih zahteva moraju se uzimati u obzir svi preostali rizici koji proizilaze iz strategije dinamičke zaštite.
d) Posebni zahtevi za interni IRC model
408. IRC model treba da odražava nelinearni uticaj opcija, strukturiranih kreditnih derivata i drugih pozicija sa materijalno značajnim nelinearnim ponašanjem u odnosu na promene cena. Banka takođe treba da uzme u obzir rizik modela koji proizilazi iz vrednovanja i procene cenovnih rizika po osnovu ovih proizvoda.
Interni model bi trebalo da bude zasnovan na podacima koji su objektivni i ažurni.
Kao deo nezavisnog procesa provere i validacije njenih internih modela korišćenih za potrebe ovog odeljka, uključujući sistem upravljanja rizicima, banka naročito mora da ispuni sledeće uslove:
1) da vrši proveru da li njen pristup modeliranju korelacija i promena cena odgovara njenom portfoliju, uključujući izbor faktora opšteg rizika i njihov značaj;
2) da vrši različite stres testove, uključujući analizu osetljivosti i scenario analizu, radi procene kvalitativne i kvantitativne osnovanosti modela, naročito u pogledu načina na koji je rizik koncentracije obuhvaćen modelom. Ti testovi ne treba da budu ograničeni na istorijske događaje;
3) da primenjuje odgovarajuću kvantitativnu validaciju koja uključuje relevantne referentne vrednosti za interne modele.
Interni model treba da bude usklađen sa internom metodologijom banke za praćenje, merenje i upravljanje tržišnim rizikom.
Banka je dužna da dokumentuje svoje interne modele tako da korelacije i ostale pretpostavke u tim modelima budu transparentne.
Interni model treba oprezno da proceni rizik koji proizilazi iz manje likvidnih pozicija i pozicija sa ograničenom transparentnošću cena u redovnim tržišnim uslovima. Pored toga, interni model treba da ispunjava minimalne standarde kvaliteta podataka. Pretpostavljene vrednosti podataka treba da budu oprezno procenjene i banka ih može koristiti samo ako dostupni tržišni podaci nisu dovoljni ili ne odražavaju stvarnu volatilnost pozicije ili portfolija.
4. Interni model za trgovanje zasnovano na korelacijama
409. Banka može, uz prethodnu saglasnost Narodne banke Srbije, da koristi interni model za izračunavanje kapitalnih zahteva za portfolio namenjen trgovanju zasnovanom na korelacijama, umesto kapitalnih zahteva obračunatih u skladu s tačkom 341. ove odluke.
Narodna banka Srbije će dati banci prethodnu saglasnost iz stava 1. ove tačke ako banka ima saglasnost Narodne banke Srbije za korišćenje internog modela za specifični rizik dužničkih instrumenata i ispunjava uslove iz ove tačke, kao i iz tačke 394, tačke 395. st. 1. do 4, tačke 396, tačke 398. stav 1. alineja prva, druga, treća, peta i šesta i tačke 400. ove odluke.
Banka koristi interni model za izračunavanje pokazatelja koji na adekvatan način meri sve cenovne rizike primenom intervala poverenja od 99,9% u periodu od godinu dana, pod pretpostavkom konstantnog nivoa rizika i koji je prilagođen za uticaj nelikvidnosti, koncentracije, zaštite i rizika opcija ugrađenih u kamatno osetljive bilansne pozicije i vanbilansne stavke (optionality). Banka je dužna da izračunava navedeni pokazatelj najmanje jednom nedeljno.
Banka je dužna da ovim modelom na odgovarajući način obuhvati sledeće rizike:
1) kumulativni rizik koji nastaje usled nastupanja većeg broja statusa neizmirenja obaveza, uključujući različit redosled nastupanja statusa neizmirenja obaveza u proizvodima koji su podeljeni na tranše;
2) rizik kreditne marže, uključujući gama i unakrsne gama efekte;
3) volatilnost korelacija izvedenih iz vrednosti derivata, uključujući unakrsni efekat između marži i korelacija;
4) bazni rizik, uključujući:
- bazu između marže indeksa i marže pojedinačnih instrumenata koji čine indeks;
- bazu između implicirane korelacije indeksa i implicirane korelacije i posebno prilagođenih portfolija;
5) volatilnost stope naplate, kao i uticaja stope naplate na cenu tranši;
6) rizik neefikasne zaštite i potencijalne troškove ponovnog uspostavljanja zaštite do iznosa u kojem sveobuhvatna mera rizika uključuje koristi od dinamičkog hedžinga;
7) ostali materijalno značajni cenovni rizici pozicija u portfoliju namenjenom trgovanju zasnovanom na korelacijama.
Banka je dužna da koristi dovoljno tržišnih podataka u modelu iz stava 1. ove tačke kako bi obezbedila da u potpunosti obuhvata glavne rizike ovih izloženosti u svom internom pristupu, u skladu sa zahtevima iz ove tačke. Banka putem back-testiranja ili drugih odgovarajućih tehnika treba da Narodnoj banci Srbije dokaže da njen model na adekvatan način objašnjava istorijske varijacije cena tih proizvoda.
Banka je dužna da uspostavi adekvatne politike i procedure kako bi razdvojila pozicije za koje ima prethodnu saglasnost Narodne banke Srbije da ih uključi u obračun kapitalnih zahteva primenom internog modela u skladu s ovom tačkom od ostalih pozicija za koje nema tu saglasnost.
U vezi sa portfolijom svih pozicija uključenih u model iz stava 1. ove tačke, banka je dužna da redovno primenjuje niz specifičnih, unapred definisanih stresnih scenarija. Takva stresna scenarija treba da ispituju efekte stresa na stope neizmirenja obaveza, stope naplate, kreditne marže, bazni rizik, korelacije i ostale relevantne faktore rizika na portfolio namenjen trgovanju zasnovanom na korelacijama. Banka je dužna da primenjuje stresne scenarije najmanje nedeljno i da najmanje tromesečno izveštava Narodnu banku Srbije o rezultatima takvih stres testova, uključujući poređenje sa kapitalnim zahtevima banke izračunatim u skladu sa ovom tačkom. Banka je dužna da odmah obavesti Narodnu banku Srbije o svakoj situaciji kada rezultati stres testa premaše kapitalne zahteve za portfolio namenjen trgovanju zasnovanom na korelacijama u materijalno značajnom iznosu.
Banka je dužna da internim modelom obezbedi opreznu procenu rizika koji proizilazi iz manje likvidnih pozicija i pozicija sa ograničenom transparentnošću cena u redovnim tržišnim uslovima, kao i to da interni model ispunjava minimalne standarde kvaliteta podataka. Pretpostavljene vrednosti podataka oprezno se procenjuju i banka ih može koristiti samo ako dostupni tržišni podaci nisu dovoljni ili ne odražavaju stvarnu volatilnost pozicije ili portfolija.
5. Način davanja prethodne saglasnosti Narodne banke Srbije za korišćenje pristupa internih modela
410. Pri podnošenju zahteva za dobijanje saglasnosti za korišćenje pristupa internih modela, banka je dužna da Narodnoj banci Srbije dostavi:
- opšte informacije u vezi s korišćenjem tog pristupa ili kombinacije pristupa iz tač. 391. i 392. ove odluke,
- dokumentaciju o ispunjenosti kvalitativnih uslova iz tač. 394. i 395. ove odluke,
- dokumentaciju o ispunjenosti kvantitativnih uslova iz tačke 397. ove odluke;
- dokumentaciju o ispunjenosti dodatnih uslova iz tačke 398. ove odluke, ako banka namerava da koristi pristup internih modela za specifični cenovni rizik,
- dokumentaciju o ispunjenosti uslova za validaciju modela i back testiranje iz tač. 400. i 401. ove odluke.
O zahtevu za dobijanje saglasnosti iz stava 1. ove tačke Narodna banka Srbije odlučuje u roku od šest meseci od dana prijema urednog zahteva.
Ako namerava da koristi empirijske korelacije u skladu s tačkom 396. ove odluke banka je dužna da, pored informacija i dokumentacije iz stava 1. ove tačke, dostavi i dokumentaciju kojom dokazuje da je njen sistem za merenje korelacija pouzdan i sveobuhvatan.
Banka je dužna da, nakon dobijanja saglasnosti iz stava 1. ove tačke, obezbedi kontinuiranu ispunjenost uslova utvrđenih u tom stavu.
Narodna banka Srbije u rešenju kojim daje prethodnu saglasnost za korišćenje pristupa internih modela za izračunavanje kapitalnog zahteva za cenovni, devizni i robni rizik utvrđuje i da li banka može, u skladu s tačkom 396. ove odluke, da koristi empirijske korelacije u okviru određene rizične kategorije ili između rizičnih kategorija, zatim da li može da koristi kombinaciju pristupa internih modela iz tačke 392. stav 1. te odluke, kao i kakvu kombinaciju može da koristi.
Ako banka više ne ispunjava uslove iz stava 1. ove tačke, dužna je da o tome bez odlaganja obavesti Narodnu banku Srbije i da joj u najkraćem mogućem roku dostavi ili odgovarajući plan ponovnog usklađivanja sa ovim uslovima ili odgovarajući dokaz da posledice odstupanja od tih uslova nisu materijalno značajne. Ako je dostavila plan iz ovog stava, banka je dužna da Narodnu banku Srbije obavesti o tome da se uskladila sa uslovima iz tog stava u roku iz ovog plana.
Ako više ne namerava da koristi empirijske korelacije, odnosno ako namerava da promeni kombinaciju pristupa iz stava 5. ove tačke, banka je dužna da o tome bez odlaganja obavesti Narodnu banku Srbije i da joj istovremeno dostavi zahtev za izmenu date saglasnosti, odnosno zahtev za dobijanje nove saglasnosti iz tog stava.
Ako je dobila saglasnost Narodne banke Srbije za korišćenje pristupa internih modela ili kombinacije tih pristupa iz tačke 392. stav 1. ove odluke, banka može iz opravdanih razloga da pređe na primenu pristupa propisanih u odeljcima 2. do 5. ove glave samo uz prethodnu saglasnost Narodne banke Srbije. Pri podnošenju zahteva za dobijanje ove saglasnosti, banka je dužna da Narodnoj banci Srbije dostavi odgovarajuću dokumentaciju kojom dokazuje opravdanost prestanka primene pristupa internih modela za sve ili pojedine vrste tržišnih rizika.
6. Ukidanje saglasnosti za korišćenje pristupa internih modela
411. Narodna banka Srbije može ukinuti saglasnost za korišćenje pristupa internih modela ili kombinacije tih pristupa iz tačke 392. stav 1. ove odluke ako utvrdi da banka više ne ispunjava uslove iz tačke 410. te odluke, a posledice tog neispunjavanja su materijalno značajne, ako nije dostavila plan iz tačke 410. stav 6. ove odluke, ako je dostavila neadekvatan plan i ako ne postupa po dostavljenom planu, kao i ako je broj prekoračenja modela iz tačke 402. te odluke takav da model više nije adekvatan.
Ako Narodna banka Srbije ukine banci saglasnost iz stava 1. ove tačke, banka je dužna da kapitalne zahteve za cenovni, devizni i robni rizik računa u skladu s pristupima utvrđenim u odeljcima 2. do 5. ove glave.
KAPITALNI ZAHTEV ZA OPERATIVNI RIZIK
412. Banka je dužna da kapitalni zahtev za operativni rizik izračunava primenom jednog od sledećih pristupa:
1) pristupa osnovnog indikatora;
2) standardizovanog pristupa, uz prethodno obaveštenje Narodne banke Srbije, odnosno alternativnog standardizovanog pristupa, uz prethodnu saglasnost Narodne banke Srbije;
3) naprednog pristupa, uz prethodnu saglasnost Narodne banke Srbije.
Izuzetno od stava 1. ove tačke, banka može, uz prethodnu saglasnost Narodne banke Srbije, da izračunava kapitalni zahtev za operativni rizik primenom jedne od sledećih kombinacija pristupa:
1) naprednog i standardizovanog pristupa;
2) naprednog pristupa i pristupa osnovnog indikatora;
3) standardizovanog pristupa i pristupa osnovnog indikatora.
413. Banka koja primenjuje standardizovani ili napredni pristup može preći na primenu drugog, manje složenog pristupa ili kombinacije pristupa uz prethodnu saglasnost Narodne banke Srbije, pri čemu je dužna da uz zahtev za dobijanje te saglasnosti dostavi dokumentaciju kojom dokazuje ispunjenost uslova iz stava 2. ove tačke.
Narodna banka Srbije daje saglasnost iz stava 1. ove tačke za primenu drugog, manje složenog pristupa ako su ispunjeni sledeći uslovi:
- da svrha ovog prelaska nije smanjenje kapitalnih zahteva za operativni rizik,
- da je prelazak neophodan na osnovu prirode i složenosti poslovanja banke,
- da prelazak ne bi imao materijalno značajan efekat na solventnost banke, odnosno na njenu sposobnost za efektivno upravljanje operativnim rizikom.
Dostavljanjem banci rešenja o saglasnosti iz stava 1. ove tačke - prethodno dobijena saglasnost za primenu pristupa prestaje da važi.
U rešenju iz stava 3. ove tačke Narodna banka Srbije utvrđuje rokove za prelazak banke na odobreni pristup.
Ako u postupku kontrole boniteta i zakonitosti poslovanja banke utvrdi da banka više ne ispunjava uslove za primenu standardizovanog pristupa, Narodna banka Srbije može naložiti banci da, u celosti ili u određenim delovima poslovanja, pređe na upotrebu pristupa osnovnog indikatora.
PRISTUP OSNOVNOG INDIKATORA
414. Kapitalni zahtev za operativni rizik izračunat primenom pristupa osnovnog indikatora jednak je iznosu trogodišnjeg proseka indikatora izloženosti pomnoženog stopom kapitalnog zahteva od 15%.
Trogodišnji prosek indikatora izloženosti iz stava 1. ove tačke predstavlja aritmetičku sredinu vrednosti tog indikatora za prethodne tri poslovne godine. Ako je za bilo koju od prethodne tri godine indikator izloženosti bio negativan ili jednak nuli, taj iznos se ne uključuje u izračunavanje trogodišnjeg proseka, već se ovaj prosek izračunava kao odnos zbira pozitivnih vrednosti indikatora izloženosti i broja godina u kojima su ostvarene te vrednosti.
Banka indikator izloženosti izračunava na osnovu podataka iz revidiranih godišnjih finansijskih izveštaja, a ako ti izveštaji još nisu revidirani - može da koristi i podatke iz nerevidiranih finansijskih izveštaja za tu godinu.
Banka koja posluje manje od tri godine može da koristi procene budućih vrednosti elemenata za izračunavanje indikatora izloženosti, pri čemu je dužna da počne da koristi podatke iz godišnjih finansijskih izveštaja čim joj postanu dostupni.
Banka može uz prethodnu saglasnost Narodne banke Srbije korigovati obračun kapitalnog zahteva iz stava 1. ove tačke, ukoliko utvrdi da korišćenjem trogodišnjeg proseka indikatora izloženosti ovaj obračun ne bi bio ispravan zbog spajanja sa drugom bankom odnosno pripajanja drugoj banci, sticanja ili otuđenja učešća u pravnim licima, uvođenja novih ili prestanka obavljanja pojedinih postojećih poslovnih aktivnosti banke, pri čemu se korekcija tog obračuna vrši uzimanjem u obzir navedenih okolnosti.
Saglasnost iz stava 5. ove tačke, Narodna banka Srbije daje ako na osnovu podnete dokumentacije utvrdi opravdanost zahteva banke i adekvatnost predložene korekcije obračuna.
Narodna banka Srbije može zahtevati korigovanje obračuna iz stava 1. ove tačke ukoliko utvrdi da je to opravdano zbog nastupanja okolnosti iz stava 5. te tačke, a banka nije podnela zahtev za dobijanje saglasnosti iz tog stava.
Indikator izloženosti iz stava 1. ove tačke izračunava se kao zbir neto prihoda od kamata i neto nekamatnih prihoda na osnovu sledećih elemenata:
- prihodi i rashodi od kamata,
- prihodi od dividendi i učešća,
- prihodi i rashodi od naknada i provizija,
- dobici i gubici po osnovu prodaje hartija od vrednosti,
- prihodi i rashodi od promene vrednosti imovine i obaveza,
- prihodi i rashodi od kursnih razlika,
- ostali prihodi iz redovnog poslovanja.
U izračunavanje indikatora izloženosti ne uključuju se:
- prihodi i rashodi indirektnih otpisa plasmana po osnovu bilansnih pozicija,
- rashodi rezervisanja za vanbilansne pozicije,
- ostali rashodi iz redovnog poslovanja,
- realizovani dobici/gubici po osnovu finansijske imovine koja nije namenjena trgovanju,
- ostali prihodi koji ne potiču iz redovnog poslovanja banke (npr. prihodi po osnovu ugovora o osiguranju).
Troškovi nastali po osnovu poveravanja poslova trećim licima koja nisu matično ili podređeno društvo banke niti podređeno društvo matičnog društva banke, smatraju se ostalim rashodima iz redovnog poslovanja. Banke nisu dužne da u izračunavanje indikatora izloženosti uključe troškove nastale po osnovu poveravanja poslova trećim licima ako su propisi kojima se uređuje poslovanje tih lica i nadzor nad tim poslovanjem usklađeni s propisima Evropske unije.
STANDARDIZOVANI PRISTUP
415. Ako za izračunavanje kapitalnog zahteva za operativni rizik koristi standardizovani pristup - banka je dužna da ispuni sledeće uslove:
1) da kao sastavni deo sistema za upravljanje rizicima uspostavi odgovarajući sistem upravljanja operativnim rizikom sa jasno utvrđenim odgovornostima i da to dokumentuje;
2) da sistem upravljanja operativnim rizikom omogućava identifikovanje izloženosti banke ovom riziku;
3) da prikuplja relevantne podatke o tom riziku, uključujući i podatke o materijalno značajnim gubicima;
4) da je sistem upravljanja ovim rizikom predmet redovne unutrašnje ili spoljne revizije koju sprovode lica odgovarajuće stručnosti;
5) da su rezultati procene ovog rizika osnov za praćenje i kontrolu rizičnog profila banke po osnovu operativnog rizika;
6) da sistem izveštavanja o ovom riziku pruža rukovodstvu i zaposlenima uključenim u proces upravljanja tim rizikom odgovarajuću podršku u donošenju odluka;
7) da je banka uspostavila unutrašnja akta kojima se uređuje preduzimanje odgovarajućih aktivnosti na osnovu informacija dobijenih na osnovu ovog izveštavanja.
Ako namerava da kapitalni zahtev za operativni rizik izračunava primenom standardizovanog pristupa - banka je dužna da, najkasnije u roku od 30 dana pre početka primene ovog pristupa, o tome obavesti Narodnu banku Srbije, kao i da uz obaveštenje dostavi dokumentaciju kojom dokazuje ispunjenost uslova iz stava 1. ove tačke, uključujući sopstvenu procenu upravljanja operativnim rizikom (self-assesment) i prateći izveštaj unutrašnje ili spoljne revizije o adekvatnosti procesa za upravljanje ovim rizikom.
Banka je dužna da Narodnoj banci Srbije najmanje jednom godišnje dostavlja dokumentaciju iz stava 2. ove tačke.
416. Radi izračunavanja kapitalnog zahteva za operativni rizik primenom standardizovanog pristupa, banka je dužna da poslovne aktivnosti razvrsta u linije poslovanja u skladu sa sledećom tabelom (Tabela 37) i da za svaku od tih linija izračunava indikator izloženosti na način propisan tačkom 414. st. 8. do 10. ove odluke:
Tabela 37.
Razvrstavanje linija poslovanja
Linija poslovanja |
Poslovne aktivnosti |
Stopa kapitalnog |
Finansiranje privrednih subjekata |
Poslovi pokrovitelja emisije finansijskih instrumenata |
18% |
Usluge koje se odnose na poslove pokrovitelja |
||
Investiciono savetovanje |
||
Konsultantske usluge u vezi sa strukturom kapitala, poslovnim strategijama i povezanim aktivnostima, kao i pružanje usluga koje se odnose na sticanje akcija i udela u drugim društvima i druga značajna ulaganja |
||
Poslovi investicionog istraživanja i finansijske analize, kao i ostale vrste savetodavnih usluga koje se odnose na transakcije finansijskim instrumentima |
||
Trgovina i prodaja |
Trgovina za sopstveni račun |
18% |
Poslovi povezani s tržištem novca |
||
Prijem i obrada naloga koji se odnose na jedan ili više finansijskih instrumenata |
||
Izvršavanje naloga za račun klijenta |
||
Plasiranje finansijskih instrumenata bez obaveze otkupa |
||
Upravljanje multilateralnim trgovački platformama |
||
Brokerski poslovi s fizičkim licima (uključujući i preduzetnike, poljoprivrednike i mala i srednja preduzeća koja ispunjavaju uslove iz tačke 51. ove odluke) |
Prijem i obrada naloga koji se odnose na jedan ili više finansijskih instrumenata |
12% |
Izvršavanje naloga za račun klijenata |
||
Plasiranje finansijskih instrumenata bez obaveze otkupa |
||
Bankarski poslovi s privrednim društvima |
Primanje depozita i drugih povratnih sredstava |
15% |
Kreditiranje |
||
Finansijski lizing u skladu sa odredbama posebnog zakona |
||
Izdavanje garancija i drugih oblika jemstava |
||
Bankarski poslovi s fizičkim licima (uključujući i preduzetnike, poljoprivrednike i mala i srednja preduzeća koja ispunjavaju uslove iz tačke 51. ove odluke) |
Primanje depozita i drugih povratnih sredstava |
12% |
Kreditiranje |
||
Finansijski lizing u skladu sa odredbama posebnog zakona |
||
Izdavanje garancija i drugih oblika jemstava |
||
Platni promet |
Usluge prenosa novca i pružanje drugih platnih usluga |
18% |
Izdavanje instrumenata plaćanja i upravljanje njima |
||
Usluge za račun klijenata |
Čuvanje finansijskih instrumenata za račun klijenata, uključujući i sa ovim povezane usluge kao što je upravljanje gotovinom i sredstvima obezbeđenja, kao i upravljanje tim instrumentima |
15% |
Upravljanje imovinom |
Upravljanje portfolijom |
12% |
Upravljanje fondovima |
||
Ostali oblici upravljanja imovinom |
Kapitalni zahtev za operativni rizik izračunat primenom standardizovanog pristupa jednak je trogodišnjem proseku godišnjih kapitalnih zahteva za sve linije poslovanja.
Godišnji kapitalni zahtev iz stava 2. ove tačke jednak je zbiru kapitalnih zahteva za pojedinačne linije poslovanja iz tog stava za određenu godinu.
Kapitalni zahtev za pojedinačne linije poslovanja iz stava 3. ove tačke jednak je proizvodu indikatora izloženosti izračunatog za tu liniju poslovanja i odgovarajuće stope kapitalnog zahteva utvrđene u tabeli iz stava 2. te tačke (Tabela 37).
Ako su za bilo koju godinu kapitalni zahtevi za pojedinačnu liniju poslovanja negativni, ovi zahtevi (s negativnim predznakom) uključuju se u izračunavanje godišnjeg kapitalnog zahteva iz stava 2. ove tačke.
Trogodišnji prosek godišnjih kapitalnih zahteva iz stava 2. ove tačke predstavlja aritmetičku sredinu tih zahteva. Ako je godišnji kapitalni zahtev negativan, banka u obračun trogodišnjeg proseka za godinu u kojoj je izračunat negativni kapitalni zahtev uključuje nulu umesto negativnog broja i trogodišnji prosek deli sa tri.
Banka je dužna da indikator izloženosti izračunava na osnovu podataka iz revidiranih godišnjih finansijskih izveštaja, a ako ti izveštaji još nisu revidirani - može da koristi i podatke iz nerevidiranih finansijskih izveštaja za tu godinu.
Banka koja je osnovana pre manje od tri godine može da koristi procene budućih vrednosti elemenata za izračunavanje indikatora izloženosti, pri čemu je dužna da počne da koristi podatke iz godišnjih finansijskih izveštaja čim joj postanu dostupni.
Banka može, uz prethodnu saglasnost Narodne banke Srbije korigovati obračun kapitalnog zahteva iz stava 2. ove tačke, ukoliko utvrdi da korišćenjem trogodišnjeg proseka indikatora izloženosti taj obračun ne bi bio objektivan zbog spajanja sa drugom bankom ili pripajanja drugoj banci, sticanja ili otuđenja učešća u pravnim licima, uvođenja novih ili prestanka obavljanja pojedinih postojećih poslovnih aktivnosti banke, pri čemu se korekcija obračuna vrši uzimanjem u obzir ovih okolnosti.
Saglasnost iz stava 9. ove tačke, Narodna banka Srbije daje ako na osnovu podnete dokumentacije utvrdi opravdanost zahteva banke i adekvatnost predložene korekcije obračuna.
Narodna banka Srbije može zahtevati korigovanje obračuna iz stava 2. ove tačke ukoliko utvrdi da je to opravdano zbog nastupanja okolnosti iz stava 9. te tačke, a banka nije podnela zahtev za dobijanje saglasnosti iz tog stava.
417. Banka je dužna da unutrašnjim aktima uredi način i kriterijume za izračunavanje indikatora izloženosti, odnosno za razvrstavanje pojedinačnih poslovnih aktivnosti u linije poslovanja, kao i da ove kriterijume prilagođava uvođenju novih ili izmeni postojećih poslovnih aktivnosti banke i novim rizicima.
Osnovni kriterijumi na osnovu kojih banka vrši razvrstavanje iz stava 1. ove tačke su sledeći:
1) sve poslovne aktivnosti razvrstavaju se u linije poslovanja po principu sveobuhvatnosti (svaka poslovna aktivnost mora biti razvrstana u neku od linija poslovanja) i uzajamne isključivosti (ista poslovna aktivnost ne može biti razvrstana u više od jedne linije poslovanja);
2) ako se neka poslovna aktivnost ne može sa sigurnošću razvrstati u neku od linija poslovanja, a predstavlja pomoćnu aktivnost glavnoj aktivnosti razvrstanoj u neku od tih linija - banka je dužna da ovu pomoćnu aktivnost razvrsta u liniju poslovanja glavne aktivnosti, pri čemu je dužna da, kad pomoćna aktivnost podržava aktivnosti iz više od jedne linije poslovanja, primeni objektivne kriterijume razvrstavanja u skladu sa svojim unutrašnjim aktima;
3) ako se poslovna aktivnost ne može razvrstati ni u jednu liniju poslovanja - banka je dužna da tu aktivnost, kao i sve njene pomoćne aktivnosti, razvrsta u liniju poslovanja s najvećom stopom kapitalnog zahteva;
4) banka može za alokaciju indikatora izloženosti po linijama poslovanja koristiti metode za određivanje internih cena, pri čemu se troškovi koji su nastali u jednoj a odnose se na drugu liniju poslovanja pripisuju toj drugoj liniji (npr. na osnovu internih troškova transfera između dve linije poslovanja);
5) razvrstavanje poslovnih aktivnosti u odgovarajuće linije poslovanja formalno i suštinski usklađuje se sa odgovarajućim odredbama ove odluke koje se odnose na kreditne i tržišne rizike.
Upravni odbor banke je odgovoran za usvajanje i kontrolu sprovođenja politike razvrstavanja poslovnih aktivnosti u linije poslovanja banke, a izvršni odbor - za sprovođenje ove politike.
Banka je dužna da obezbedi da proces razvrstavanja poslovnih aktivnosti u linije poslovanja bude predmet unutrašnje ili spoljne revizije.
Alternativni standardizovani pristup
418. Banka kapitalni zahtev za operativni rizik izračunava primenom alternativnog standardizovanog pristupa tako što za linije poslovanja bankarski poslovi s fizičkim licima i bankarski poslovi s privrednim društvima, izračunava indikator izloženosti na sledeći način:
1) indikator izloženosti je normalizovani pokazatelj prihoda jednak trogodišnjem proseku bruto knjigovodstvene vrednosti kredita i drugih potraživanja pomnoženom sa 0,035;
2) krediti i druga potraživanja sastoje se od ukupno iskorišćenih iznosa u odgovarajućim kreditnim portfolijima, pri čemu je banka dužna da, za liniju poslovanja bankarski poslovi sa privrednim društvima, u iznos kredita i drugih potraživanja uključi i hartije od vrednosti koje nisu raspoređene u knjigu trgovanja.
Narodna banka Srbije daje saglasnost za primenu pristupa iz stava 1. ove tačke ako su, pored uslova iz tačke 415. stav 1. ove odluke, ispunjeni i sledeći uslovi:
1) prihodi banke po osnovu bankarskih poslova sa privrednim društvima i fizičkim licima čine najmanje 90% ukupnih prihoda banke;
2) krediti sa visokom verovatnoćom neizmirenja obaveza (PD parametrom) prisutni su u znatnom udelu u liniji poslovanja bankarski poslovi sa privrednim društvima, odnosno bankarski poslovi sa fizičkim licima;
3) primena alternativnog standardizovanog pristupa pruža odgovarajuću osnovu za izračunavanje kapitalnog zahteva banke za operativni rizik.
Pri podnošenju zahteva za dobijanje saglasnosti iz stava 1. ove tačke, banka je dužna da Narodnoj banci Srbije dostavi dokumentaciju kojom dokazuje ispunjenost uslova iz stava 2. ove tačke.
NAPREDNI PRISTUP
1. Uslovi za primenu naprednog pristupa
419. Banka je dužna da ispuni sledeće kvalitativne uslove za primenu naprednog pristupa:
- uspostavljanje procesa upravljanja operativnim rizikom dokumentovanog na odgovarajući način;
- obezbeđivanje merenja operativnog rizika koje je sastavni deo procesa svakodnevnog upravljanja rizicima;
- uspostavljanje nezavisne funkcije upravljanja operativnim rizikom, odnosno posebne organizacione jedinice u čijem će delokrugu biti upravljanje tim rizikom;
- uspostavljanje redovnog izveštavanja o izloženosti operativnom riziku i gubicima po osnovu tog rizika, kao i procedura za preduzimanje odgovarajućih aktivnosti na osnovu informacija dobijenih ovim izveštavanjem;
- proces upravljanja i merenja operativnog rizika je predmet redovne unutrašnje ili spoljne revizije.
Banka je dužna da ispuni sledeće kvantitativne uslove za primenu naprednog pristupa:
1) merenje operativnog rizika i model za izračunavanje kapitalnog zahteva,
2) interne podatke,
3) eksterne podatke,
4) scenario analize,
5) faktore poslovnog okruženja i sistem unutrašnje kontrole.
420. Banka je dužna da obezbedi da merenje operativnog rizika bude adekvatno, naročito vodeći računa o odgovarajućoj proveri i potvrdi pouzdanosti ovog merenja, kao i transparentnosti i dostupnosti podataka koji se odnose na to merenje.
Pri izračunavanju kapitalnog zahteva za operativni rizik banka je dužna da obuhvati očekivane i neočekivane gubitke. Ako je banka očekivani gubitak na odgovarajući način već obuhvatila svojom poslovnom praksom, može ga izostaviti iz obračuna kapitalnog zahteva za operativni rizik. Merenje operativnog rizika obuhvata i događaje za koje je malo verovatno da će nastati ali izazivaju velike materijalne gubitke, uz interval poverenja od 99,9% za period od godinu dana.
Banka je dužna da obezbedi da merenje operativnog rizika sadrži ključne elemente koji obezbeđuju adekvatnost merenja u skladu sa stavom 1. ove tačke. Ključni elementi merenja operativnog rizika su interni i eksterni podaci, scenario analize, faktori poslovnog okruženja, kao i sistem unutrašnjih kontrola, a banka je dužna da ima dokumentovan pristup za dodeljivanje pondera za korišćenje ovih elemenata u okviru tog merenja.
Banka je dužna da obezbedi da merenje operativnog rizika obuhvati glavne pokretače rizika koji utiču na odnos učestalosti nastanka događaja i vrednosti izloženosti po osnovu ovih događaja za koje je malo verovatno da će nastati ali izazivaju velike materijalne gubitke (tj. na oblik repa raspodele verovatnoće procenjenih gubitaka).
421. Banka je dužna da pri merenju operativnog rizika koristi korelacije između pojedinačnih procena gubitaka po osnovu tog rizika samo ako je merenje ovih korelacija pouzdano i primenjeno na odgovarajući način, kao i ako uzima u obzir neizvesnost u procenama tih korelacija, naročito u vanrednim okolnostima. Banka je dužna da proverava i potvrđuje pretpostavke u vezi s navedenim korelacijama korišćenjem odgovarajućih kvalitativnih i kvantitativnih tehnika.
Banka je dužna da merenje operativnog rizika, kao deo jedinstvenog sistema upravljanja tim rizikom, na odgovarajući način uključi u sistem upravljanja rizicima, kao i da izbegava višestruko korišćenje kvalitativnih procena ili tehnika ublažavanja rizika pri izračunavanju adekvatnosti kapitala.
422. Banka meri operativni rizik na osnovu istorijskih podataka za period od najmanje pet godina. Ako prvi put primenjuje napredni pristup, banka ovo merenje može vršiti na osnovu istorijskih podataka za period od najmanje tri godine.
Banka je dužna da interne istorijske podatke o gubicima razvrstava u linije poslovanja u skladu s tač. 416. i 417. ove odluke i po vrstama događaja u skladu sa sledećom tabelom (Tabela 38):
Tabela 38.
Klasifikacija vrsta događaja
Vrste događaja |
Definicija |
Interne prevare |
Gubici nastali usled postupanja lica zaposlenih u banci s namerom prevare, pronevere, nezakonitog prisvajanja imovine banke i drugog sticanja protivpravne imovinske koristi, usled kršenja propisa ili unutrašnjih akata banke |
Eksterne prevare |
Gubici nastali usled prevare, nezakonitog prisvajanja imovine ili kršenja propisa, koje vrše treća lica |
Odnosi sa zaposlenima i sistem bezbednosti na radnom mestu |
Gubici nastali usled postupanja koje nije u skladu s propisima ili ugovorima iz oblasti radnih odnosa, zapošljavanja, zdravstvene i socijalne zaštite ili bezbednosti na radu; gubici nastali usled naknade štete pričinjene zaposlenima ili zbog zlostavljanja, odnosno diskriminacije na radnom mestu |
Klijenti, proizvodi i poslovni postupci |
Gubici nastali usled neispunjavanja obaveza prema klijentima zbog nenamernih grešaka ili nepažljivog rada, odnosno zbog prirode ili karakteristika proizvoda |
Šteta na materijalnoj imovini |
Gubici nastali po osnovu štete pričinjene materijalnoj imovini usled više sile (npr. prirodne katastrofe) ili drugih događaja |
Prekidi u poslovanju i greške u sistemima banke |
Gubici nastali usled prekida u poslovanju ili sistemskih grešaka |
Izvršenje transakcija i isporuka i upravljanje procesima u banci |
Gubici nastali usled neizvršenja transakcija ili neadekvatnog upravljanja procesima, kao i gubici nastali iz odnosa s poslovnim partnerima i dobavljačima |
Narodna banka Srbije može od banke zahtevati da joj dostavi podatke razvrstane na način utvrđen u stavu 2. ove tačke.
Banka može događaje koji izazivaju gubitke po osnovu operativnog rizika na nivou cele banke da razvrsta u dodatnu liniju poslovanja pod nazivom "korporativne stavke", s tim što je dužna da utvrdi procedure za objektivno razvrstavanje gubitaka po odgovarajućim vrstama događaja.
423. Banka interne podatke o gubicima koji su nastali po osnovu operativnog rizika a povezani su s kreditnim rizikom i uključeni u internu bazu istorijskih podataka o kreditnom riziku - evidentira u internoj bazi podataka o operativnom riziku i posebno ih označava. Ako je banka te gubitke obuhvatila pri izračunavanju kapitalnog zahteva za kreditni rizik, ne uzima ih u obzir radi izračunavanja kapitalnog zahteva za operativni rizik.
Banka je dužna da gubitke koji su nastali po osnovu operativnog rizika a povezani su s tržišnim rizicima uključi u izračunavanje kapitalnog zahteva za operativni rizik, a ne u izračunavanje kapitalnog zahteva za tržišne rizike.
Banka je dužna da obezbedi da interni podaci o gubicima obuhvataju sve materijalno značajne aktivnosti i izloženosti banke, s tim što iz ovih podataka može izostaviti neke aktivnosti i/ili izloženosti ako obezbedi dokumentaciju kojom dokazuje da one, pojedinačno ili u kombinaciji, neće znatno uticati na sveobuhvatnu procenu rizika, a dužna je i da utvrdi odgovarajući minimalni prag značajnosti (novčani iznos) za prikupljanje tih podataka.
U procesu prikupljanja internih podataka, banka je dužna da, pored podataka o bruto iznosu gubitka (bez naknada po osnovu osiguranja i drugih mehanizama za prenos rizika), prikuplja i sledeće podatke:
- datum nastanka događaja, a ako ovaj datum nije moguće utvrditi - datum utvrđivanja da je događaj nastao ili datum knjigovodstvenog evidentiranja gubitka;
- sve povraćaje u vezi s bruto iznosom gubitaka;
- opis uzroka događaja koji su doveli do gubitaka.
Banka je dužna da utvrdi kriterijume za razvrstavanje podataka o gubicima koji proizlaze iz aktivnosti koje obuhvataju više od jedne linije poslovanja, događaja u centralizovanim funkcijama banke, kao i događaja međusobno povezanih u određenom periodu.
Banka je dužna da uspostavi procedure za procenu značaja istorijskih podataka o gubicima koje treba da obuhvate i sve promene, prilagođavanja i izuzetke u procesu prikupljanja internih podataka, kao i odgovornost za sprovođenje ovih procedura.
424. Banka je dužna da pri merenju operativnog rizika koristi odgovarajuće eksterne podatke o gubicima po osnovu tog rizika, naročito kada se opravdano može utvrditi da je izložena rizičnim događajima za koje je malo verovatno da će nastati ali mogu izazvati velike materijalne gubitke.
Banka je dužna da uspostavi procedure kojima utvrđuje u kojim je situacijama potrebno koristiti eksterne podatke, kao i metodologije za korišćenje tih podataka pri merenju operativnog rizika. Banka redovno proverava uslove i način korišćenja eksternih podataka, dokumentuje ih na odgovarajući način i obezbeđuje da budu predmet redovne nezavisne provere.
425. Banka je dužna da pri merenju operativnog rizika koristi i scenario analize zasnovane na mišljenju zaposlenih u banci koji raspolažu odgovarajućim znanjem i iskustvom, radi procene svoje izloženosti rizičnim događajima za koje je malo verovatno da će nastati ali mogu izazvati velike materijalne gubitke. Banka je dužna da ove procene tokom vremena proverava i potvrđuje poređenjem s podacima o stvarno nastalim gubicima, da bi obezbedila njihovu pouzdanost.
Banka je dužna da obezbedi da merenje operativnog rizika uključuje uticaj faktora poslovnog okruženja i sistema unutrašnjih kontrola na promenu rizičnog profila banke po osnovu tog rizika, kao i da to uključivanje zasniva na iskustvu i stručnoj proceni zaposlenih u odgovarajućoj oblasti poslovanja. Ovo uključivanje banka dokumentuje na odgovarajući način i dužna je da obezbedi da ono bude predmet unutrašnje i spoljne revizije. Banka je dužna da redovno proverava i potvrđuje proces uključivanja navedenih faktora i njegove rezultate poređenjem s podacima o stvarno nastalim gubicima i relevantnim eksternim podacima.
Banka je dužna da obrazloži i na odgovarajući način dokumentuje osetljivost procena operativnog rizika na promene faktora iz stava 2. ove tačke, kao i način dodeljivanja pondera tim (različitim) faktorima. Merenje operativnog rizika obuhvata i moguća povećanja rizičnosti nastala usled veće složenosti i obima poslovanja banke.
2. Efekti osiguranja i drugih mehanizama za prenos rizika
426. Banka može, pri izračunavanju kapitalnog zahteva za operativni rizik, uzeti u obzir efekte osiguranja ako su ispunjeni sledeći uslovi:
1) da osiguravač ima dozvolu nadležnog regulatornog tela za obavljanje delatnosti osiguranja ili reosiguranja i dodeljen kreditni rejting podobne agencije za rejting koji odgovara nivou kreditnog kvaliteta 3 ili boljem za klasu izloženosti prema bankama, u skladu sa odredbama Glave IV odeljak 1. ove odluke, a da nije povezan s bankom, osim kad je izloženost operativnom riziku preneta na lice koje nije povezano s bankom (npr. reosiguravač) i koje ispunjava uslove iz ove odredbe utvrđene za osiguravača;
2) da prvobitno ugovoreno trajanje polise osiguranja nije kraće od godinu dana;
3) da banka, kod polisa osiguranja s preostalim trajanjem osiguranja kraćim od godinu dana, primenjuje umanjene efekte osiguranja na smanjenje kapitalnog zahteva uzimajući u obzir preostalo trajanje, a da kod polisa osiguranja s preostalim trajanjem osiguranja kraćim od 90 dana ove polise ne uzima u obzir pri izračunavanju kapitalnog zahteva;
4) da otkazni rok nije kraći od 90 dana od dana obaveštenja;
5) da ugovor o osiguranju ne sadrži odredbe o isključenju ili ograničenju naknade štete koje su posledica aktivnosti i mera regulatornih tela i drugih nadležnih organa, kao ni odredbe o isključenju ili ograničenju naknade štete po osnovu ovog ugovora u slučaju stečaja ili likvidacije banke (izuzev kad je događaj nastupio nakon pokretanja stečajnog postupka, odnosno postupka likvidacije), osim kad su ova isključenja i ograničenja posledica novčanih kazni tih tela i organa;
6) da izračunavanje efekta ublažavanja rizika odražava pokrivenost osiguranjem na transparentan način i u skladu s procenjenom verovatnoćom nastanka gubitka i njegovim efektom na utvrđivanje kapitalnog zahteva za operativni rizik.
Banka je dužna da usvoji metodologiju za priznavanje efekata osiguranja pri izračunavanju kapitalnog zahteva za operativni rizik, kojom se posebno se uređuje način izračunavanja diskonta i umanjenje u vezi sa efektima osiguranja - u sledećim slučajevima:
- preostalo trajanje polise osiguranja kraće je od godinu dana;
- otkazni rok polise osiguranja kraći je od godinu dana;
- isplata polisa osiguranja je neizvesna, a postoji i neusklađenost u njihovom pokriću.
Banka je dužna da obrazloži i na odgovarajući način dokumentuje efekat osiguranja i drugih mehanizama za prenos rizika pri obračunu kapitalnog zahteva za operativni rizik.
427. Smanjenje kapitalnih zahteva za operativni rizik usled priznavanja efekta osiguranja i drugih mehanizama za prenos rizika ne može biti veće od 20% kapitalnog zahteva za ovaj rizik izračunatog bez uzimanja u obzir tog efekta.
3. Način davanja i ukidanja saglasnosti Narodne banke Srbije za primenu naprednog pristupa
428. Narodna banka Srbije daje banci prethodnu saglasnost za primenu naprednog pristupa za izračunavanje kapitalnog zahteva za operativni rizik ako utvrdi da su ispunjeni uslovi utvrđeni odlukom kojom se uređuje upravljanje rizicima banke i uslovi iz tač. 419. do 425. ove odluke.
Pri podnošenju zahteva za dobijanje saglasnosti iz stava 1. ove tačke, banka je dužna da Narodnoj banci Srbije dostavi:
- opšte informacije u vezi s primenom naprednog pristupa i plan implementacije ovog pristupa,
- dokaz o ispunjenosti uslova iz tog stava,
- prikaz korišćenja osiguranja ili drugih mehanizama za prenos rizika radi smanjenja izloženosti banke operativnom riziku,
- svoju procenu spremnosti primene naprednog pristupa.
O zahtevu za dobijanje saglasnosti iz stava 1. ove tačke Narodna banka Srbije odlučuje u roku od šest meseci od dana prijema urednog zahteva.
Banka je dužna da najmanje jednom godišnje Narodnoj banci Srbije dostavlja izveštaj unutrašnje ili spoljne revizije o adekvatnosti primenjenog naprednog pristupa.
Način sprovođenja odredaba ove tačke koje se odnose na dostavljanje dokumentacije i njenu procenu Narodna banka Srbije propisuje uputstvom.
429. Ako nakon dobijene saglasnosti za primenu naprednog pristupa za izračunavanje kapitalnog zahteva za operativni rizik više ne ispunjava uslove iz tač. 419. do 425. ove odluke - banka je dužna da Narodnoj banci Srbije bez odlaganja dostavi plan o usklađivanju sa ovim uslovima u odgovarajućem roku ili dokaz da posledice neispunjavanja tih uslova nisu materijalno značajne. Ako je banka dostavila plan iz ovog stava, dužna je da Narodnu banku Srbije bez odlaganja obavesti o tome da se uskladila sa uslovima iz tog stava u roku iz ovog plana.
Narodna banka Srbije može ukinuti saglasnost iz stava 1. ove tačke ako banka ne ispunjava uslove iz tog stava a posledice tog neispunjavanja su materijalno značajne, ako banka nije dostavila plan iz stava 1. ove tačke, ako je dostavila neadekvatan plan ili ne postupa po dostavljenom planu.
Ako je Narodna banka Srbije ukinula saglasnost iz stava 1. ove tačke, banka je dužna da za izračunavanje kapitalnog zahteva za operativni rizik primenjuje pristup osnovnog indikatora ili standardizovani pristup.
Narodna banka Srbije daje saglasnost na sprovođenje materijalno značajnih izmena i dopuna naprednog pristupa samo ako na osnovu dostavljene dokumentacije i drugih raspoloživih podataka utvrdi da bi banka i nakon tih izmena i dopuna ispunjavala uslove iz tač. 419. do 425. ove odluke.
Banka koja primenjuje napredni pristup je dužna da obavesti Narodnu banku Srbije o svim izmenama internih modela koje koristi u okviru ovog pristupa.
KOMBINOVANA PRIMENA PRISTUPA
430. Ako je dobila saglasnost Narodne banke Srbije za kombinovanu primenu pristupa za izračunavanje kapitalnog zahteva za operativni rizik - banka je dužna da taj kapitalni zahtev izračunava tako što sabira pojedinačne kapitalne zahteve za operativni rizik izračunate primenom pojedinačnih pristupa.
431. Narodna banka Srbije daje banci saglasnost za primenu naprednog pristupa u kombinaciji s pristupom osnovnog indikatora ili sa standardizovanim pristupom u sledećim slučajevima:
- ako su kombinacijom pristupa obuhvaćeni svi operativni rizici banke;
- ako metodologija za merenje operativnog rizika na zadovoljavajući način obuhvata različite aktivnosti, geografske oblasti, organizacione jedinice ili druge relevantne faktore;
- ako su ispunjeni uslovi koji su tačkom 415. ove odluke utvrđeni za aktivnosti na koje se primenjuje standardizovani pristup, odnosno uslovi koji su tač. 419. do 425. te odluke utvrđeni za aktivnosti na koje se primenjuje napredni pristup.
Pri davanju saglasnosti iz stava 1. ove tačke, Narodna banka Srbije može od banke zahtevati i da, na dan početka primene naprednog pristupa, znatan deo operativnog rizika banke bude obuhvaćen ovim pristupom, odnosno da banka preuzme obavezu prelaska na taj pristup za materijalno značajan deo svog poslovanja u skladu s rokovima utvrđenim u toj saglasnosti.
Pri podnošenju zahteva za dobijanje saglasnosti iz stava 1. ove tačke, banka je dužna da Narodnoj banci Srbije dostavi dokaze o ispunjenosti uslova iz te tačke, kao i prikaz aktivnosti razvrstanih po pojedinačnim pristupima.
O zahtevu za dobijanje saglasnosti iz stava 1. ove tačke Narodna banka Srbije odlučuje u roku od šest meseci od dana prijema urednog zahteva.
Narodna banka Srbije može banci ukinuti saglasnost iz stava 1. ove tačke ako utvrdi da više nisu ispunjeni uslovi iz te tačke.
432. Narodna banka Srbije daje banci saglasnost za kombinovanu upotrebu pristupa osnovnog indikatora i standardizovanog pristupa samo u izuzetnim okolnostima, kad je potrebno određeno vreme za prelazak na standardizovani pristup (npr. uvođenje nove poslovne aktivnosti).
Pri podnošenju zahteva iz stava 1. ove tačke, banka je dužna da Narodnoj banci Srbije dostavi dokaz o nastanku izuzetnih okolnosti i njihov opis, kao i plan prelaska na standardizovani pristup za sve linije poslovanja i organizacione jedinice.
U rešenju kojim daje saglasnost iz stava 1. ove tačke Narodna banka Srbije utvrđuje i rok za prelazak s kombinovanog pristupa na standardizovani pristup.
Narodna banka Srbije može banci ukinuti saglasnost iz stava 1. ove tačke ako banka ne pređe na standardizovani pristup u roku iz stava 3. te tačke.
ZAŠTITNI SLOJEVI KAPITALA
433. Pojedini pojmovi, u smislu ove glave, imaju sledeće značenje:
1) zaštitni slojevi kapitala su:
- zaštitni sloj za očuvanje kapitala,
- kontraciklični zaštitni sloj kapitala,
- zaštitni sloj kapitala za globalno sistemski značajnu banku,
- zaštitni sloj kapitala za sistemski značajnu banku,
- zaštitni sloj kapitala za strukturni sistemski rizik;
2) zahtev za kombinovani zaštitni sloj kapitala je kapital koji je potreban kako bi se ispunio zahtev za zaštitni sloj za očuvanje kapitala, uvećan za sledeće zaštitne slojeve kapitala, u zavisnosti od toga šta je primenljivo:
- kontraciklični zaštitni sloj kapitala banke,
- zaštitni sloj kapitala za globalno sistemski značajnu banku,
- zaštitni sloj kapitala za sistemski značajnu banku,
- zaštitni sloj kapitala za strukturni sistemski rizik;
3) stopa kontracikličnog zaštitnog sloja kapitala je stopa koju određuje Narodna banka Srbije u skladu s tač. 436. do 441. ove odluke, odnosno stopa koju određuje nadležno regulatorno telo druge države, a koju je banka dužna da primenjuje pri izračunavanju kontracikličnog zaštitnog sloja kapitala;
4) specifična stopa kontracikličnog zaštitnog sloja kapitala je stopa koju banka obračunava u skladu s tačkom 443. ove odluke u svrhu obračuna kontracikličnog zaštitnog sloja kapitala;
5) sistemski rizik je rizik od poremećaja u pružanju finansijskih usluga u finansijskom sistemu koji bi mogao da ima ozbiljne negativne posledice na realnu ekonomiju, a obuhvata međusektorsku dimenziju - strukturni rizik, odnosno rizik povezanosti koji proizlazi iz međusobne povezanosti lica u finansijskom sektoru i cikličnu dimenziju - rizik koji varira kroz vreme i zavisi od faze finansijskog ciklusa;
6) konsolidovana osnova je osnova u slučaju konsolidacije bankarske grupe čije najviše matično društvo ima sedište u Republici Srbiji;
7) potkonsolidovana osnova je osnova u slučaju konsolidacije člana bankarske grupe čije najviše matično društvo ima sedište u inostranstvu.
1. Zaštitni sloj za očuvanje kapitala
434. Banka je dužna da na pojedinačnoj i konsolidovanoj osnovi održava zaštitni sloj za očuvanje kapitala u iznosu od 2,5% njene rizične aktive, obračunate u skladu s tačkom 3. stav 2. ove odluke.
Zaštitni sloj iz stava 1. ove tačke može se sastojati samo iz elemenata osnovnog akcijskog kapitala i ne može se koristiti za održavanje pokazatelja adekvatnosti kapitala banke iz tačke 3. stav 3. ove odluke, odnosno povećanog pokazatelja adekvatnosti kapitala banke iz tačke 5. ove odluke.
Banka koja ne održava zaštitni sloj za očuvanje kapitala iz stava 1. ove tačke dužna je da primeni mere za očuvanje kapitala iz tačke 455. st. 2. do 4. ove odluke i plan za očuvanje kapitala iz tačke 458. te odluke.
2. Kontraciklični zaštitni sloj kapitala
435. Banka je dužna da na pojedinačnoj i konsolidovanoj osnovi održava kontraciklični zaštitni sloj kapitala u iznosu koji je jednak proizvodu iznosa njene rizične aktive, obračunate u skladu s tačkom 3. stav 2. ove odluke i specifične stope kontracikličnog zaštitnog sloja kapitala iz tačke 443. te odluke.
Zaštitni sloj iz stava 1. ove tačke može se sastojati samo iz elemenata osnovnog akcijskog kapitala i ne može se koristiti za održavanje pokazatelja adekvatnosti kapitala banke iz tačke 3. stav 3. ove odluke, odnosno povećanog pokazatelja adekvatnosti kapitala banke iz tačke 5. te odluke, kao ni za održavanje zaštitnog sloja za očuvanje kapitala iz tačke 434. te odluke.
Banka koja ne održava zaštitni sloj kapitala iz stava 1. ove tačke dužna je da primeni mere za očuvanje kapitala iz tačke 455. st. 2. do 4. ove odluke i plan za očuvanje kapitala iz tačke 458. ove odluke.
Utvrđivanje stope kontracikličnog zaštitnog sloja kapitala za Republiku Srbiju
436. Narodna banka Srbije utvrđuje stopu kontracikličnog zaštitnog sloja kapitala za Republiku Srbiju.
Narodna banka Srbije na tromesečnom nivou obračunava referentni pokazatelj na osnovu kojeg procenjuje potrebnu visinu stope kontracikličnog zaštitnog sloja kapitala za Republiku Srbiju.
Obračun referentnog pokazatelja iz stava 2. ove tačke Narodna banka Srbije zasniva na odstupanju međusobnog odnosa kredita i bruto domaćeg proizvoda od njegovog dugoročnog trenda, polazeći pri tom od pokazatelja rasta kreditne aktivnosti u Republici Srbiji, a naročito pokazatelja koji odražava promenu odnosa odobrenih kredita u Republici Srbiji i bruto domaćeg proizvoda i uzimajući u obzir smernice Evropskog odbora za sistemski rizik u vezi sa načinom merenja i izračunavanja odstupanja odnosa kredita i bruto domaćeg proizvoda od dugoročnog trenda.
Stopu kontracikličnog zaštitnog sloja kapitala za Republiku Srbiju Narodna banka Srbije utvrđuje na tromesečnom nivou uzimajući u obzir:
1) referentni pokazatelj iz stava 2. ove tačke;
2) važeće smernice Evropskog odbora za sistemski rizik i sve preporuke tog odbora u vezi sa određivanjem stope kontracikličnog zaštitnog sloja kapitala;
3) ostale promenljive koje smatra relevantnim za praćenje ciklične dimenzije sistemskog rizika.
Stopa kontracikličnog zaštitnog sloja kapitala za Republiku Srbiju
437. Narodna banka Srbije određuje stopu kontracikličnog zaštitnog sloja kapitala za Republiku Srbiju, u skladu s tačkom 436. stav 4. ove odluke, u rasponu između 0% i 2,5% rizične aktive banke, pri čemu je podešava u iznosu od 0,25 procentnih poena ili sadržaocu 0,25 procentnih poena.
Izuzetno od stava 1. ove tačke, Narodna banka Srbije može odrediti stopu kontracikličnog zaštitnog sloja kapitala veću od 2,5% rizične aktive banke ukoliko procena iz tačke 436. stav 4. ove odluke to opravdava. Tako utvrđena stopa se primenjuje za izračunavanje specifične stope kontracikličnog zaštitnog sloja kapitala u skladu s tačkom 443. ove odluke.
Početak primene stope kontracikličnog zaštitnog sloja kapitala za Republiku Srbiju
438. Kada Narodna banka Srbije prvi put odredi stopu kontracikličnog zaštitnog sloja kapitala za Republiku Srbiju veću od 0% ili kada poveća važeću stopu kontracikličnog zaštitnog sloja kapitala, odrediće datum početka primene te stope, s tim što kao ovaj datum ne može odrediti dan nakon isteka godinu dana od dana objavljivanja ove stope.
Narodna banka Srbije može odrediti kao datum početka primene stope kontracikličnog zaštitnog sloja kapitala dan pre isteka godinu dana od objavljivanja te stope, ako proceni da je to opravdano zbog postojanja izuzetnih okolnosti.
Smanjenje stope kontracikličnog zaštitnog sloja kapitala za Republiku Srbiju
439. Ako Narodna banka Srbije smanji važeću stopu kontracikličnog zaštitnog sloja kapitala ili je odredi u visini od 0%, odrediće i neobavezujući indikativni period u kojem ne očekuje povećanje ove stope.
Objavljivanje stope kontracikličnog zaštitnog sloja kapitala za Republiku Srbiju
440. Narodna banka Srbije objavljuje na svojoj internet prezentaciji stopu kontracikličnog zaštitnog sloja kapitala za Republiku Srbiju, kao i najmanje sledeće podatke:
1) međusobni odnos kredita i bruto domaćeg proizvoda i odstupanje od njegovog dugoročnog trenda;
2) referentni pokazatelj iz tačke 436. ove odluke;
3) obrazloženje za utvrđivanje stope kontracikličnog zaštitnog sloja kapitala;
4) u slučaju povećanja stope, datum od kojeg su banke dužne da počnu da primenjuju povećanu stopu za izračunavanje specifičnog zaštitnog sloja kapitala;
5) ako je rok iz odredbe pod 4) ove tačke kraći od godinu dana od dana objavljivanja, obrazloženje izuzetnih okolnosti koje opravdavaju kraći rok za primenu;
6) u slučaju smanjenja stope, indikativni period u kojem se ne očekuje povećanje stope, zajedno s objašnjenjem razloga za određivanje tog perioda.
Priznavanje stope kontracikličnog zaštitnog sloja kapitala veće od 2,5%
441. Ako nadležno regulatorno telo druge države odredi stopu kontracikličnog zaštitnog sloja kapitala veću od 2,5% rizične aktive, Narodna banka Srbije može priznati tu stopu za svrhu obračuna specifične stope kontracikličnog zaštitnog sloja kapitala.
Ako Narodna banka Srbije prizna stopu iz stava 1. ove tačke, objaviće tu stopu na svojoj internet prezentaciji, kao i najmanje sledeće podatke:
1) naziv države na koju se primenjuje ova stopa;
2) u slučaju povećanja stope, datum od kojeg su banke dužne da počnu da primenjuju tu povećanu stopu za svrhu obračuna specifičnog kontracikličnog zaštitnog sloja kapitala;
3) ako je rok iz odredbe pod 2) ovog stava kraći od godinu dana od dana objavljivanja, obrazloženje izuzetnih okolnosti koje opravdavaju ovaj kraći rok za primenu.
Utvrđivanje stope kontracikličnog zaštitnog sloja kapitala za druge države
442. Za potrebe obračuna kontracikličnog zaštitnog sloja kapitala za izloženosti prema drugim državama, Narodna banka Srbije može utvrditi stopu kontracikličnog zaštitnog sloja kapitala za drugu državu ako nadležno regulatorno telo te države nije odredilo i objavilo stopu kontracikličnog zaštitnog sloja kapitala za ovu državu.
Narodna banka Srbije može utvrditi drugačiju stopu kontracikličnog zaštitnog sloja kapitala za drugu državu od stope koju je odredilo nadležno regulatorno telo te države, ako bi to bilo opravdano radi odgovarajućeg pokrića rizika koji proizilaze iz prekomernog kreditnog rasta u toj državi.
U slučaju iz stava 2. ove tačke, Narodna banka Srbije ne može odrediti stopu kontracikličnog zaštitnog sloja kapitala manju od one koju je odredilo nadležno regulatorno telo te države, osim ako je ta stopa veća od 2,5% rizične aktive banke.
Ako Narodna banka Srbije odredi stopu kontracikličnog zaštitnog sloja kapitala za drugu državu u skladu sa st. 1. do 3. ove tačke koja je veća od stope kontracikličnog zaštitnog sloja kapitala koju je odredilo nadležno regulatorno telo te države, odrediće i datum početka primene ove stope, u skladu s tačkom 438. te odluke.
Narodna banka Srbije će stopu kontracikličnog zaštitnog sloja kapitala za drugu državu određenu u skladu sa st. 1. do 3. ove tačke objaviti na svojoj internet prezentaciji, kao i najmanje sledeće podatke:
1) obrazloženje visine ove stope;
2) ako je stopa kontracikličnog zaštitnog sloja kapitala prvi put određena u visini iznad 0% ili ako je ova stopa povećana, datum od kojeg su banke dužne da počnu da primenjuju tu povećanu stopu;
3) ako je ovaj rok kraći od godinu dana od dana objavljivanja, obrazloženje izuzetnih okolnosti koje opravdavaju taj kraći rok početka primene.
Obračun specifične stope kontracikličnog zaštitnog sloja kapitala
443. Banka je dužna da specifičnu stopu kontracikličnog zaštitnog sloja kapitala izračunava kao ponderisani prosek stopa kontracikličnog zaštitnog sloja kapitala za Republiku Srbiju i druge države u kojima banka ima relevantne kreditne izloženosti ili koje se primenjuju u skladu s tačkom 442. ove odluke.
Banka ponderisani prosek iz stava 1. ove tačke izračunava kao zbir ponderisanih primenljivih stopa kontracikličnog zaštitnog sloja kapitala za određene države, gde ponderi predstavljaju odnos ukupnih kapitalnih zahteva za kreditni rizik za relevantne kreditne izloženosti u određenoj državi i ukupnih kapitalnih zahteva za kreditni rizik koji se odnose na sve relevantne kreditne izloženosti banke.
Relevantne kreditne izloženosti iz stava 1. ove tačke obuhvataju sve klase izloženosti, osim onih iz tačke 38. stav 1. odredbe 1) do 6) ove odluke, na koje se primenjuju:
1) kapitalni zahtevi za kreditni rizik, u sladu sa glavom IV ove odluke;
2) ako se izloženost drži u knjizi trgovanja, kapitalni zahtevi za specifični rizik iz glave VII odeljak 2. ove odluke ili dodatni rizik nastupanja statusa neizmirenja obaveza i migracije iz glave VII odeljak 6. te odluke;
3) ako je izloženost sekjuritizacija, kapitalni zahtevi iz glave IV odeljak 4. te odluke.
Banka utvrđuje geografski položaj relevantnih kreditnih izloženosti u skladu sa Metodologijom za utvrđivanje geografskog položaja relevantnih izloženosti za obračun kontracikličnog zaštitnog sloja kapitala iz Priloga 3 ove odluke.
Za potrebe stava 1. ove tačke, banka je dužna da obezbedi odgovarajuću evidenciju primenjivih stopa kontracikličnog zaštitnog sloja kapitala za države u kojima ima relevantne kreditne izloženosti i da uspostavi procedure za blagovremeno ažuriranje ove evidencije.
Primena stope kontracikličnog zaštitnog sloja kapitala veće od 2,5%
444. Ako Narodna banka Srbije u skladu s tačkom 437. stav 2. ove odluke odredi stopu kontracikličnog zaštitnog sloja kapitala veću od 2,5% rizične aktive banke, banka je dužna da pri izračunavanju specifične stope kontracikličnog zaštitnog sloja kapitala iz tačke 443. te odluke primeni tu stopu za relevantne kreditne izloženosti koje ima u Republici Srbiji.
Ako nadležno regulatorno telo druge države odredi stopu kontracikličnog zaštitnog sloja kapitala veću od 2,5% rizične aktive banke, banka je dužna da pri izračunavanju specifične stope kontracikličnog zaštitnog sloja kapitala iz tačke 443. ove odluke za relevantne kreditne izloženosti u toj državi, primeni sledeće:
- stopu u visini od 2,5% rizične aktive banke, ako Narodna banka Srbije nije u skladu s tačkom 441. te odluke priznala stopu veću od 2,5%,
- stopu koju je odredilo nadležno regulatorno telo druge države, ako je tu stopu priznala Narodna banka Srbije u skladu s tačkom 441. te odluke.
Početak primene stope kontracikličnog zaštitnog sloja kapitala pri izračunavanju specifične stope kontracikličnog zaštitnog sloja kapitala
445. U slučaju povećanja stope kontracikličnog zaštitnog sloja kapitala za Republiku Srbiju, ta stopa počinje da se primenjuje pri izračunavanju specifične stope kontracikličnog zaštitnog sloja kapitala iz tačke 443. ove odluke od datuma navedenog prilikom objavljivanja stope i podatka iz tačke 440. odredba pod 4) te odluke, odnosno iz tačke 441. stav 2. odredbe pod 2) te odluke.
U slučaju povećanja stope kontracikličnog zaštitnog sloja kapitala za područje druge države, ta stopa se primenjuje pri izračunavanju specifične stope kontracikličnog zaštitnog sloja kapitala iz tačke 443. ove odluke po isteku godinu dana nakon što je nadležno regulatorno telo druge države objavilo promenu stope, bez obzira na to da li to telo zahteva od banaka koje imaju sedište u toj državi primenu promenjene stope u kraćem roku.
U smislu stava 2. ove tačke, danom objavljivanja promene stope kontracikličnog zaštitnog sloja kapitala za drugu državu smatra se datum kada je nadležno regulatorno telo druge države promenu stope objavilo u skladu s propisima te države.
Izuzetno od stava 2. ove tačke, u slučaju povećanja stope kontracikličnog zaštitnog sloja kapitala, ako Narodna banka Srbije odredi stopu kontracikličnog zaštitnog sloja kapitala za drugu državu u skladu s tačkom 442. st. 1. do 3. ove odluke ili ako prizna stopu kontracikličnog zaštitnog sloja kapitala za drugu državu u skladu s tačkom 441. te odluke, ta stopa počinje da se primenjuje pri izračunavanju specifične stope kontracikličnog zaštitnog sloja kapitala iz tačke 443. te odluke počev od datuma navedenog pri objavljivanju stopa i podataka iz tačke 441. stav 2. odredbe pod 2) ili tačke 442. stav 5. odredba pod 2) te odluke.
U slučaju smanjenja stope kontracikličnog zaštitnog sloja kapitala, ta stopa počinje da se primenjuje pri izračunavanju specifične stope kontracikličnog zaštitnog sloja kapitala iz tačke 443. ove odluke od dana objavljivanja odluke o smanjenju te stope.
3. Zaštitni sloj kapitala za strukturni sistemski rizik
446. Narodna banka Srbije utvrđuje stopu i način održavanja zaštitnog sloja kapitala za strukturni sistemski rizik, za sve banke ili za jednu ili više banaka, s ciljem sprečavanja i ublažavanja dugoročnih, necikličnih sistemskih rizika.
Održavanje zaštitnog sloja kapitala za strukturni sistemski rizik
447. Banka je dužna da na pojedinačnoj, konsolidovanoj ili podkonsolidovanoj osnovi održava zaštitni sloj kapitala za strukturni sistemski rizik u visini i na način koji odredi Narodna banka Srbije.
Zaštitni sloj iz stava 1. ove tačke može se sastojati samo iz elemenata osnovnog akcijskog kapitala i ne može se koristiti za održavanje pokazatelja adekvatnosti kapitala banke iz tačke 3. stav 3. ove odluke, odnosno povećanog pokazatelja adekvatnosti kapitala banke iz tačke 5. te odluke, kao ni za održavanje zaštitnih slojeva iz tač. 434. i 435. te odluke.
Na banku koja ne postupi u smislu stava 1. ove tačke primeniće se mere za očuvanje kapitala iz tačke 455. st. 2. do 4. i plan za očuvanje kapitala iz tačke 458. ove odluke, odnosno druge mere koje Narodna banka Srbije može naložiti banci u skladu sa Zakonom o bankama, ako primena tih odredaba ne dovede do zadovoljavajućeg poboljšanja osnovnog akcijskog kapitala banke za potrebe relevantnog strukturnog sistemskog rizika.
Način određivanja stope zaštitnog sloja kapitala za strukturni sistemski rizik
448. Narodna banka Srbije određuje stopu iz tačke 446. ove odluke u visini od najmanje 1% na osnovu izloženosti u Republici Srbiji ili drugoj državi na koje se zaštitni sloj kapitala za strukturni sistemski rizik primenjuje i prilagođava je u iznosu od 0,5 procentnih poena ili sadržaocu 0,5 procentnih poena.
Stopa iz stava 1. ove tačke može biti različita za različite banke.
Narodna banka Srbije će preispitati obavezu održavanja zaštitnog sloja kapitala za strukturni sistemski rizik najmanje svake dve godine.
Ako Narodna banka Srbije odredi ili promeni stopu zaštitnog sloja kapitala za strukturni sistemski rizik za izloženosti u drugim državama, dužna je da najkasnije mesec dana pre nego što objavi tu stopu u skladu s tačkom 449. ove odluke, obavesti nadležno regulatorno telo druge države.
Objavljivanje zaštitnog sloja kapitala za strukturni sistemski rizik
449. Odluku o primeni zaštitnog sloja kapitala za strukturni sistemski rizik Narodna banka Srbije objavljuje na svojoj internet prezentaciji, kao i najmanje sledeće podatke:
1) stopu zaštitnog sloja kapitala za strukturni sistemski rizik;
2) banke koje su dužne da održavaju zaštitni sloj kapitala za strukturni sistemski rizik;
3) obrazloženje za određivanje zaštitnog sloja kapitala za strukturni sistemski rizik osim u slučaju kada bi to obrazloženje moglo da naruši stabilnost finansijskog sistema;
4) datum od kojeg su banke dužne da primene zaštitni sloj kapitala za strukturni sistemski rizik;
5) nazive država kada se izloženosti u tim državama priznaju u zaštitnom sloju kapitala za strukturni sistemski rizik.
4. Zaštitni sloj kapitala za globalno sistemski značajne banke
450. Globalno sistemski značajna banka dužna je da na konsolidovanoj osnovi održava zaštitni sloj kapitala za globalno sistemski značajnu banku koji odgovara kategoriji iz tačke 451. stav 3. ove odluke u koju je ta banka svrstana.
Zaštitni sloj kapitala iz stava 1. ove tačke može se sastojati samo iz elemenata osnovnog akcijskog kapitala i ne može se koristiti za održavanje pokazatelja adekvatnosti kapitala banke iz tačke 3. stav 3. ove odluke, odnosno povećanog pokazatelja adekvatnosti kapitala banke iz tačke 5. te odluke, kao ni za održavanje zaštitnih slojeva iz tač. 434. i 435. te odluke.
Metodologija za utvrđivanje globalno sistemski značajnih banaka
451. Narodna banka Srbije na konsolidovanoj osnovi utvrđuje globalno sistemski značajne banke kojima je izdala dozvolu za rad i kategorije tih banaka prema njihovoj sistemskoj značajnosti, u skladu sa Metodologijom za utvrđivanje globalno sistemski značajnih banaka koja se zasniva na oceni sledećih pokazatelja:
1) veličina banke;
2) povezanost banke s finansijskim sistemom;
3) zamenljivost usluga ili finansijske infrastrukture koju obezbeđuje banka;
4) složenost poslovanja banke;
5) prekogranična aktivnost banke, uključujući prekograničnu aktivnost između Republike Srbije i država članica EU, i između Republike Srbije i trećih zemalja.
Pod sistemskom značajnošću iz stava 1. ove tačke se podrazumeva očekivani uticaj poremećaja u poslovanju globalno sistemski značajne banke na globalno finansijsko tržište.
Globalno sistemski značajne banke su dužne da održavaju zaštitni sloj kapitala za globalno sistemski značajne banke u visini sledećih procenata iznosa rizične aktive:
1) za prvu kategoriju 1%,
2) za drugu kategoriju 1,5%,
3) za treću kategoriju 2%,
4) za četvrtu kategoriju 2,5% i
5) za petu kategoriju 3,5%.
Nezavisno od rezultata ocene pokazatelja iz ove tačke, Narodna banka Srbije može na osnovu supervizorske procene:
1) svrstati globalno sistemski značajnu banku iz niže u višu kategoriju;
2) banku čija je ukupna ocena niža od granične ocene za najnižu kategoriju svrstati u tu ili u višu kategoriju i na taj način je odrediti kao globalno sistemski značajnu banku.
Narodna banka Srbije će jednom godišnje preispitati utvrđivanje globalno sistemski značajnih banaka i kategorija u koje su svrstane. O rezultatu tog preispitivanja, Narodna banka Srbije obaveštava globalno sistemski značajne banke, objavljivanjem ažurne liste utvrđenih globalno sistemski značajnih banaka i kategorija u koje su svrstane na svojoj internet prezentaciji.
5. Zaštitni sloj kapitala za sistemski značajne banke
452. Narodna banka Srbije utvrđuje sistemski značajne banke kojima je izdala dozvolu za rad.
Narodna banka Srbije određuje stopu zaštitnog sloja kapitala za sistemski značajnu banku u visini od 0% do 2% rizične aktive banke uzimajući u obzir kriterijume, indikatore i pondere koji se utvrđuju u metodologiji za utvrđivanje sistemski značajnih banaka banaka koju izrađuje Narodna banka Srbije.
Zaštitni sloj iz stava 2. ove tačke se održava na konsolidovanoj, potkonsolidovanoj ili pojedinačnoj osnovi, u zavisnosti od toga šta je primenljivo, može se sastojati samo iz elemenata osnovnog akcijskog kapitala i ne može se koristiti za održavanje pokazatelja adekvatnosti kapitala banke iz tačke 3. stav 3. ove odluke, odnosno povećanog pokazatelja adekvatnosti kapitala banke iz tačke 5. te odluke, kao ni za održavanje zaštitnih slojeva iz tač. 434. i 435. te odluke.
Narodna banka Srbije utvrđuje listu banaka u Republici Srbiji koje su utvrđene kao sistemski značajne banke i stope zaštitnog sloja kapitala za te banke.
Metodologija za utvrđivanje sistemski značajnih banaka
453. Sistemska značajnost za potrebe utvrđivanja sistemski značajnih banaka ocenjuje se na osnovu najmanje jednog od sledećih kriterijuma:
1) veličina banke;
2) značaj za ekonomiju Republike Srbije;
3) značaj prekograničnih aktivnosti banke;
4) povezanost banke s finansijskim sistemom;
5) zamenljivost banke u finansijskom sistemu;
6) složenost poslovanja banke.
Narodna banka Srbije najmanje jednom godišnje preispituje zaštitni sloj kapitala za sistemski značajne banke i metodologiju za utvrđivanje sistemski značajnih banaka.
6. Međusobni odnos zaštitnih slojeva kapitala i kombinovani zaštitni sloj kapitala
454. Globalno sistemski značajna banka ili sistemski značajna banka dužna je na konsolidovanoj osnovi da primeni sledeće zaštitne slojeve ukoliko su na nju primenljivi:
1) zaštitni sloj za globalno sistemski značajnu banku ili zaštitni sloj za sistemski značajnu banku, u zavisnosti od toga koji je veći ili
2) najveći između zaštitnog sloja za globalno sistemski značajnu banku, sistemski značajnu banku i zaštitnog sloja za strukturni sistemski rizik.
Izuzetno od stava 1. ove tačke, Narodna banka Srbije može utvrditi da je, globalno sistemski značajna banka ili sistemski značajna banka dužna da na konsolidovanoj osnovi primeni zbir sledećih zaštitnih slojeva:
1) veći od zaštitnog sloj kapitala za globalno sistemski značajnu banku i sistemski značajnu banku i
2) zaštitni sloj kapitala za strukturni sistemski rizik.
Ako se na sistemski značajnu banku na pojedinačnoj ili potkonsolidovanoj osnovi primenjuje zaštitni sloj kapitala za sistemski značajnu banku i zaštitni sloj kapitala za strukturni sistemski rizik, sistemski značajna banka dužna je da primeni zaštitni sloj kapitala koji je veći.
Izuzetno od stava 3. ove tačke, Narodna banka Srbije može utvrditi da je sistemski značajna banka dužna da na pojedinačnoj ili na potkonsolidovanoj osnovi primeni zbir oba zaštitna sloja kapitala iz stava 3. te tačke.
Banka koja je utvrđena kao sistemski značajna banka, dužna je da na pojedinačnoj osnovi primeni kombinovani zaštitni sloj koji je najmanje jednak zbiru sledećih zaštitnih slojeva:
1) zaštitnog sloja za očuvanje kapitala;
2) kontracikličnog zaštitnog sloja kapitala;
3) zaštitnog sloja za sistemski značajnu banku i zaštitnog sloja za strukturni sistemski rizik, u zavisnosti od toga koji je veći.
Izuzetno od stava 5. ove tačke, Narodna banka Srbije može utvrditi da je banka iz tog stava dužna da na pojedinačnoj osnovi primeni kombinovani zaštitni sloj kapitala koji je najmanje jednak zbiru sledećih zaštitnih slojeva:
1) zaštitnog sloja za očuvanje kapitala;
2) kontracikličkog zaštitnog sloja kapitala;
3) zaštitnog sloja za sistemski značajnu banku;
4) zaštitnog sloja za strukturni sistemski rizik.
Banka ne može isti osnovni akcijski kapital da koristi za održavanje zaštitnog sloja kapitala za globalno sistemski značajnu banku, zaštitnog sloja za sistemski značajnu banku i zaštitnog sloja kapitala za strukturni sistemski rizik.
Ograničenje raspodele
455. Banka koja ispunjava zahtev za kombinovani zaštitni sloj kapitala ne može da izvrši raspodelu osnovnog akcijskog kapitala u iznosu koji bi doveo do smanjenja osnovnog akcijskog kapitala do nivoa da banka više ne ispunjava zahtev za kombinovani zaštitni sloj kapitala.
Banka koja ne ispunjava zahtev za kombinovani zaštitni sloj kapitala dužna je da izračuna najveći raspodeljivi iznos i da o izračunatom najvećem raspodeljivom iznosu odmah obavesti Narodnu banku Srbije.
Banka iz stava 2. ove tačke, pre nego što izračuna najveći raspodeljivi iznos, ne može da:
1) izvrši raspodele u vezi s osnovnim akcijskim kapitalom;
2) utvrdi obavezu isplate varijabilnih primanja (nagrade, bonusi i sl.) ili diskrecionih penzijskih pogodnosti (uplate premija za dobrovoljno dodatno penzijsko osiguranje, uplate u dobrovoljne penzijske fondove i sl.) ili da isplati varijabilna primanja ako je obaveza plaćanja nastala u vreme kada banka nije ispunjavala kombinovani zaštitni sloj kapitala;
3) izvrši plaćanja po instrumentima dodatnog osnovnog kapitala.
Banka koja ne ispunjava zahtev za kombinovani zaštitni sloj kapitala najmanje u iznosu propisanom ovom odlukom, ne može radnjama iz stava 3. ove tačke da raspodeli iznos koji je viši od najvećeg raspodeljivog iznosa izračunatog u skladu sa stavom 5. te tačke.
Najveći raspodeljivi iznos se izračunava množenjem zbira dobiti izračunatog u skladu sa stavom 6. ove tačke sa faktorom određenim u skladu sa stavom 7. te tačke, na osnovu podataka o kapitalu i kapitalnim zahtevima na dan za koji je banka utvrdila da ne ispunjava zahtev za kombinovani zaštitni sloj kapitala. Najveći raspodeljivi iznos se umanjuje za svaku aktivnost iz stava 3. te tačke.
Zbir dobiti izračunava se kao zbir iznosa iz odredaba pod 1) i 2) ovog stava, umanjen za iznos iz odredbe pod 3) tog stava:
1) dobit tekuće godine, ostvarena tokom poslovne godine koja nije uključena u osnovni akcijski kapital u skladu s tačkom 10. stav 2. ove odluke, a koja je ostvarena nakon donošenja poslednje odluke skupštine banke o raspodeli dobiti ili nakon preuzimanja neke od radnji iz stava 3. ove tačke;
2) dobit ostvarena na kraju poslovne godine koja nije uključena u osnovni akcijski kapital u skladu s tačkom 10. stav 2. ove odluke, a koja je ostvarena nakon donošenja poslednje odluke skupštine banke o raspodeli dobiti ili nakon preuzimanja neke od radnji iz stava 3. ove tačke;
3) iznos koji bi banka bila u obavezi da plati po osnovu poreza na dobit iz odredaba pod 1) i 2) ovog stava.
Faktor se određuje u zavisnosti od kvartila kojem pripada osnovni akcijski kapital koji banka ne koristi za ispunjenje kapitalnih zahteva iz tačke 3. stav 3. odredba pod 3) ove odluke i za ispunjenje mera koje Narodna banka Srbije može da naloži u skladu sa Zakonom o bankama, pri čemu je taj osnovni akcijski kapital iskazan kao procentualni udeo iznosa rizične aktive u skladu sa sledećom tabelom:
Kvartil distribucije |
Rasponi kvartila distribucije |
Faktor |
Prvi kvartil |
0 < x < ¼ zahteva za kombinovani zaštitni sloj kapitala (ZKSK) |
0,0 |
Drugi kvartil |
¼ ZKSK < x < 1/2 ZKSK |
0,2 |
Treći kvartil |
½ ZKSK < x < 3/4 ZKSK |
0,4 |
Četvrti kvartil |
¾ ZKSK < x < ZKSK |
0,6 |
Raspodele u vezi s osnovnim akcijskim kapitalom u smislu st. 1, 2. i 3. ove tačke uključuju sledeće:
1) isplatu dividendi u gotovom;
2) raspodelu potpuno ili delimično plaćenih bonusa u obliku akcija ili drugih instrumenata kapitala;
3) otkup ili kupovinu sopstvenih akcija ili drugih instrumenata kapitala banke;
4) otplatu iznosa uplaćenih u vezi s instrumentima kapitala;
5) raspodelu emisione premije na akcije koje čine elemente osnovnog akcijskog kapitala, neraspoređene dobiti, akumuliranog ostalog rezultata i ostalih rezervi.
Plaćanja koja podležu ograničenjima raspodela
456. Ograničenja raspodela propisana tačkom 455. ove odluke primenjuju se samo na plaćanja koja dovode do smanjenja osnovnog akcijskog kapitala ili smanjenja dobiti i kada se privremena obustava plaćanja ili neizvršenje plaćanja ne smatra nastupanjem statusa neizmirenja obaveza.
Raspodele u slučaju neispunjavanja zahteva za kombinovani zaštitni sloj kapitala
457. Banka koja ne ispunjava zahtev za kombinovani zaštitni sloj kapitala, a namerava da raspodeli deo dobiti raspoložive za raspodelu ili da izvrši mere iz tačke 455. stav 3. ove odluke, dužna je da o tome prethodno obavesti Narodnu banku Srbije i dostavi sledeće informacije:
1) iznos kapitala banke iskazan po sledećim vrstama:
- osnovni akcijski kapital,
- dodatni osnovni kapital,
- dopunski kapital;
2) iznos dobiti tekuće godine ili dobiti s kraja poslovne godine;
3) najveći raspodeljivi iznos izračunat u skladu s tačkom 455. stav 5. ove odluke;
4) iznos dobiti raspoložive za raspodelu koju namerava da raspodeli, kao sledeće:
- isplata dividendi,
- otkup akcija,
- plaćanja po instrumentima dodatnog osnovnog kapitala,
- isplate varijabilnih primanja ili diskrecionih penzijskih pogodnosti, bilo stvaranjem nove obaveze plaćanja ili plaćanjem na osnovu obaveze plaćanja koja je nastala u vreme kada banka nije ispunjavala zahtev za kombinovani zaštitni sloj kapitala.
Banka je dužna da uspostavi i održava odgovarajuće procese i procedure kojima se osigurava tačan obračun iznosa dobiti raspoložive za raspodelu i najveći raspodeljivi iznos i tu je tačnost dužna na zahtev Narodne banke Srbije da dokaže.
458. Banka koja ne ispunjava zahtev za kombinovani zaštitni sloj kapitala dužna je da izradi plan za očuvanje kapitala i da ga dostavi Narodnoj banci Srbije najkasnije u roku od pet radnih dana nakon što je ustanovila da ne ispunjava taj zahtev.
Izuzetno od stava 1. ove tačke, Narodna banka Srbije može na zahtev banke da odobri da se plan za očuvanje kapitala dostavi u roku od 10 dana nakon što je ustanovila da ne ispunjava taj zahtev, uzimajući u obzir obim i složenost poslova koje ta banka obavlja.
Plan za očuvanje kapitala mora da sadrži sledeće:
1) procene prihoda i rashoda i projekciju bilansa;
2) mere za povećanje pokazatelja adekvatnosti kapitala banke;
3) plan i vremenski okvir za povećanje kapitala banke kako bi banka u celosti ispunila uslove za primenu kombinovanog zaštitnog sloja kapitala.
Narodna banka Srbije može od banke da zahteva i druge podatke koje smatra potrebnim za sprovođenje procene iz stava 5. ove tačke.
Narodna banka Srbije odobrava plan za očuvanje kapitala ako oceni da je vrlo verovatno da će se sprovođenjem plana očuvati kapital ili prikupiti dovoljno dodatnog kapitala koji bi banci omogućio primenu kombinovanog zaštitnog sloja kapitala u roku koji Narodna banka Srbije smatra odgovarajućim.
Ako Narodna banka Srbije ne odobri plan za očuvanje kapitala u skladu sa stavom 5. ove tačke, preduzeće jednu ili obe sledeće mere:
1) naložiće banci da u određenom roku poveća kapital do određenog nivoa;
2) naložiće banci strožija ograničenja raspodele od ograničenja iz tač. 455. do 457. ove odluke.
PRELAZNE I ZAVRŠNE ODREDBE
459. Banka je dužna da za uplaćeni akcijski kapital, hibridne instrumente kapitala i subordinirane obaveze koji su do dana početka primene ove odluke ispunjavali uslove da budu uključeni u obračun osnovnog, odnosno dopunskog kapitala, sprovede proveru ispunjenosti uslova iz tač. 8, 23. i 28. ove odluke do početka primene te odluke.
Uplaćeni akcijski kapital koji ne ispunjava uslove iz tač. 8. i 23. ove odluke, a koji je do dana početka primene ove odluke ispunjavao uslove da bude uključen u obračun osnovnog kapitala, banka može da uključi u osnovni akcijski kapital u skladu s tačkom 7. stav 1. odredbe pod 1) i 2), ili dodatni osnovni kapital u skladu s tačkom 22. stav 1. odredbe pod 1) i 2) - do 31. decembra 2018. godine.
Od 1. januara 2019. godine uplaćeni akcijski kapital iz stava 2. ove tačke banka može da uključi u ovaj kapital na sledeći način:
- do 31. decembra 2019. godine najviše do 80% iznosa uplaćenog akcijskog kapitala;
- do 31. decembra 2020. godine najviše do 60% iznosa uplaćenog akcijskog kapitala;
- do 31. decembra 2021. godine najviše do 40% iznosa uplaćenog akcijskog kapitala;
- do 31. decembra 2022. godine najviše do 20% iznosa uplaćenog akcijskog kapitala;
- od 1. januara 2023. godine 0% iznosa uplaćenog akcijskog kapitala.
Uplaćene preferencijalne kumulativne akcije, hibridni instrumenti kapitala i subordinirane obaveze koji ne ispunjavaju uslove iz tačke 28. ove odluke, a koji su do dana početka primene ove odluke ispunjavali uslove da budu uključeni u obračun dopunskog kapitala, banka može da uključi u elemente dopunskog kapitala iz tačke 27. stav 1. odredbe pod 1) i 2) do 31. decembra 2018. godine.
Od 1. januara 2019. godine uplaćene preferencijalne kumulativne akcije, hibridne instrumente i subordinirane obaveze iz stava 4. ove tačke, banka može da uključi u elemente dopunskog kapitala iz tačke 27. stav 1. odredbe pod 1) i 2) ove odluke na sledeći način:
- do 31. decembra 2019. godine najviše do 80% njihovog iznosa;
- do 31. decembra 2020. godine najviše do 60% njihovog iznosa;
- do 31. decembra 2021. godine najviše do 40% njihovog iznosa;
- do 31. decembra 2022. godine najviše do 20% njihovog iznosa;
- od 1. januara 2023. godine 0% njihovog iznosa.
460. Banka je dužna da potrebnu rezervu za procenjene gubitke po bilansnoj aktivi i vanbilansnim stavkama banke, koja se izračunava u skladu sa odlukom kojom se uređuje klasifikacija bilansne aktive i vanbilansnih stavki banke, uključuje u obračun adekvatnosti kapitala u skladu s tačkom 13. stav 1. odredba pod 13) ove odluke - do 31. decembra 2018. godine.
Odbitnu stavku iz tačke 13. stav 1. odredba pod 5) banka može utvrđivati, gde je to primenljivo, za potrebe konsolidovanog izveštavanja, kao i u skladu s propisima kojim se regulišu dobrovoljni penzijski fondovi i penzijski planovi.
461. Banka može do dana pristupanja Evropskoj uniji dodeljivati ponder rizika izloženostima prema Republici Srbiji i Narodnoj banci Srbije, kao i izloženostima prema državama članicama Evropske unije i njihovim centralnim bankama koje su izražene i izmiruju se u valuti bilo koje države članice, na isti način na koji dodeljuje ponder rizika izloženostima prema ovim licima koje su izražene i izmiruju se u njihovim nacionalnim valutama.
462. Do donošenja posebnog zakona kojim će se urediti sekjuritizacija, banke ne mogu da obavljaju poslove inicijatora, sponzora ili inicijalnog zajmodavca u sekjuritizaciji.
463. Banka je dužna da testira primenu odredaba ove odluke kako bi bila spremna da svoje poslovanje u potpunosti uskladi s tim odredbama. O rezultatima testiranja iz stava 1. ove tačke banka će obavestiti Narodnu banku Srbije dostavljanjem izveštaja propisanih odlukom kojom se uređuje izveštavanje o adekvatnosti kapitala banke, prema stanju na dan 31. decembra 2016. godine, i to najkasnije do 20. aprila 2017. godine.
464. Do dana pristupanja Republike Srbije Evropskoj uniji banka ne može da obračuna manji kapitalni zahtev za devizni rizik u slučajevima pozicija u visoko korelisanim valutama u skladu s tačkom 367. ove odluke.
465. Do dana pristupanja Republike Srbije Evropskoj uniji banka ne može iz obračuna kapitalnih zahteva za specifični cenovni rizik izuzeti pozicije u berzanskim indeksima kojima se trguje na berzanskom tržištu i koji predstavljaju široko diversifikovane indekse u skladu s tačkom 354. stav 5. ove odluke.
466. Do dana pristupanja Republike Srbije Evropskoj uniji međusobni odnos zaštitnih slojeva kapitala i kombinovani zaštitni sloj kapitala iz tačke 454. primenjivaće se bez zaštitnog sloja kapitala za globalno sistemski značajnu banku.
467. Prilozi iz ove odluke odštampani su uz ovu odluku i njen su sastavni deo.
468. Danom početka primene ove odluke prestaje da važi Odluka o adekvatnosti kapitala banke ("Službeni glasnik RS", br. 46/11, 6/13, 51/14 i 85/16).
469. Ova odluka stupa na snagu osmog dana od dana objavljivanja u "Službenom glasniku Republike Srbije", a primenjuje se od 30. juna 2017. godine, osim tač. 450. i 451. koje se primenjuju danom pristupanja Republike Srbije Evropskoj uniji.
Samostalna odredba Odluke o izmenama i dopuni
Odluke o adekvatnosti kapitala banke
("Sl. glasnik RS", br. 103/2018)
10. Ova odluka objavljuje se u "Službenom glasniku Republike Srbije" i stupa na snagu 1. januara 2019. godine.
Samostalna odredba Odluke o izmeni i dopunama
Odluke o adekvatnosti kapitala banke
("Sl. glasnik RS", br. 88/2019)
6. Ova odluka stupa na snagu osmog dana od dana objavljivanja u "Službenom glasniku Republike Srbije", a primenjuje se od 1. jula 2020. godine, osim tačke 4. te odluke, koja se primenjuje od 1. januara 2020. godine.
Samostalna odredba Odluke o izmenama
Odluke o adekvatnosti kapitala banke
("Sl. glasnik RS", br. 67/2020)
2. Ova odluka stupa na snagu osmog dana od dana objavljivanja u "Službenom glasniku Republike Srbije".
Samostalna odredba Odluke o izmeni
Odluke o adekvatnosti kapitala banke
("Sl. glasnik RS", br. 110/2023)
2. Ova odluka stupa na snagu osmog dana od dana objavljivanja u "Službenom glasniku Republike Srbije", a primenjuje se od 1. januara 2024. godine.
Samostalna odredba Odluke o izmeni
Odluke o adekvatnosti kapitala banke
("Sl. glasnik RS", br. 102/2024)
2. Ova odluka stupa na snagu osmog dana od dana objavljivanja u "Službenom glasniku Republike Srbije".
Samostalna odredba Odluke o izmenama i dopunama
Odluke o adekvatnosti kapitala banke
("Sl. glasnik RS", br. 41/2025)
11. Ova odluka stupa na snagu osmog dana od dana objavljivanja u "Službenom glasniku Republike Srbije", a primenjuje se 1. oktobra 2025. godine, osim tač. 7, 8. i 10. ove odluke, koje se primenjuju od 30. juna 2025. godine.
Samostalna odredba Odluke o dopuni
Odluke o adekvatnosti kapitala banke
("Sl. glasnik RS", br. 70/2025)
2. Ova odluka stupa na snagu osmog dana od dana objavljivanja u "Službenom glasniku Republike Srbije".
FINANSIJSKI DERIVATI
1. Ugovori o kamatnim stopama:
- jednovalutni kamatni svopovi (single-currency interest rate swaps);
- bazični svopovi (basis swaps);
- kamatni forvard ugovori (forward rate agreements);
- kamatni fjučers ugovori (interest rate futures);
- kupljene opcije na kamatne stope;
- ostali slični ugovori.
2. Ugovori o stranim valutama i zlatu:
- međuvalutni kamatni svopovi (cross-currency interest rate swaps);
- valutni forvard ugovori (forward foreign-exchange contracts);
- valutni fjučers ugovori (currency futures);
- kupljene valutne opcije;
- ostali slični ugovori;
- ugovori koji se odnose na zlato slični ugovorima iz alineja od prve do pete ovog dela.
3. Ugovori čije su karakteristike slične ugovorima iz delova 1. i 2. ovog priloga a odnose se na druge predmete ugovora, uključujući i indekse:
- opcije, fjučers ugovori, svop ugovori, forvard ugovori i svi drugi ugovori koji se odnose na hartije od vrednosti, strane valute, kamatne stope, prinose ili druge finansijske derivate, berzanske indekse ili druge slične instrumente a koji mogu biti izmireni fizičkom isporukom ili u gotovini;
- opcije, fjučers ugovori, svop ugovori, forvard ugovori i svi drugi ugovori koji se odnose na robu a treba da budu izmireni u gotovini ili mogu biti izmireni u gotovini na zahtev jedne od ugovornih strana;
- opcije, fjučers ugovori, svop ugovori i svi drugi ugovori koji se odnose na robu a mogu biti izmireni fizičkom isporukom, pod uslovom da se njima trguje na priznatoj berzi ili preko multilateralnog sistema trgovanja (multilateral trading facilities);
- opcije, fjučers ugovori, svop ugovori, forvard ugovori i svi drugi ugovori koji se odnose na robu i koji mogu biti izmireni fizičkom isporukom a nisu obuhvaćeni alinejom trećom ovog dela, kojima se ne trguje u komercijalne svrhe, koji imaju karakteristike drugih finansijskih derivata i čije se poravnanje može vršiti preko priznate klirinške kuće ili su predmet dnevnog odmeravanja margina;
- finansijski ugovori za razlike (financial contract for differences);
- opcije, fjučers ugovori, svop ugovori, forvard ugovori i svi drugi ugovori koji se odnose na vremenske uslove, troškove prevoza tereta (freight rates), stope inflacije ili druge ekonomske pokazatelje a koji moraju biti izmireni u gotovini ili mogu biti izmireni u gotovini na zahtev jedne od ugovornih strana;
- svi drugi finansijski derivati koji se odnose na imovinu, prava, obaveze, indekse i slične instrumente koji nisu obuhvaćeni alinejama od prve do šeste ovog dela, kojima se trguje na priznatoj berzi ili preko multilateralnog sistema trgovanja (multilateral trading facilities) i čije se poravnanje vrši preko priznate klirinške kuće ili su predmet dnevnog odmeravanja margina.
RIZIČNE KATEGORIJE ZA SPECIJALIZOVANO KREDITIRANJE
Tabela 1 Rizične kategorije za izloženosti po osnovu projektnog finansiranja
Rizična kategorija 1 |
Rizična kategorija 2 |
Rizična kategorija 3 |
Rizična kategorija 4 |
|
Kriterijum/ocena |
Veoma dobar |
Dobar |
Zadovoljavajući |
Slab |
Finansijsko stanje |
||||
Tržišni uslovi |
Nekoliko konkurentnih dobavljača ili značajna i trajna prednost što se tiče lokacije, troškova ili tehnologije; tražnja je visoka i rastuća |
Nekoliko konkurentnih dobavljača ili natprosečna prednost što se tiče lokacije, troškova ili tehnologije, ali se ne može sa sigurnošću utvrditi da je trajnog karaktera; tražnja je visoka i stabilna |
Projekat nema prednost što se tiče lokacije, troškova ili tehnologije; tražnja je zadovoljavajuća i stabilna |
Projekat je ispod proseka što se tiče lokacije, troškova ili tehnologije; tražnja je slaba i opadajuća |
Finansijski pokazatelji Pokriće duga poslovnim dobitkom (debt service coverage ratio - DSCR), pokriće duga neto sadašnjom vrednošću novčanih tokova po osnovu projekta u periodu do dospeća kredita (loan life coverage ratio - LLCR), pokriće duga neto sadašnjom vrednošću novčanih tokova po osnovu projekta tokom veka trajanja projekta (project life coverage ratio - PLCR) i odnos duga i kapitala |
Veoma dobri finansijski pokazatelji imajući u vidu rizičnost projekta; najrigoroznije ekonomske pretpostavke |
Veoma dobri finansijski pokazatelji imajući u vidu rizičnost projekta; rigorozne ekonomske pretpostavke |
Prosečni finansijski pokazatelji imajući u vidu rizičnost projekta |
Slabi finansijski pokazatelji imajući u vidu rizičnost projekta |
Stres testovi |
Projekat omogućava ispunjavanje finansijskih obaveza u trajnijim i ekstremnim stresnim ekonomskim ili sektorskim uslovima |
Projekat omogućava ispunjavanje finansijskih obaveza u prosečno stresnim ekonomskim ili sektorskim uslovima; nastupanje statusa neizmirenja obaveza po osnovu projekta očekuje se samo u izuzetno nepovoljnim ekonomskim uslovima |
Projekat je osetljiv na stresne uslove koji nisu neuobičajeni za privredni ciklus i može da dospe u status neizmirenja obaveza u uslovima normalne ekonomske recesije |
Projekat će verovatno dospeti u status neizmirenja obaveza ako se uskoro ne poboljšaju uslovi |
Finansijska struktura |
||||
Ročnost kredita u odnosu na trajanje projekta |
Trajanje projekta je znatno duže od ročnosti kredita |
Trajanje projekta je duže od ročnosti kredita |
Trajanje projekta je duže od ročnosti kredita |
Trajanje projekta nije duže od ročnosti kredita |
Plan otplate |
Anuitetna otplata kredita |
Anuitetna otplata kredita |
Pretežno anuitetna otplata kredita, ali sa otplatom u znatnom iznosu na kraju perioda dospeća kredita |
Otplata kredita u celini ili najvećim delom na kraju perioda dospeća kredita |
Političko okruženje i pravna sigurnost |
||||
Rizik zemlje, uključujući i rizik transfera, imajući u vidu vrstu projekta i tehnike ublažavanja rizika |
Veoma nizak nivo rizika, uz primenu veoma kvalitetnih tehnika ublažavanja rizika ako su neophodne |
Nizak nivo rizika, uz primenu kvalitetnih tehnika ublažavanja rizika ako su neophodne |
Umeren nivo rizika, uz primenu uobičajenih tehnika ublažavanja rizika |
Visok nivo rizika, bez primene tehnika ublažavanja rizika ili uz primenu ovih tehnika koje nisu dovoljne |
Rizik više sile |
Nizak nivo rizika |
Prihvatljiv nivo rizika |
Uobičajena zaštita od rizika |
Značajan rizik, koji nije u potpunosti ublažen |
Podrška države i dugoročni značaj projekta za zemlju |
Projekat je strateški značajan za zemlju (po mogućstvu izvozno orijentisan) i postoji snažna podrška države |
Projekat se smatra značajnim za zemlju i postoji značajna podrška države |
Projekat nije strateški značajan, ali zemlji donosi nesumnjivu korist; podrška države nije eksplicitna |
Projekat nije ključno značajan za zemlju; podrška države je slaba ili ne postoji |
Stabilnost zakonodavnog i regulatornog okruženja (rizik promene propisa) |
Povoljno i stabilno zakonodavno i regulatorno okruženje posmatrano na dugi rok |
Povoljno i stabilno zakonodavno i regulatorno okruženje posmatrano na srednji rok |
Promene zakona i drugih propisa se mogu predvideti s prihvatljivim nivoom pouzdanosti |
Postojeće ili buduće promene zakona i drugih propisa mogu uticati na projekat |
Davanje neophodnih podsticaja i saglasnosti za primenu izuzeća od određenih nacionalnih propisa |
Veoma dobro |
Dobro |
Zadovoljavajuće |
Nezadovoljavajuće |
Realizacija ugovora, sredstava obezbeđenja i garancija |
Sigurna realizacija ugovora, sredstava obezbeđenja i garancija |
Sigurna realizacija ugovora, sredstava obezbeđenja i garancija |
Očekuje se realizacija ugovora, sredstava obezbeđenja i garancija iako postoje određeni problemi koji nisu od velikog značaja |
Postoje nerešena ključna pitanja u vezi sa realizacijom ugovora, sredstava obezbeđenja i garancija |
Karakteristike projekta |
||||
Rizik tehnologije i dizajna |
U potpunosti provereni tehnologija i dizajn |
U potpunosti provereni tehnologija i dizajn |
Tehnologija i dizajn provereni, potencijalni problemi iz inicijalne faze ublažavaju se dobrim planom realizacije celokupnog projekta |
Tehnologija i dizajn neprovereni, postoje nerešena pitanja što se tiče tehnologije i/ili je dizajn složen |
Rizik izgradnje |
||||
Dozvole i lokacija |
Dobijene su sve dozvole |
Još se čekaju neke dozvole, ali se njihovo dobijanje smatra izvesnim |
Neke dozvole se još čekaju, ali je proces njihovog dobijanja jasno definisan i smatra se rutinskim |
Ključne dozvole još nisu dobijene, a proces njihovog dobijanja ne smatra se rutinskim; mogu se pojaviti značajni dodatni zahtevi |
Vrsta ugovora o građenju |
Izgradnja "ključ u ruke", sa unapred utvrđenom cenom i rokom određenim u ugovoru o građenju |
Izgradnja "ključ u ruke", sa unapred utvrđenom cenom i rokom određenim u ugovoru o građenju |
Izgradnja "ključ u ruke", sa unapred utvrđenom cenom i rokom određenim u ugovoru o građenju, jedan ili nekoliko preduzimača |
Nije ugovorena ili je samo delimično ugovorena izgradnja "ključ u ruke" sa unapred utvrđenom cenom u ugovoru o građenju i/ili veliki broj preduzimača |
Garancije za dobro izvršenje posla |
Plaćanje značajnih iznosa štete obezbeđeno je finansijskim sredstvima obezbeđenja i/ili postoji jaka garancija lica sa izuzetno dobrim finansijskim stanjem |
Plaćanje značajnih iznosa štete obezbeđeno je finansijskim sredstvima obezbeđenja i/ili postoji jaka garancija lica s dobrim finansijskim stanjem |
Plaćanje odgovarajućih iznosa štete obezbeđeno je finansijskim sredstvima obezbeđenja i/ili postoji jaka garancija lica s dobrim finansijskim stanjem |
Neadekvatno plaćanje šteta zbog nepostojanja finansijskih sredstava obezbeđenja ili postoji slaba garancija |
Finansijsko stanje i dosadašnje iskustvo preduzimača u sličnim projektima |
Veoma dobro |
Dobro |
Zadovoljavajuće |
Nezadovoljavajuće |
Rizik poslovanja |
||||
Karakteristike ugovora o izvođenju radova i održavanju |
Čvrst dugoročni ugovor, ako je moguće sa odredbama o stimulacijama u vezi sa izvršenjem posla i/ili namenski izdvojena sredstva za realizaciju ugovora |
Dugoročni ugovor i/ili namenski izdvojena sredstva za realizaciju ugovora |
Ugovor sa ograničenjima i/ili namenski izdvojen deo sredstva za realizaciju ugovora |
Ne postoji ugovor; rizik visokih troškova poslovanja nije u potpunosti ublažen |
Stručnost izvođača radova, njegovo dosadašnje iskustvo i finansijsko stanje |
Veoma dobra, ili je obezbeđena tehnička pomoć od investitora |
Dobra |
Prihvatljiva |
Nezadovoljavajuća, ili je reč o lokalnom izvođaču radova čije poslovanje zavisi od lokalnih vlasti |
Rizik kupoprodaje |
||||
Postoji ugovorna odredba o obavezi plaćanja u slučaju odustajanja od kupovine ili unapred utvrđena ugovorena cena |
Veoma dobra kreditna sposobnost kupca; zaštitne odredbe o raskidu ugovora; period za koji je ugovor zaključen je znatno duži od perioda u kome dug dospeva za naplatu |
Dobra kreditna sposobnost kupca; zaštitne odredbe o raskidu ugovora; period za koji je ugovor zaključen je duži od perioda u kome dug dospeva za naplatu |
Prihvatljivo finansijsko stanje kupca; standardne odredbe o raskidu ugovora; period za koji je ugovor zaključen usklađen je s periodom u kome dug dospeva za naplatu |
Loše finansijsko stanje kupca; neadekvatne odredbe o raskidu ugovora; period za koji je ugovor zaključen kraći je od perioda u kome dug dospeva za naplatu |
Ne postoji ugovorna odredba o obavezi plaćanja u slučaju odustajanja od kupovine ili unapred utvrđena cena |
Projektom se stvaraju dobra ili pružaju usluge značajni za svetsko tržište, koji se mogu brzo naplatiti po projektovanim cenama, čak i u uslovima nižih stopa rasta tržišta od istorijskih |
Projektom se stvaraju dobra ili pružaju usluge značajni za regionalno tržište, koji će biti naplaćeni po projektovanim cenama pri istorijskoj stopi rasta tržišta |
Dobra projekta prodaju se na ograničenom tržišnom segmentu po cenama nižim od projektovanih |
Tražnja za dobrima i uslugama projekta ograničena je na jednog ili manji broj kupaca, ili za njih ne postoji organizovano tržište |
Rizik snabdevanja |
||||
Rizik cene, obima i transporta sirovina, prethodno poslovanje dobavljača i njegovo finansijsko stanje |
Dugoročni ugovor o isporuci s dobavljačem veoma dobrog finansijskog stanja |
Dugoročni ugovor o isporuci s dobavljačem dobrog finansijskog stanja |
Dugoročni ugovor o isporuci s dobavljačem dobrog finansijskog stanja - postoji određeni stepen cenovnog rizika |
Kratkoročni ugovor o isporuci ili dugoročni ugovor o isporuci s dobavljačem lošeg finansijskog stanja - postoji određeni stepen cenovnog rizika |
Rizik rezervi |
Postoje rezerve koje je proverilo i potvrdilo nezavisno lice, koje su formirane na nivou koji je znatno iznad procenjenih zahteva tokom trajanja projekta |
Postoje rezerve koje je proverilo i potvrdilo nezavisno lice, koje su formirane na nivou koji je iznad procenjenih zahteva tokom trajanja projekta |
Utvrđene rezerve mogu adekvatno obezbediti projekat do dospeća duga |
Projekat se u izvesnoj meri oslanja na potencijalne i nerazvijene rezerve |
Snaga investitora (glavni finansijer projekta) |
||||
Dosadašnje poslovanje investitora, njegovo finansijsko stanje i iskustvo u zemlji/sektoru |
Veoma dobar investitor s veoma dobrim dosadašnjim poslovanjem i finansijskim stanjem |
Dobar investitor s dobrim dosadašnjim poslovanjem i finansijskim stanjem |
Odgovarajući investitor sa zadovoljavajućim dosadašnjim poslovanjem i dobrim finansijskim stanjem |
Slab investitor bez prethodnog iskustva ili s problematičnim dosadašnjim poslovanjem i/ili finansijskim teškoćama |
Podrška investitora dokumentovana vlasničkim ulaganjima, ugovorenim odredbama o vlasništvu i podsticajima za ulaganje dodatnih neophodnih sredstava |
Veoma snažna podrška; projekat je strateški izuzetno značajan za investitora (osnovna delatnost - deo dugoročne strategije) |
Dobra podrška; projekat je strateški značajan za investitora (osnovna delatnost - deo dugoročne strategije) |
Zadovoljavajuća podrška; projekat je značajan za investitora (osnovna delatnost) |
Ograničena podrška; projekat nije od velikog značaja za dugoročnu strategiju ili osnovnu delatnost investitora |
Kvalitet zaštite |
||||
Prenos potraživanja ili povlačenje sredstava s računa |
Sveobuhvatno |
U najvećoj meri |
Prihvatljivo |
Nepotpuno |
Zaloga sredstava, uzimajući u obzir pravo prvenstva, njihov kvalitet, vrednost i likvidnost |
Prvi isplatni red u odnosu na celokupnu imovinu neophodnu za sprovođenje projekta |
Drugi isplatni red u odnosu na celokupnu imovinu neophodnu za sprovođenje projekta |
Prihvatljivo pravo prvenstva naplate u odnosu na celokupnu imovinu neophodnu za sprovođenje projekta |
Nedovoljno obezbeđenje za zajmodavce; ne postoji, ili nije odgovarajuća, ugovorna odredba koja štiti zajmodavca od dodatnog zaduživanja dužnika sa zalogom na istoj imovini |
Kontrola zajmodavca nad novčanim tokovima (npr. korišćenje viška gotovine za prevremenu otplatu duga ili kao dodatno obezbeđenje za zajmodavce; nezavisni namenski računi - essrow računi) |
Veoma dobra |
Dobra |
Uobičajena |
Slaba |
Zaštitni karakter ugovornih odredaba (prevremena otplata duga pod određenim uslovima; odloženo plaćanje; otplata sa opadajućim anuitetima i sl.) |
Veoma dobre ugovorne odredbe za tu vrstu projekta; |
Dobre ugovorne odredbe za tu vrstu projekta; |
Uobičajene ugovorne odredbe za tu vrstu projekta; |
Neadekvatne ugovorne odredbe za tu vrstu projekta; |
Rezerve (servisiranje duga, izvođenje radova i održavanje, obnavljanje i zamena, nepredviđeni događaji itd.) |
Period pokrića rezervama duži je od prosečnog perioda pokrića; rezerve su u celini formirane iz gotovine ili akreditiva banke s veoma dobrim rejtingom |
Prosečan period pokrića rezervama; rezerve su u celini formirane |
Prosečan period pokrića rezervama; rezerve su u celini formirane |
Period pokrića rezervama kraći je od prosečnog perioda pokrića; rezerve se formiraju iz tokova gotovine iz poslovnih aktivnosti |
Tabela 2 - Rizične kategorije za izloženosti po osnovu finansiranja nepokretnosti na osnovu kojih se ostvaruje prihod
Rizična kategorija 1 |
Rizična kategorija 2 |
Rizična kategorija 3 |
Rizična kategorija 4 |
|
Kriterijum/ocena |
Veoma dobar |
Dobar |
Zadovoljavajući |
Slab |
Finansijsko stanje |
||||
Tržišni uslovi |
Ponuda i tražnja za vrstama nepokretnosti koje su predmet finansiranja i njihovom lokacijom trenutno su u ravnoteži; broj konkurentnih nepokretnosti koje se pojavljuju na tržištu jednak je predviđenoj tražnji ili je niži od nje |
Ponuda i tražnja za vrstama nepokretnosti koje su predmet finansiranja i njihovom lokacijom trenutno su u ravnoteži; broj konkurentnih nepokretnosti koje se pojavljuju na tržištu jednak je predviđenoj tražnji |
Tržišni uslovi su blizu ravnotežnog stanja; konkurentne nepokretnosti pojavljuju se na tržištu, a postoje i one u fazi planiranja; dizajn i karakteristike nepokretnosti koja je predmet finansiranja nisu dovoljno usklađeni sa savremenim tendencijama |
Tržišni uslovi su loši i neizvesno je kada će se poboljšati i vratiti u stanje ravnoteže; zakupci ne obnavljaju ugovore nakon isteka ugovorenog roka zakupa; novi uslovi zakupa su nepovoljniji u odnosu na uslove postojećih zakupa koji ističu |
Finansijski pokazatelji |
Pokriće duga poslovnim dobitkom (DSCR) smatra se veoma dobrim (ili nije relevantno u fazi izgradnje), a LTV pokazatelj (loan to value) smatra se niskim za datu vrstu nepokretnosti; ako postoji sekundarno tržište, transakcija je zaključena u skladu s tržišnim standardima |
DSCR pokazatelj je zadovoljavajući ili nije relevantan u fazi izgradnje, a LTV pokazatelj je dobar; ako postoji sekundarno tržište, transakcija je zaključena u skladu s tržišnim standardima |
DSCR pokazatelj se pogoršao i njegovo smanjenje je uticalo na povećanje LTV pokazatelja |
DSCR pokazatelj se znatno pogoršao i njegov LTV pokazatelj je znatno ispod standarda za odobravanje novih kredita |
Stres testovi |
Struktura izvora sredstava i obaveza (uključujući i potencijalne obaveze) po osnovu nepokretnosti omogućavaju izmirivanje finansijskih obaveza u ekstremnim ekonomskim uslovima |
Struktura izvora sredstava i obaveza (uključujući i potencijalne obaveze) po osnovu nepokretnosti omogućavaju izmirivanje finansijskih obaveza u dužem periodu finansijskog stresa; nastupanje statusa neizmirenja obaveza očekuje se samo u izuzetno nepovoljnim ekonomskim uslovima |
Tokom perioda ekonomske recesije doći će do pada prihoda od nepokretnosti, što će ograničiti mogućnost finansiranja kapitalnih ulaganja i znatno povećati rizik nastupanja statusa neizmirenja obaveza |
Finansijsko stanje je problematično i verovatno će nastupiti status neizmirenja obaveza ako se uskoro ne poboljšaju uslovi |
Projekcije novčanih tokova |
||||
Za završenu nepokretnost i stabilne uslove |
Ugovori o zakupu nepokretnosti su zaključeni na duži rok s kreditno sposobnim zakupcima i rokovi zakupa se razlikuju; podaci iz prethodnog perioda pokazuju da zakupci obnavljaju zakup nakon isteka ugovorenog roka; stopa neiskorišćenosti je niska; troškovi u vezi sa održavanjem, osiguranjem, bezbednošću i porezima su predvidivi |
Najveći broj ugovora o zakupu nepokretnosti je zaključen na duži rok, sa zakupcima različite kreditne sposobnosti; uobičajen broj zakupaca ne obnavlja zakup nakon isteka ugovorenog roka; stopa neiskorišćenosti je niska; troškovi u vezi sa održavanjem, osiguranjem, bezbednosti i porezima su predvidivi |
Najveći broj ugovora o zakupu nepokretnosti je zaključen na srednji rok, sa zakupcima različite kreditne sposobnosti; prihvatljiv broj zakupaca ne obnavlja zakup nakon isteka ugovorenog roka; stopa neiskorišćenosti je prihvatljiva; troškovi su relativno predvidivi, ali se menjaju zavisno od prihoda |
Ugovori o zakupu nepokretnostima su zaključeni na različite rokove sa zakupcima različite kreditne sposobnosti; zakupci se često menjaju nakon isteka ugovorenih rokova; troškovi pripreme prostora za nove zakupce su visoki |
Za završenu nepokretnost i uslove koji nisu stabilni |
Aktivnosti izdavanja nepokretnosti su u skladu s projekcijama ili ih prevazilaze; očekuje se stabilizacija u bliskoj budućnosti |
Aktivnosti izdavanja nepokretnosti su u skladu s projekcijama ili ih prevazilaze; očekuje se stabilizacija u bliskoj budućnosti |
Aktivnosti izdavanja nepokretnosti su u najvećoj meri u skladu s projekcijama, ali se ne očekuje stabilizacija u bliskoj budućnosti |
Visina tržišnih zakupnina nije u skladu sa očekivanjima; uprkos dostizanja ciljne stope iskorišćenosti, priliv gotovine nije dovoljan zbog nezadovoljavajućih, niskih prihoda |
Za nepokretnost u fazi izgradnje |
Nepokretnost je u potpunosti unapred izdata u zakup, u periodu do dospeća kredita, ili je unapred prodata kupcu sa investicionim rangom, ili se zajmodavac sa investicionim rangom obavezao banci da preuzme finansiranje |
Nepokretnost je u potpunosti unapred izdata u zakup ili prodata kupcu s dobrom kreditnom sposobnošću, ili se zajmodavac s dobrom kreditnom sposobnošću obavezao banci da preuzme finansiranje |
Aktivnost izdavanja nepokretnosti je u okviru projekcija, ali nepokretnost ne može biti izdata u zakup unapred; osim banke, ne postoji drugi zajmodavac s dobrom kreditnom sposobnošću koji se obavezao da obezbedi finansiranje |
Vrednost nepokretnosti se smanjuje usled prekoračenja projektovanih troškova, pogoršanja tržišnih uslova, raskida ugovora sa zakupcima ili drugih faktora; mogući problemi sa zajmodavcem ili drugim licem koje obezbeđuje stalno finansiranje |
Karakteristike nepokretnosti |
||||
Lokacija |
Lokacija nepokretnosti je atraktivno mesto koje odgovara potrebama zakupca, odnosno kupca |
Lokacija nepokretnosti je atraktivno mesto koje odgovara potrebama zakupca, odnosno kupca |
Lokacija nepokretnosti nije dovoljno konkurentna |
Postoje ozbiljne teškoće u vezi s lokacijom nepokretnosti |
Dizajn i karakteristike |
Nepokretnost je poželjna zahvaljujući svom dizajnu, kvalitetu i načinu održavanja i izuzetno je konkurentna u odnosu na nove nepokretnosti |
Nepokretnost je odgovarajuća zahvaljujući svom dizajnu, kvalitetu i načinu održavanja i konkurentna je u odnosu na nove nepokretnosti |
Dizajn, kvalitet i način održavanja nepokretnosti su zadovoljavajući |
Postoje slabosti u dizajnu, kvalitetu i načinu održavanja nepokretnosti |
Za nepokretnost u fazi izgradnje |
Budžet za izgradnju je pažljivo utvrđen i potpuno adekvatan, a mogućnost nastanka havarija je ograničena; izvođači su visoko kvalifikovani |
Budžet za izgradnju je pažljivo utvrđen i potpuno adekvatan, a mogućnost nastanka havarija je ograničena; izvođači su visoko kvalifikovani |
Budžet za izgradnju je adekvatan i izvođači imaju prosečne kvalifikacije |
Sredstva utvrđena budžetom za izgradnju su nedovoljna ili je budžet nerealan zbog mogućnosti nastanka havarija; izvođači mogu biti nedovoljno kvalifikovani |
Snaga investitora (glavnog finansijera nepokretnosti/nosioca projekta) |
||||
Finansijsko stanje i spremnost pružanja podrške |
Investitor je dao izuzetno veliki udeo u novcu pri izgradnji ili kupovini nepokretnosti; investitor ima znatna sredstva i ograničen iznos obaveza (uključujući i potencijalne obaveze); nepokretnosti koje su predmet finansiranja investitora su diversifikovane po geografskim oblastima ili prema vrsti |
Investitor je dao znatan udeo u novcu pri izgradnji ili kupovini nepokretnosti; finansijsko stanje investitora omogućava mu pružanje podrške finansiranju nepokretnosti u slučaju nedovoljnog priliva gotovine; nepokretnosti koje su predmet finansiranja investitora nalaze se u više geografskih oblasti |
Udeo investitora nije znatan ili je u nenovčanom obliku; investitor raspolaže prosečnim finansijskim sredstvima ili finansijskim sredstvima ispod proseka |
Investitor ne raspolaže s dovoljno sredstava ili nije spreman da pruži podršku finansiranju nepokretnosti |
Reputacija i dosadašnje iskustvo sa sličnim nepokretnostima |
Iskusno rukovodstvo i visok kvalitet investitora; veoma dobra reputacija i uspešno i dugotrajno prethodno poslovanje sa sličnim nepokretnostima |
Odgovarajuće iskustvo i kvalitet rukovodstva i investitora; uspešno prethodno poslovanje sa sličnim nepokretnostima |
Zadovoljavajuće iskustvo i kvalitet rukovodstva i investitora; dosadašnje iskustvo nije razlog za ozbiljnu zabrinutost |
Neefikasno rukovodstvo i nezadovoljavajući kvalitet investitora; problemi u rukovođenju i poslovanju investitora u prošlosti dovodili su do teškoća u upravljanju nepokretnostima |
Odnosi sa značajnim učesnicima na tržištu nepokretnosti |
Veoma dobri odnosi s vodećim učesnicima, kao što su posrednici kod izdavanja u zakup i prodaje nepokretnosti |
Dobri odnosi s vodećim učesnicima, kao što su posrednici kod izdavanja u zakup i prodaje nepokretnosti |
Zadovoljavajući odnosi sa posrednicima kod izdavanja u zakup i prodaje nepokretnosti i drugim licima koja pružaju značajne usluge u vezi s nepokretnostima |
Nezadovoljavajući odnosi sa posrednicima kod izdavanja u zakup i prodaje nepokretnosti i/ili drugim licima koja pružaju značajne usluge u vezi s nepokretnostima |
Kvalitet zaštite |
||||
Prvenstvo naplate iz založene imovine |
Zaloga prvog reda |
Zaloga prvog reda |
Zaloga prvog reda |
Pravo zajmodavca da se namiri iz vrednosti založene imovine je ograničeno |
Prenos prava na naplatu zakupnine (za projekte date u zakup na dugi rok) |
Pravo naplate zakupnina preneto je na zajmodavca; postoji ažurirana evidencija o zakupcima (npr. spisak zakupaca sa iznosom zakupnine i datumom isteka zakupa, kao i kopije ugovora o zakupu nepokretnosti) koja olakšava obaveštavanje zakupaca o plaćanju zakupnina neposredno zajmodavcu |
Pravo naplate zakupnina preneto je na zajmodavca; postoji ažurirana evidencija o zakupcima (npr. spisak zakupaca sa iznosom zakupnine i datumom isteka zakupa, kao i kopije ugovora o zakupu nepokretnosti) koja olakšava obaveštavanje zakupaca o plaćanju zakupnina neposredno zajmodavcu |
Pravo naplate zakupnina preneto je na zajmodavca; postoji ažurirana evidencija o zakupcima (npr. spisak zakupaca sa iznosom zakupnine i datumom isteka zakupa, kao i kopije ugovora o zakupu nepokretnosti) koja olakšava obaveštavanje zakupaca o plaćanju zakupnina neposredno zajmodavcu |
Pravo naplate zakupnina nije preneto na zajmodavca ili ne postoje informacije neophodne za obaveštavanje zakupaca |
Kvalitet pokrića osiguranjem |
Odgovarajući |
Odgovarajući |
Odgovarajući |
Ispod standarda |
Tabela 3 - Rizične kategorije za izloženosti po osnovu objektnog finansiranja
Rizična kategorija 1 |
Rizična kategorija 2 |
Rizična kategorija 3 |
Rizična kategorija 4 |
|
Kriterijum/ocena |
Veoma dobar |
Dobar |
Zadovoljavajući |
Slab |
Finansijska snaga |
||||
Tržišni uslovi |
Tražnja je visoka i rastuća; snažne barijere ulaska na tržište; niska osetljivost na promene u tehnologiji i ekonomskim uslovima |
Tražnja je visoka i stabilna; postoje izvesne barijere za ulazak na tržište i određena osetljivost na promene u tehnologiji i ekonomskim uslovima |
Tražnja je odgovarajuća i stabilna; postoji manji broj barijera za ulazak na tržište i prilična osetljivost na promene u tehnologiji i ekonomskim uslovima |
Tražnja je niska i opadajuća, izuzetno osetljiva na promene u tehnologiji i ekonomskim uslovima, a okruženje je veoma neizvesno |
Finansijski pokazatelji (DSCR i LTV pokazatelji) |
Veoma dobri finansijski pokazatelji za vrstu imovine koja služi kao sredstvo obezbeđenja; veoma rigorozne ekonomske pretpostavke |
Veoma dobri ili dobri finansijski pokazatelji za vrstu imovine koja služi kao sredstvo obezbeđenja, rigorozne ekonomske pretpostavke |
Prosečni finansijski pokazatelji za vrstu imovine koja služi kao sredstvo obezbeđenja |
Slabi finansijski pokazatelji za vrstu imovine koja služi kao sredstvo obezbeđenja |
Stres testovi |
Stabilni dugoročni prihodi; mogućnost opstanka u ekstremnim stresnim ekonomskim uslovima |
Zadovoljavajući kratkoročni prihodi; verovatnoća nastupanja statusa neizmirenja obaveza postoji samo u izuzetno nepovoljnim ekonomskim uslovima |
Neizvesni kratkoročni prihodi; novčani tokovi su osetljivi na stresne uslove koji nisu neuobičajeni za privredni ciklus; status neizmirenja obaveza može da nastupi i u uslovima normalne ekonomske recesije |
Prihodi su neizvesni, čak i u uobičajenim ekonomskim uslovima; verovatno će nastupiti status neizmirenja obaveza ako se uslovi uskoro ne poboljšaju |
Likvidnost tržišta |
Svetsko tržište; imovina je visoko likvidna |
Svetsko ili regionalno tržište; imovina je relativno likvidna |
Regionalno tržište sa ograničenim mogućnostima trgovanja u kratkom roku, što vodi nižoj likvidnosti |
Lokalno tržište; niska likvidnost ili nelikvidnost, naročito u tržišnim segmentima |
Političko okruženje i pravna sigurnost |
||||
Rizik zemlje, uključujući i rizik transfera |
Veoma nizak nivo rizika, uz primenu visokokvalitetnih tehnika ublažavanja rizika ako su neophodne |
Nizak nivo rizika, uz primenu kvalitetnih tehnika ublažavanja rizika ako su neophodne |
Umeren nivo rizika, uz primenu uobičajenih tehnika |
Visok nivo rizika, bez primene tehnika ublažavanja rizika ili uz primenu ovih tehnika koje nisu dovoljne |
Pravni i regulatorni rizici |
Pravni sistem omogućava efikasnu realizaciju ugovora i sredstava obezbeđenja |
Pravni sistem omogućava efikasnu realizaciju ugovora i sredstava obezbeđenja |
Pravni sistem omogućava realizaciju ugovora i sredstava obezbeđenja, iako sam postupak duže traje ili je veoma komplikovan |
Nezadovoljavajući ili nestabilan pravni sistem koji znatno usporava realizaciju ugovora i sredstava obezbeđenja ili ih ne omogućava |
Karakteristike transakcije |
||||
Finansijski uslovi u odnosu na ekonomski vek imovine |
Anuitetni plan otplate/ minimalni iznos jednokratnog plaćanja na kraju perioda dospeća, bez perioda počeka |
Značajniji iznos jednokratnog plaćanja na kraju perioda dospeća, ali na prihvatljivom nivou |
Visok iznos jednokratnog plaćanja na kraju perioda dospeća, s mogućim periodom počeka |
Otplata na kraju perioda dospeća ili veoma visok iznos jednokratnog plaćanja |
Rizik poslovanja |
||||
Dozvole/saglasnosti |
Sve dozvole su dobijene; imovina zadovoljava sve relevantne propise o bezbednosti |
Sve dozvole su dobijene ili su u procesu dobijanja; imovina zadovoljava sve relevantne propise o bezbednosti |
Većina dozvola je dobijena ili je u procesu dobijanja, što se smatra rutinskim; imovina trenutno zadovoljava propise o bezbednosti |
Postoje problemi u dobijanju svih neophodnih dozvola; potrebno je preispitati deo planirane strukture i/ili planiranog poslovanja |
Karakteristike ugovora o izvođenju radova i održavanju |
Čvrst dugoročan ugovor, ako je moguće sa odredbama u vezi sa izvršenjem posla i/ili namenski izdvojena sredstva za realizaciju ugovora (ako su potrebna) |
Dugoročni IR&O ugovor i/ili namenski izdvojena sredstva za realizaciju ugovora (ako su potrebna) |
Ugovor sa ograničenjima i/ili namenski izdvojen deo sredstava za realizaciju ugovora (ako su potrebna) |
Ne postoji ugovor; rizik visokih troškova poslovanja nije u potpunosti ublažen |
Finansijsko stanje izvođača radova, prethodno iskustvo u upravljanju vrstom imovine koja služi kao sredstvo obezbeđenja, mogućnost ponovnog plasmana nakon isteka ugovorenog korišćenja |
Veoma dobro prethodno iskustvo i velika mogućnost ponovnog plasmana na tržištu |
Dobro prethodno iskustvo i mogućnost ponovnog plasmana na tržištu |
Loše ili nedovoljno prethodno iskustvo i neizvesnost što se tiče mogućnosti ponovnog plasmana na tržištu |
Bez prethodnog iskustva ili je ono nepoznato; nemogućnost ponovnog plasmana na tržištu |
Karakteristike imovine koja služi kao sredstvo obezbeđenja |
||||
Tehničke karakteristike, veličina, dizajn i održavanje u poređenju s drugom imovinom na istom tržištu |
Značajna prednost što se tiče dizajna i održavanja; tehničke karakteristike su standardne, usled čega postoji likvidno tržište za tu imovinu |
Dizajn i održavanje su iznad proseka; tehničke karakteristike su standardne, sa ograničenim izuzecima, ali takvim da postoji likvidno tržište za tu imovinu |
Prosečan dizajn i održavanje; tehničke karakteristike su u izvesnoj meri specifične i mogu biti uzrok užeg tržišta za tu imovinu |
Dizajn i održavanje su ispod proseka; imovina je pri kraju svog veka trajanja; tehničke karakteristike su vrlo specifične, pa je tržište za tu imovinu veoma usko |
Tržišna vrednost |
Tekuća tržišna vrednost je znatno iznad iznosa duga |
Tržišna vrednost je umereno veća od iznosa duga |
Tržišna vrednost je neznatno veća od iznosa duga |
Tržišna vrednost je niža od iznosa duga |
Osetljivost vrednosti i likvidnosti imovine na privredne cikluse |
Vrednost i likvidnost imovine su relativno neosetljive na privredne cikluse |
Vrednost i likvidnost imovine su osetljive na privredne cikluse |
Vrednost i likvidnost imovine su prilično osetljive na privredne cikluse |
Vrednost i likvidnost imovine su izuzetno osetljive na privredne cikluse |
Snaga investitora (glavnog finansijera) |
||||
Prethodno iskustvo u upravljanju vrstom imovine koja služi kao sredstvo obezbeđenja i mogućnost ponovnog plasmana nakon isteka ugovorenog perioda korišćenja |
Veoma dobro prethodno iskustvo i velika mogućnost ponovnog plasmana na tržištu |
Dobro prethodno iskustvo i mogućnost ponovnog plasmana na tržištu |
Loše ili nedovoljno prethodno iskustvo i neizvesnost što se tiče mogućnosti ponovnog plasmana na tržištu |
Bez prethodnog iskustva ili je ono nepoznato; nemogućnost ponovnog plasmana na tržištu |
Dosadašnje poslovanje investitora i njegovo finansijsko stanje |
Investitor s veoma dobrim dosadašnjim poslovanjem i finansijskim stanjem |
Investitor s dobrim dosadašnjim poslovanjem i finansijskim stanjem |
Investitor sa odgovarajućim dosadašnjim poslovanjem i dobrim finansijskim stanjem |
Investitor bez prethodnog iskustva ili s problematičnim dosadašnjim poslovanjem i/ili finansijskim teškoćama |
Kvalitet zaštite |
||||
Kontrola nad imovinom |
Ugovorene odredbe omogućavaju zajmodavcu efektivnu kontrolu nad imovinom (npr. ugovoreno najviše pravo prvenstva naplate) ili nad pravnim licem u čijem je ona vlasništvu |
Ugovorene odredbe omogućavaju zajmodavcu efektivnu kontrolu nad imovinom (npr. ugovoreno pravo prvenstva naplate) ili nad pravnim licem u čijem je ona vlasništvu |
Ugovorene odredbe omogućavaju zajmodavcu efektivnu kontrolu nad imovinom (npr. ugovoreno pravo prvenstva naplate) ili nad pravnim licem u čijem je ona vlasništvu |
Ugovor ne obezbeđuje dovoljnu zaštitu zajmodavca i postoji rizik gubitka kontrole nad imovinom |
Prava i sredstva koji su na raspolaganju zajmodavcu za praćenje lokacije i stanja imovine |
Zajmodavac je u mogućnosti da prati lokaciju i stanje imovine u bilo koje vreme i na bilo kom mestu (redovni izveštaji, mogućnost vršenja neposredne provere) |
Zajmodavac je u mogućnosti da prati lokaciju i stanje imovine skoro u svakom trenutku i na svakom mestu |
Zajmodavac je u mogućnosti da prati lokaciju i stanje imovine skoro u svakom trenutku i na svakom mestu |
Zajmodavac ima ograničenu mogućnost da prati lokaciju i stanje imovine |
Osiguranje od štete |
Veoma dobro pokriće osiguranjem, koje uključuje osiguranje od odgovornosti za štetu pričinjenu trećim licima, kod društava za osiguranje visokog rejtinga |
Dobro pokriće osiguranjem (koje ne uključuje osiguranje od odgovornosti za štetu pričinjenu trećim licima) kod društava za osiguranje dobrog rejtinga |
Uobičajeno pokriće osiguranjem (koje ne uključuje osiguranje od odgovornosti za štetu pričinjenu trećim licima) kod društava za osiguranje prihvatljivog rejtinga |
Slabo pokriće osiguranjem (koje ne uključuje osiguranje od odgovornosti za štetu pričinjenu trećim licima) kod društava za osiguranje lošeg rejtinga |
Tabela 4 - Rizične kategorije za izloženosti po osnovu finansiranja robe
Rizična kategorija 1 |
Rizična kategorija 2 |
Rizična kategorija 3 |
Rizična kategorija 4 |
|
Kriterijum/ocena |
Veoma dobar |
Dobar |
Zadovoljavajući |
Slab |
Finansijsko stanje |
||||
Stepen u kome vrednost sredstva obezbeđenja prevazilazi iznos duga |
Veoma visok |
Visok |
Zadovoljavajući |
Nizak |
Političko okruženje i pravna sigurnost |
||||
Rizik zemlje |
Ne postoji |
Ograničena izloženost riziku zemlje |
Izvesna izloženost riziku zemlje |
Znatna izloženost riziku zemlje |
Ublažavanje rizika zemlje |
Veoma snažno: |
Snažno: |
Prihvatljivo: |
Samo delimično: |
Karakteristike robe |
||||
Likvidnost i podložnost oštećenjima |
Roba se kotira na berzi i može se zaštititi korišćenjem fjučersa ili OTC derivata; roba nije podložna oštećenjima |
Roba se kotira na berzi i može se zaštititi korišćenjem OTC derivata; roba nije podložna oštećenjima |
Roba se ne kotira na berzi, ali je likvidna; postoji neizvesnost u mogućnosti zaštite; roba nije podložna oštećenjima |
Roba se ne kotira na berzi; likvidnost je ograničena i zavisi od količine robe i dubine tržišta; ne postoje odgovarajući instrumenti zaštite; roba je podložna oštećenjima |
Snaga investitora (glavnog finansijera) |
||||
Finansijsko stanje trgovca |
Veoma dobro |
Dobro |
Odgovarajuće |
Loše |
Prethodno iskustvo, uključujući i mogućnost upravljanja procesom podrške |
Veoma dobro iskustvo sa odgovarajućom vrstom transakcija; izuzetno dobro i uspešno prethodno poslovanje i efikasnost troškova |
Dobro iskustvo sa odgovarajućom vrstom transakcija; natprosečno dobro i uspešno prethodno poslovanje i efikasnost troškova |
Ograničeno iskustvo sa odgovarajućom vrstom transakcija; prosečno uspešno prethodno poslovanje i efikasnost troškova |
Ograničeno prethodno iskustvo ili nepouzdano dosadašnje poslovanje; promenljivi troškovi i dobit |
Kontrolni mehanizmi i politike zaštite |
Pouzdani standardi za izbor druge ugovorne strane, zaštitu i praćenje |
Adekvatni standardi za izbor druge ugovorne strane, zaštitu i praćenje |
Ne postoje problemi u dosadašnjem poslovanju ili nisu značajni |
Trgovac je ostvario znatne gubitke u dosadašnjem poslovanju |
Kvalitet objavljenih finansijskih podataka |
Odličan |
Dobar |
Zadovoljavajući |
Postoje nedoslednosti u objavljenim finansijskim podacima ili su nepotpuni |
Kvalitet zaštite |
||||
Kontrola imovine |
Najviše pravo prvenstva naplate omogućava zajmodavcu |
Najviše pravo prvenstva naplate omogućava zajmodavcu kontrolu nad imovinom u bilo koje vreme ako je to potrebno |
U nekom trenutku tokom procesa dolazi do prestanka kontrole zajmodavca nad imovinom, ali je to ublaženo dobrim poznavanjem procesa trgovanja ili postojanjem obaveze trećeg lica |
Postoji rizik gubitka kontrole nad imovinom; naplata može biti ugrožena |
Osiguranje od štete |
Veoma dobro pokriće osiguranjem, koje uključuje osiguranje od odgovornosti za štetu pričinjenu trećim licima kod društava za osiguranje visokog rejtinga |
Dobro pokriće osiguranjem (koje ne uključuje osiguranje od odgovornosti za štetu pričinjenu trećim licima) kod društava za osiguranje dobrog rejtinga |
Uobičajeno pokriće osiguranjem (koje ne uključuje osiguranje od odgovornosti za štetu pričinjenu trećim licima) kod društava za osiguranje prihvatljivog rejtinga |
Slabo pokriće osiguranjem (koje ne uključuje osiguranje od odgovornosti za štetu pričinjenu trećim licima) kod društava za osiguranje lošeg rejtinga |
METODOLOGIJA ZA UTVRĐIVANJE GEOGRAFSKOG POLOŽAJA RELEVANTNIH IZLOŽENOSTI ZA OBRAČUN KONTRACIKLIČNOG ZAŠTITNOG SLOJA KAPITALA
1. Značenje pojmova
Pojedini pojmovi, u smislu ove metodologije, imaju sledeće značenje:
1) opšta kreditna izloženost je iznos dela rizične aktive koji je, za izloženosti iz tačke 443. stav 3. odredba pod 1) ove odluke, osim za izloženosti po osnovu sekjuritizacije, izračunat u skladu s tačkom 3. stav 2. te odluke;
2) izloženost iz knjige trgovanja je iznos dela rizične aktive koji je, za izloženosti iz tačke 443. stav 3. odredba pod 2) ove odluke, izračunat u skladu s tačkom 3. stav 2. te odluke;
3) izloženost po osnovu sekjuritizacije je iznos dela rizične aktive koji je, za izloženosti iz tačke 443. stav 3. odredba pod 3) ove odluke, izračunat u skladu s tačkom 3. stav 2. te odluke;
4) lokacija je država u kojoj fizičko, odnosno pravno lice pretežno boravi, odnosno ima registrovano sedište, a ako mesto iz kojeg se upravlja poslovanjem pravnog lica nije u državi u kojoj to lice ima registrovano sedište, lokacija je država u kojoj se nalazi mesto upravljanja pravnim licem;
5) mesto prihoda je država u kojoj se nalazi imovina koja generiše prihod koji je primarni izvor otplate obaveza u pogledu izloženosti po osnovu specijalizovanog kreditiranja;
6) inostrana izloženost je opšta kreditna izloženost kod koje druga ugovorna strana nema lokaciju u Republici Srbiji;
7) izloženost po osnovu specijalizovanog kreditiranja je opšta kreditna izloženost koja ima karakteristike iz tačke 74. stav 2. ove odluke.
2. Geografski položaj opštih kreditnih izloženosti
Sve opšte kreditne izloženosti koje nisu obuhvaćene st. 2. do 5. ovog dela raspoređuju se prema lokaciji druge ugovorne strane banke u vezi sa opštom kreditnom izloženošću, druge ugovorne strane banke koja je izdavalac finansijskog instrumenta koji nije raspoređen u knjigu trgovanja ili druge ugovorne strane banke u vezi sa izloženošću pozicijama koje nisu u knjizi trgovanja.
Opšte kreditne izloženosti po osnovu izloženosti raspoređenih u klasu izloženosti po osnovu ulaganja u otvorene investicione fondove iz tačke 38. stav 1. odredba pod 15) ove odluke raspoređuju se prema lokaciji druge ugovorne strane po osnovu odnosne izloženosti. Ako postoji više od jedne lokacije druge ugovorne strane po osnovu odnosne izloženosti otvorenog investicionog fonda, na tu izloženost se može primeniti i drugi stav dela pod 4. Geografski položaj izloženosti po osnovu sekjuritizacije ove metodologije.
Izloženosti po osnovu specijalizovanog kreditiranja raspoređuju se prema mestu prihoda.
Opšte kreditne izloženosti po osnovu izloženosti raspoređenih u klasu ostalih izloženosti iz tačke 38. stav 1. odredba pod 17) ove odluke raspoređuju se kao izloženosti u Republici Srbiji ako banka ne može da utvrdi ko je druga ugovorna strana.
Sledeće opšte kreditne izloženosti mogu se rasporediti kao izloženosti u Republici Srbiji:
1) izloženosti po osnovu ulaganja u otvorene investicione fondove iz tačke 38. stav 1. odredba pod 15) ove odluke ako banka na osnovu dostupnih informacija ne može bez ulaganja nesrazmernog napora da utvrdi lokaciju druge ugovorne strane ili lokaciju više drugih ugovornih strana po osnovu odnosnih izloženosti;
2) inostrane izloženosti čiji ukupni iznos nije veći od 2% ukupnog iznosa opštih kreditnih izloženosti, izloženosti iz knjige trgovanja i izloženosti po osnovu sekjuritizacije te banke. Pri obračunu ukupnog iznosa opštih kreditnih izloženosti, izloženosti iz knjige trgovanja i izloženosti po osnovu sekjuritizacije isključuju se opšte kreditne izloženosti raspoređene u skladu s odredbom pod 1) ovog stava i stavom 4. ovog dela.
Banke računaju iznos inostranih izloženosti iz stava 5. odredba pod 2) ovog dela na godišnjem nivou ili češće u slučaju nastanka događaja koji utiče na finansijsko i ekonomsko stanje banke.
3. Geografski položaj izloženosti iz knjige trgovanja
Izloženosti iz knjige trgovanja raspoređuju se prema lokaciji izdavaoca finansijskog instrumenta koji je raspoređen u knjigu trgovanja, tj. druge ugovorne strane u vezi s izloženošću iz knjige trgovanja.
Za izloženosti iz knjige trgovanja koje podležu kapitalnim zahtevima u skladu sa Glavom VII, Odeljkom 6. ove odluke, utvrđuje se geografski položaj množenjem rizične aktive koja se odnosi na te izloženosti sa količnikom sledećih vrednosti:
1) kapitalnih zahteva u skladu s pristupom predviđenim Glavom VII, Odeljkom 6. ove odluke, za potportfolije podeljene prema geografskom položaju;
2) zbirom kapitalnih zahteva utvrđenih u odredbi pod 1) ovog stava za sve geografske položaje.
Banke čiji ukupni iznos izloženosti iz knjige trgovanja nije veći od 2% njihovih ukupnih opštih kreditnih izloženosti, izloženosti iz knjige trgovanja i izloženosti po osnovu sekjuritizacije mogu te izloženosti rasporediti u izloženosti u Republici Srbiji.
Banke računaju ukupan iznos izloženosti iz stava 3. ovog dela na godišnjem nivou i češće u slučaju događaja koji utiče na finansijsko i ekonomsko stanje banke.
4. Geografski položaj izloženosti po osnovu sekjuritizacije
Izloženost po osnovu sekjuritizacije se raspoređuje prema lokaciji druge ugovorne strane odnosnih izloženosti.
Ako postoji više od jedne lokacije druge ugovorne strane po osnovu odnosne izloženosti kod izloženosti po osnovu sekjuritizacije, ta izloženost se može rasporediti prema lokaciji druge ugovorne strane odnosne izloženosti s najvećim učešćem u odnosnim izloženostima po osnovu sekjuritizacije.
Izloženosti po osnovu sekjuritizacije za koje nisu dostupne informacije o odnosnim izloženostima po osnovu sekjuritizacije mogu se rasporediti u izloženosti u Republici Srbiji ukoliko banka na osnovu dostupnih informacija ne može bez ulaganja nesrazmernog napora da utvrdi lokaciju druge ugovorne strane odnosnih izloženosti.












